A LTCC-Based Ku-Band 8-Channel T/R Module Integrated with Drive Amplification and 7-Bit True-Time-Delay
Abstract
:1. Introduction
2. Topography and Link Budget of the 8-Channel T/R Module with 7-Bit TTD
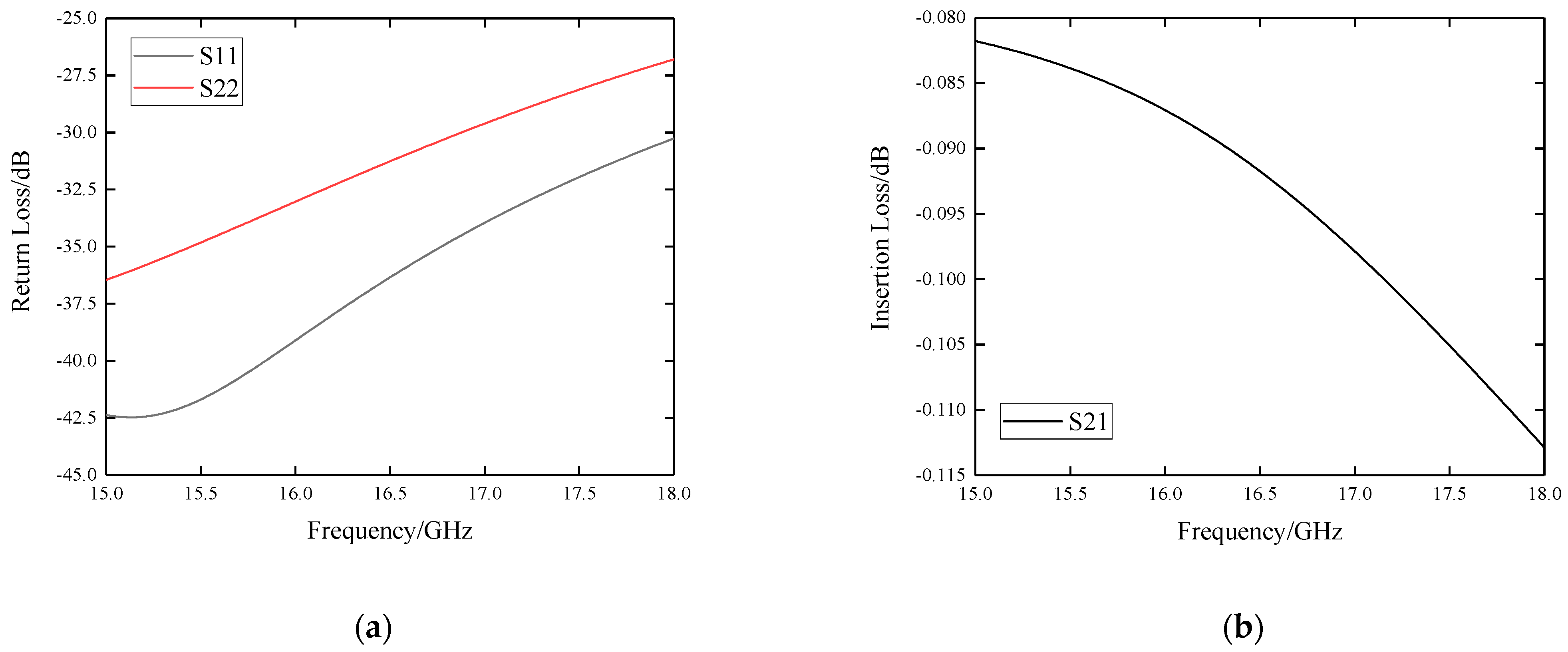
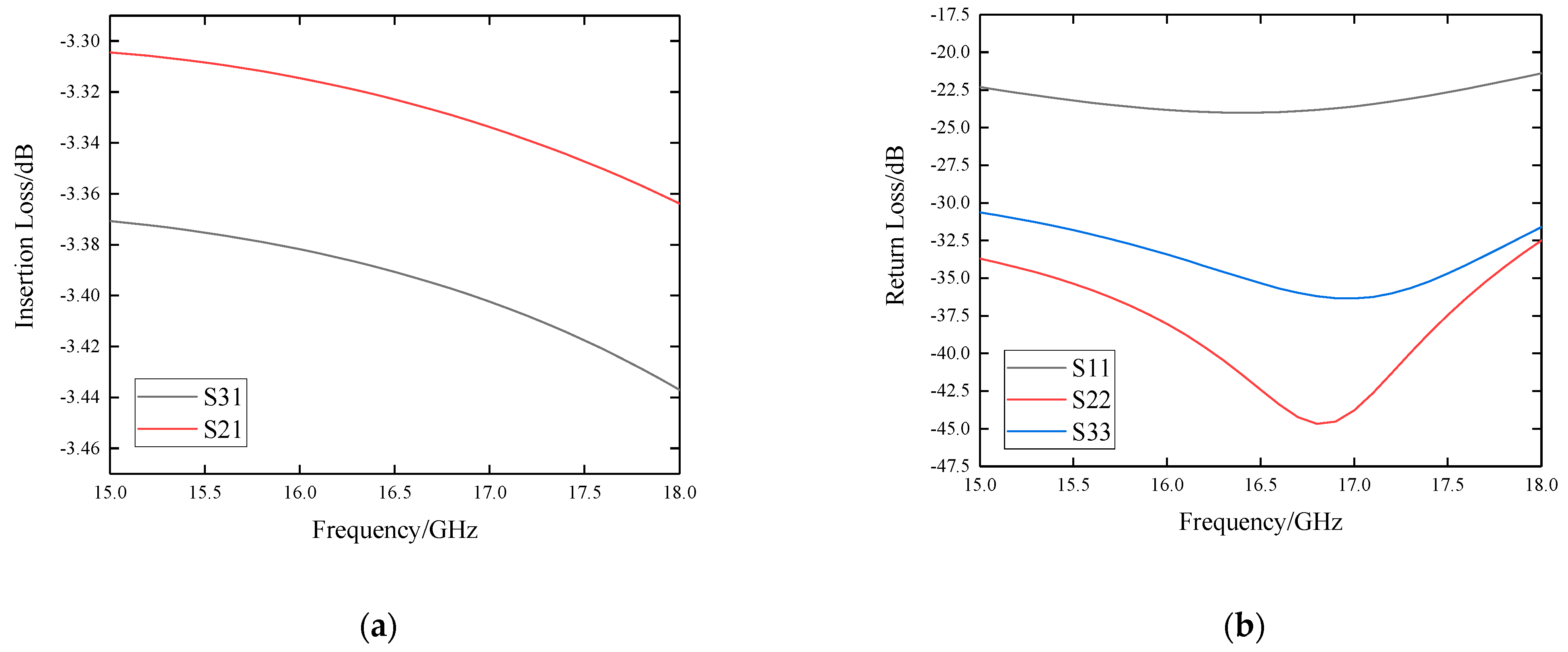
3. Simulation of SMP-Microstrip Vertical Transition and Stripline Power Divider for Ku-Band
4. Measurement of the 8-Channel T/R Module with 7-Bit TTD
4.1. TTD
4.2. Noise Figure
4.3. Receive Gain
4.4. Output Power
5. Conclusions
Author Contributions
Funding
Institutional Review Board Statement
Informed Consent Statement
Data Availability Statement
Conflicts of Interest
References
- Mailloux, R.J. Phased Array Antenna Handbook, 2nd ed.; Artech House: Boston, MA, USA, 2005. [Google Scholar]
- Orakwue, S.I.; Ngah, R.; Rahman, T.A. A two dimensional beam scanning array antenna for 5G wireless communications. In Proceedings of the IEEE Wireless Communications and Networking Conference Workshops, Doha, Qatar, 3–6 April 2016; p. 433. [Google Scholar] [CrossRef]
- Das, A.; Puri, M.; Sengar, J.S. A novel monolithic integrated phased array antenna using 4-bit distributed MEMS phase shifter and triangular patch antenna. In Proceedings of the International Conference on ICACCI, Mysore, India, 22–25 August 2013; p. 913. [Google Scholar] [CrossRef]
- Chen, B.; Yang, M.; Wang, Y.; Dang, X.; Wu, B. The applications and future of synthetic impulse and aperture radar. In Proceedings of the 2016 CIE International Conference on Radar (RADAR), Guangzhou, China, 10–13 October 2016; p. 1. [Google Scholar] [CrossRef]
