Free-Space Optical Data Receivers with Avalanche Detectors for Satellite Downlinks Regarding Background Light
Abstract
1. Introduction
- Received signal power changes due to distance variations via orbital movement from a 5° elevation to zenith of ~12 dB. This change happens in minutes;
- Additional signal power variation is introduced by an increased atmospheric attenuation at low elevations, adding up to ~6 dB of loss when close to the horizon, depending on OGS location;
- Background light, in daytime, near to the horizon is stronger than at zenith by up to ~10 dB, with a variation speed similar to those in the atmospheric attenuation changes;
- Received power scintillations (due to atmospheric IRT) and pointing fading (caused by finite beam direction control) adds another ~6 dB or more, on the timescale of milliseconds;
- Furthermore, the fast angular movement of a LEO satellite across the sky (up to more than 1°/s) will lead to additional fading from unwanted miss-pointing.
2. Gain and Noise in Avalanche Photodiodes
3. Optimum Multiplication for CW Illumination
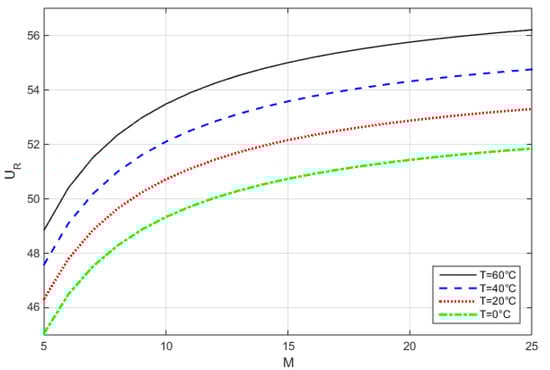
Dependency of M from Bias Voltage and Temperature
4. Uncoded BER of APD OOK Receivers
Sensitivity Estimation without Background Light
5. Optimum M with Background Light
5.1. Power of Background Light
| Scene | in W/(m2 nm sr) | A in m2 | ω in µrad | Δλ in nm | PBGL in nW |
|---|---|---|---|---|---|
| towards horizon | 25 × 10−3 | 0.1 | 200 | 40 | 50 |
| towards horizon | 25 × 10−3 | 0.7 | 100 | 40 | 88 |
| to zenith | 1.2 × 10−3 | 0.1 | 200 | 40 | 2.4 |
| to zenith | 1.2 × 10−3 | 0.7 | 100 | 40 | 4.2 |
5.2. Optimum Multiplication Factor with BGL
6. Summary and Conclusions
Funding
Acknowledgments
Conflicts of Interest
Abbreviations
| APD | Avalanche Photodiode (or ~Detector) |
| BERT | Bit Error Ratio Tester |
| BGL | Background Light |
| FoV | Field-of-View |
| InGaAs | Indium Gallium Arsenide semiconductor |
| IM/DD | Intensity Modulation/Direct Detection |
| IRT | Index-of-Refraction Turbulence |
| LEO | Low Earth Orbit |
| LP | Low Pass, or reception filter (between TIA and limiter) |
| OOK | On/Off-Keying modulation |
| PRBS | Pseudo-random bit sequence |
| Ppb | Photons per symbol-bit |
| RFE | Receiver front-end |
| RSSI | Received signal strength indicator |
| SNL | Shot Noise Limited |
| SNR | Signal-to-noise ratio |
| TIA | Trans-impedance amplifier |
| TNL | Thermal Noise Limited |
| B | Bandwidth, e.g., of the RFEs reception filter |
| c | Speed of light in vacuum (2.998 × 108 m/s) |
| FA | Excess noise factor of an APD |
| Fn | Amplifier noise figure |
| h | Planck constant (6.626 × 10−34 Ws2) |
| it | Thermal noise current density from amplifier |
| Id | Dark current of a photodiode |
| Idm | Part of dark current that will get multiplied with M |
| Idu | Part of dark current that will not get multiplied |