- Duan, M.; Ma, J. Wide range and high resolution true time delay unit for phased array antenna. In Proceedings of the 2018 Asia Communications and Photonics Conference (ACP), Hangzhou, China, 26–29 October 2018. [Google Scholar] [CrossRef]
- Guntupalli, A.B.; Djerafi, T.; Wu, K. Two-dimensional scanning antenna array driven by integrated waveguide phase shifter. IEEE Trans. Antennas Propag. 2014, 62, 1117. [Google Scholar] [CrossRef]
- Yeo, W.-G.; Nahar, N.K.; Sertel, K. Phased array antenna with integrated MEMS phase shifters for Ka-band SATCOM. In Proceedings of the IEEE Antennas and Propagation Society International Symposium, Orlando, FL, USA, 7–13 July 2013; Volume 105. [Google Scholar] [CrossRef]
- Rotman, R.; Tur, M.; Yaron, L. True Time Delay in Phased Arrays. Proc. IEEE 2016, 104, 504–518. [Google Scholar] [CrossRef]
- Tong, D.T.K.; Wu, M.C. Transmit/receive module of multiwavelength optically controlled phased-array antennas. IEEE Photonics Technol. Lett. 1998, 10, 1018–1020. [Google Scholar] [CrossRef]
- Takahashi, T.; Konishi, Y.; Hariu, K.; Nakaguro, H.; Chiba, I. Beam pointing error analysis for phased array antennas with true time delay modules. In Proceedings of the IEEE Antennas and Propagation Society International Symposium, San Antonio, TX, USA, 16–21 June 2002; Volume 1, pp. 606–609. [Google Scholar] [CrossRef]
- Chen, Y.; Chen, R.T. A fully packaged true time delay module for a K-band phased array antenna system demonstration. Proc. IEEE Photonics Technol. Lett. 2002, 14, 1175–1177. [Google Scholar] [CrossRef]
- Fenn, A.J.; Hurst, P.T.; Parad, L.I.; Bruno, D.M. Ultrawideband time-delay steered UHF dipole linear array antenna. In Proceedings of the IEEE International Symposium on Phased Array Systems and Technology, Boston, MA, USA, 15–18 October 2013; pp. 731–737. [Google Scholar]