| kA | Ionization coefficient ratio of electrons vs. holes |
| kB | Boltzmann constant |
| Le,Ω,λ | Spectral irradiance (typically per nm wavelength) |
| M | Multiplication factor |
| Mopt | optimum multiplication factor |
| Mean number of photons per bit | |
| Mean received optical power | |
| Background light power seen by the APD area | |
| pBE | Probability of bit error |
| Q | Receiver quality factor |
| q | Elementary charge (1.6022 × 10−19 As) |
| R | Unmultiplied detector responsivity |
| RTI | Transimpedance resistor |
| r | Data rate = ½ B |
| T | Temperature |
| UBD | Breakdown voltage of APD |
| UR | Reverse voltage applied to APD |
| Peak signal value (e.g., pulse amplitude) | |
| Mean value of a binary symbol sequence |
Appendix A. General Considerations in RFE Design
| Quantity | Symbol | Value |
| detector diameter | D | 200 µm |
| APD capacitance | C | 1.7 pF |
| Quantum efficiency at 1550 nm | η | 0.8 |
| Responsivity at 1550 nm | R | 1 A/W |
| dark current (to get multiplied with M) | Idm | 2.5 nA |
| APD bandwidth | BAPD | 800 MHz |
| hole-electron ionization ratio | kA | 0.2 |
| Excess noise Factor for M = 10/20 | FA | 3.5/5.6 |
| temperature coefficient of UBD | ρT | +0.075 V/°C |
| breakdown voltage | Ubr | 65 V |
| typical constant M, for a superior InGaAs-APD (no BGL and no Idm) | Mtyp | 25 |
| TIA full bandwidth | BTIA | 580 MHz |
| TIA input-referred noise density in 580 MHz | in | 2.1 pA/sqrt(Hz) |
| TIA input-ref. RMS noise in ~500 MHz | <In> | 47 nA |
| Transimpedance resistance | RTI | 18 kΩ |
| background light power range, typical | PBGL | 2.4, 80 nW |
| bandwidth of electronic reception filter | B | 500 MHz |
| data rate | r | 1.0 Gbps |
Appendix A.1. Photon Density in a Binary Optical OOK Signal

Appendix A.2. Thermal Noise of Transimpedance Amplifiers

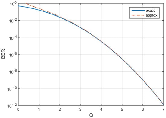
Appendix A.3. Q Related to BER

| Q | SNRel (lin.) | pBE |
| 0 | 0 | 0.5 |
| 1 | 1 | 0.16 |
| 2 2.3 | 4 5.4 | 0.023 |
| 1.0 × 10−2 | ||
| 3.1 3.7 | 9 14 | 1.0 × 10−3 1.0 × 10−4 |
| 4.8 | 23 | 1.0 × 10−6 |
| 6 | 36 | 1.0 × 10−9 |
| 7 | 49 | 1.3 × 10−12 |
Appendix A.4. RFE-Bandwidth
References
- Edwards, B.L. Latest Status of the CCSDS Optical Communications Working Group. In Proceedings of the 2022 IEEE International Conference on Space Optical Systems and Applications (ICSOS), Kyoto, Japan, 28–31 March 2022. [Google Scholar]
- CCSDS 141.0-B; Optical Communications Physical Layer: Recommended Standard. Consultative Committee for Space Data Systems: Washington, DC, USA, 2021.
- Giggenbach, D. Standards for Optical Space Communication. Satellite and Space Communications. IEEE Communications Society, Satellite and Space Communications Newsletter. Vol. 30, No. 2, December 2020. Available online: https://ssc.committees.comsoc.org/newletters/ (accessed on 10 July 2022).
- del Portillo, I.; Cameron, B.G.; Crawley, E.F. A technical comparison of three low earth orbit satellite constellation systems to provide global broadband. Acta Astronaut. 2019, 159, 123–135. [Google Scholar]
- Chaudhry, A.U.; Yanikomeroglu, H. Laser Intersatellite Links in a Starlink Constellation: A Classification and Analysis. IEEE Veh. Technol. Mag. 2021, 16, 48–56. [Google Scholar] [CrossRef]
- Henniger, H.; Wilfert, O. An Introduction to Free-Space Optical Communications. Radioengineering 2010, 19, 203–212. [Google Scholar]
- Giggenbach, D.; Moll, F.; Schmidt, C.; Fuchs, C.; Shrestha, A. Optical on-off keying data links for low Earth orbit downlink applications. In Satellite Communications in the 5G Era; IET Telecommunications Series; The Institution of Engineering and Technology: Hertfordshire, UK, 2018; Volume 79. [Google Scholar]
- Kaushal, H.; Kaddoum, G. Optical Communication in Space: Challenges and Mitigation Techniques. IEEE Commun. Surv. Tutor. 2017, 19, 57–96. [Google Scholar]
- Kharraz, O.M.; Forsyth, D. Performance comparisons between PIN and APD photodetectors for use in optical communication systems. Optik 2013, 124, 1493–1498. [Google Scholar]
- Romba, J.; Sodnik, Z.; Reyes, M.; Alonso, A.; Bird, A. ESA’s bidirectional space-to-ground laser communication experiments. In Free-Space Laser Communications IV, Proceedings of the Optical Science and Technology, the SPIE 49th Annual Meeting, Denver, CO, USA, 2–6 August 2004; SPIE: Bellingham, WA, USA, 2004. [Google Scholar]
- Perlot, N.; Knapek, M.; Giggenbach, D.; Horwath, J.; Brechtelsbauer, M.; Takayama, Y.; Jono, T. Results of the Optical Downlink Experiment KIODO from OICETS Satellite to Optical Ground Station Oberpfaffenhofen (OGS-OP). In Proceedings of the Lasers and Applications in Science and Engineering, San Jose, CA, USA, 20–25 January 2007; Volume 6457. [Google Scholar]
- Jono, T.; Takayama, Y.; Perlot, N.; Giggenbach, D. Report on DLR-JAXA Joint Experiment: The Kirari Optical Downlink to Oberpfaffenhofen (KIODO); Japan Aerospace Exploration Agency: Tokyo, Japan, 2007; ISSN 1349-1121. [Google Scholar]
- Giggenbach, D.; Moll, F.; Perlot, N. Optical communication experiments at DLR. NICT J. Spec. Issue Opt. Inter-Orbit Commun. Eng. Test Satell. (OICETS) 2012, 59, 125–134. [Google Scholar]
- Knopp, M.T.; Spoerl, A.; Gnat, M.; Rossmanith, G.; Huber, F.; Fuchs, C.; Giggenbach, D. Towards the utilization of optical ground-to-space links for low earth orbiting spacecraft. Acta Astronaut. 2019, 166, 147–155. [Google Scholar]
- Fischer, E.; Berkefeld, T.; Feriencik, M.; Kaltenbach, V.; Soltau, D.; Adolph, P.; Kunde, J.; Saucke, K.; Meyer, R.; Richter, I.; et al. Use of adaptive optics in ground stations for high data rate satellite-to-ground links. In Proceedings of the ICSO 2016–International Conference on Space Optics, Biarritz, France, 18–21 October 2016. [Google Scholar]
- Carrasco-Casado, A.; Takenaka, H.; Kolev, D.; Munemasa, Y.; Kunimori, H.; Suzuki, K.; Fuse, T.; Kubo-Oka, T.; Akioka, M.; Koyama, Y.; et al. LEO-to-ground optical communications using SOTA (Small Optical TrAnsponder)–Payload verification results and experiments on space quantum communications. Acta Astronaut. 2017, 139, 377–384. [Google Scholar]
- Fuchs, C.; Moll, F.; Giggenbach, D.; Schmidt, C.; Keim, J.; Gaisser, S. OSIRISv1 on Flying Laptop: Measurement Results and Outlook. In Proceedings of the 2019 IEEE International Conference on Space Optical Systems and Applications, ICSOS 2019, Portland, OR, USA, 14–16 October 2019. [Google Scholar]
- Keim, J.; Gaißer, S.; Hagel, P.; Böttcher, M.; Lengowski, M.; Graß, M.; Giggenbach, D.; Fuchs, C.; Schmidt, C.; Klinkner, S.; et al. Commissioning of the Optical Communication Downlink System OSIRISv1 on the University Small Satellite “Flying Laptop”. In Proceedings of the 70th International Astronautical Congress (IAC), Washington, DC, USA, 21–25 October 2019. [Google Scholar]
- Moll, F.; Shrestha, A.; Fuchs, C. Ground stations for aeronautical and space laser communications at German Aerospace Center. In Proceedings of the SPIE Security + Defence, Toulouse, France, 21–24 September 2015; Volume 9647. [Google Scholar]
- Giggenbach, D.; Moll, F.; Fuchs, C.; de Cola, T.; Mata-Calvo, R. Space Communications Protocols for Future Optical Satellite-Downlinks. In Proceedings of the 62nd International Astronautical Congress, Cape Town, South Africa, 3–7 October 2011. [Google Scholar]
- Fuchs, C.; Poulenard, S.; Perlot, N.; Riedi, J.; Perdigues, J. Optimization and throughput estimation of optical ground Networks for LEO-downlinks, GEO-feeder links and GEO-relays. In Proceedings of the SPIE LASE, San Francisco, CA, USA, 28 January–2 February 2017; Volume 10096. [Google Scholar]
- Biswas, A.; Piazzolla, S. The Atmospheric Channel. In Deep Space Optical Communications; Hemmati, H., Ed.; Wiley-Interscience: Hoboken, NJ, USA, 2006. [Google Scholar]
- Toyoshima, M.; Jono, T.; Nakagawa, K.; Yamamoto, A. Optimum divergence angle of a Gaussian beam wave in the presence of random jitter in free-space laser communication systems. J. Opt. Soc. Am. A 2002, 19, 567–571. [Google Scholar] [CrossRef]
- Andrews, L.C.; Phillips, R.L. Laser Beam Propagation through Random Media; SPIE Press: Bellingham, WA, USA, 2005. [Google Scholar]
- Giggenbach, D.; Moll, F. Scintillation loss in optical low earth orbit data downlinks with avalanche photodiode receivers. In Proceedings of the 2017 IEEE International Conference on Space Optical Systems and Applications (ICSOS), Naha, Japan, 14–16 November 2017. [Google Scholar]
- Giggenbach, D.; Henniger, H. Fading-loss assessment in atmospheric free-space optical communication links with on-off keying. Opt. Eng. 2008, 47, 69801. [Google Scholar] [CrossRef]
- Giggenbach, D.; Shrestha, A.; Moll, F.; Fuchs, C.; Saucke, K. Reference Power Vectors for the Optical LEO Downlink Channel. In Proceedings of the 2019 IEEE International Conference on Space Optical Systems and Applications (ICSOS), Portland, OR, USA, 14–16 October 2019. [Google Scholar]
- Lambert, S.; Casey, W. Laser Communications in Space; Artech House: Boston, MA, USA, 1995. [Google Scholar]
- Rollins, D.; Baars, J.; Bajorins, D.P.; Cornish, C.S.; Fischer, K.W.; Wiltsey, T. Background light environment for free-space optical terrestrial communication links. In Optical Wireless Communications V, Proceedings of the ITCOM 2002: The Convergence of Information Technologies and Communications, Boston, MA, USA, 29 July–1 August 2002; SPIE: Bellingham, WA, USA, 2002; Volume 4873. [Google Scholar]
- Bell, E.E.; Eisner, L.; Young, J.; Oetjen, R.A. Spectral Radiance of Sky and Terrain at Wavelengths between 1 and 20 Microns. II. Sky Measurements. JOSA 1960, 50, 1313–1320. [Google Scholar]
- ITU-R P.1621-2; Propagation Data Required for the Design of Earth-Space Systems Operating between 20 THz and 375 THz. International Telecommunication Union: Geneva, Switzerland, 2015.
- Leeb, W.R. Degradation of signal to noise ratio in optical free space data links due to background illumination. Appl. Opt. 1989, 28, 3443–3449. [Google Scholar] [CrossRef]
- Pacheco-Labrador, J.; Shrestha, A.; Ramirez, J.; Giggenbach, D. Implementation of variable data rates in transceiver for free-space optical LEO to ground link. In Environmental Effects on Light Propagation and Adaptive Systems III, Proceedings of the SPIE Remote Sensing, Online, 21–25 September 2020; SPIE: Bellingham, WA, USA, 2020. [Google Scholar]
- Caplan, D.O. Laser communication transmitter and receiver design. J. Opt. Fiber Commun. Rep. 2007, 4, 225–362. [Google Scholar]
- Giggenbach, D.; Mata-Calvo, R. Sensitivity modeling of binary optical receivers. Appl. Opt. 2015, 54, 8254–8259. [Google Scholar] [PubMed][Green Version]
- Rothman, J.; Lasfargues, G.; Abergel, J. HgCdTe APDs for free space optical communications. In Proceedings of the SPIE Security + Defence, Toulouse, France, 21–24 September 2015. [Google Scholar]
- Pers, S.; Rothman, J.; Bleuet, P.; Abergel, J.; Gout, S.; Ballet, P.; Santailler, J.-L.; Nicolas, J.-A.; Rostaing, J.-P.; Renet, S.; et al. Reaching GHz single photon detection rates with HgCdTe avalanche photodiodes detectors. In Proceedings of the ICSO 2020, International Conference on Space Optics, Online, 30 March–2 April 2021; Volume 11852. [Google Scholar]
- McIntyre, R.J. Multiplication Noise in Uniform Avalanche Diodes. IEEE Trans. Electron Devices 1966, ED-13, 164–168. [Google Scholar] [CrossRef]
- McIntyre, R. The distribution of gains in uniformly multiplying avalanche photodiodes: Theory. IEEE Trans. Electron Devices 1972, 19, 703–713. [Google Scholar] [CrossRef]
- Conradi, J. The distribution of gains in uniformly multiplying avalanche photodiodes: Experimental. IEEE Trans. Electron Devices 1972, 19, 713–718. [Google Scholar]
- Webb, P.; McIntyre, R.; Conradi, J. Properties of avalanche photodiodes. RCA Rev. 1974, 35, 234–278. [Google Scholar]
- Avalanche Photodiodes: A User’s Guide; Application Note; PerkinElmer Optoelectronics: Fremont, CA, USA, 2010.
- Application Note. Using InGaAs Avalanche Photodiodes; JDSU Corporation: Milpitas, CA, USA, 2005. [Google Scholar]
- Huang, J.J.-S.; Chang, H.S.; Jan, Y.-H.; Ni, C.J.; Chen, H.S.; Chou, E. Temperature Dependence Study of Mesa-Type InGaAs/InAlAs Avalanche Photodiode Characteristics. Hindawi Adv. Optoelectron. 2017, 2017, 2084621. [Google Scholar] [CrossRef]
- Agrawal, G. Fiber-Optic Communication Systems, 3rd ed.; John Wiley & Sons: New York, NY, USA, 2002. [Google Scholar]
- Smith, R.G.; Personick, S.D. Chapter 4, Receiver Design for Optical Fiber Communication Systems. In Semiconductor Devices for Optical Communication; Kressel, H., Ed.; Springer: New York, NY, USA, 1980; pp. 89–160. [Google Scholar]
- Sorensen, N.; Gagliardi, R. Performance of Optical Receivers with Avalanche Photodetection. IEEE Trans. Commun. 1979, 27, 1315–1321. [Google Scholar]
- Alexander, S.B. Optical Communication Receiver Design; SPIE Optical Engineering Press: Bellingham, WA, USA; Institution of Electrical Engineers: London, UK, 1997; Volume TT22. [Google Scholar]
- Personick, S.D. Optical Detectors and Receivers. J. Light. Technol. 2008, 26, 1005–1020. [Google Scholar] [CrossRef]
- Campbell, J.C. Recent Advances in Telecommunications Avalanche Photodiodes. J. Light. Technol. 2007, 25, 109–121. [Google Scholar] [CrossRef]
- Yamamoto, Y. Fundamentals of Noise Processes—Chapter 12: Classical Communication Systems; Cambridge University Press: Cambridge, UK, 2012. [Google Scholar]
- Ong, D.; Green, J. Avalanche Photodiodes in High-Speed Receiver Systems. In Photodiodes-World Activities in 2011; Park, J.W., Ed.; IntechOpen: London, UK, 2011. [Google Scholar]
- Jacobsen, G. Sensitivity Limits for Digital Optical Communication Systems. J. Opt. Commun. 1993, 14, 52–64. [Google Scholar]
- Reddy, D.V.; Nerem, R.R.; Nam, S.W.; Mirin, R.P.; Verma, V.B. Superconducting nanowire single-photon detectors with 98% system detection efficiency at 1550 nm. Optica 2020, 7, 1649. [Google Scholar]
- Green, S. Constant-Current APD Bias Method Automatically Optimizes Optical Comms Performance. Electronics Design online-Magazine, 10 October 2017. Available online: https://www.electronicdesign.com (accessed on 10 July 2022).
- Laser-Components Corporation. IAG-Series Avalanche Photodiodes; Datasheet; Laser-Components Corporation: Olching, Germany, 2019. [Google Scholar]
- Maxim-Integrated Corporation. MAX3658; 622Mbps, Low-Noise, High-Gain Transimpedance Preamplifier; Maxim Integrated Products: Sunnyvale, CA, USA, 2007. [Google Scholar]
- Muoi, T. Receiver design for high-speed optical-fiber systems. J. Lightwave Technol. 1984, 2, 243–267. [Google Scholar]















| W/(m2 nm sr) | λ = 850 nm | λ = 1064 nm | λ = 1550 nm |
|---|---|---|---|
| on Sun-disk | 20 × 103 | 10 × 103 | 2 × 103 |
| blue sky zenith | 2.0 × 10−3 | 2.3 × 10−3 | 1.2 × 10−3 |
| blue sky 30° el. | 3.5 × 10−3 | 4.0 × 10−3 | 2.0 × 10−3 |
| blue sky horizon | 30 × 10−3 | 30 × 10−3 | 25 × 10−3 |
| sunlit cloud | 200 × 10−3 | 80 × 10−3 | 20 × 10−3 |
| overcast cloud | 20 × 10−3 | 8 × 10−3 | 2 × 10−3 |
| on Moon-disk | 400 × 10−3 | 220 × 10−3 | 20 × 10−3 |
| full Mars-disk | 11 × 10−12 | 8 × 10−12 | 3 × 10−12 |
Publisher’s Note: MDPI stays neutral with regard to jurisdictional claims in published maps and institutional affiliations. |
© 2022 by the author. Licensee MDPI, Basel, Switzerland. This article is an open access article distributed under the terms and conditions of the Creative Commons Attribution (CC BY) license (https://creativecommons.org/licenses/by/4.0/).
Share and Cite
Giggenbach, D. Free-Space Optical Data Receivers with Avalanche Detectors for Satellite Downlinks Regarding Background Light. Sensors 2022, 22, 6773. https://doi.org/10.3390/s22186773
Giggenbach D. Free-Space Optical Data Receivers with Avalanche Detectors for Satellite Downlinks Regarding Background Light. Sensors. 2022; 22(18):6773. https://doi.org/10.3390/s22186773
Chicago/Turabian StyleGiggenbach, Dirk. 2022. "Free-Space Optical Data Receivers with Avalanche Detectors for Satellite Downlinks Regarding Background Light" Sensors 22, no. 18: 6773. https://doi.org/10.3390/s22186773
APA StyleGiggenbach, D. (2022). Free-Space Optical Data Receivers with Avalanche Detectors for Satellite Downlinks Regarding Background Light. Sensors, 22(18), 6773. https://doi.org/10.3390/s22186773