- Liu, W.; Wang, Y. Study of the true-time-delay microwave module technology. Sci. Technol. Innov. 2015, 18, 79–80. [Google Scholar]
- Shi, H.; Zhang, L.; Fan, Z.; Xue, X.; Zhang, T.; Zhou, D. Design of a Ka Band High Integration Receiver Module. In Proceedings of the International Conference on Communication Technology, Bandung, Indonesia, 3–4 May 2018. [Google Scholar]
- Tang, Y.Y.; Wang, W.; Li, C.M.; Song, X.D. Design of a CPW time-delay amplifier module. Telecommun. Inf. 2016, 538, 38–40. [Google Scholar]
- Guo, Y.; Shang, C.; Liu, K.; Wang, L.; Liu, X.; Xu, Y.; Zhang, T. A True-Time-Delay Transmit/ Receive Module for X-band Subarray Phased Arrays. IEICE Electron. Express 2017, 14, 20171039. [Google Scholar] [CrossRef]
- Li, S.; Wang, X.; Wang, Q. Miniaturization and high accuracy design of a C-band drive time-delay module. J. Microw. 2016, 32, 78–81+87. [Google Scholar]
- Shu-liang, L.; Qi, W.; Hui, W. Research on electromagnetic compatibility of miniaturized drive time-delay module. In Proceedings of the IEEE International Radar Conference, Philadelphia, PA, USA, 2–6 May 2016; pp. 1–4. [Google Scholar]
- Li, S.; Zhu, R.; Liu, Y. Design and realization of an X-band subarray drive time-delay module for active phased array radar. Mod. Radar 2016, 38, 52–54+71. [Google Scholar]
- Ge, H.; Liu, Y.; He, J. Amplitude compensation design of a C-band time delay module. Radar ECM 2017, 37, 15–18. [Google Scholar]
- Ulusoy, A.; Schleicher, B.; Schumacher, H. A tunable differential all-pass filter for UWB true time delay and phase shift applications. IEEE Microw. Compon. Lett. 2011, 21, 462. [Google Scholar] [CrossRef]
- Hu, F.; Mouthaan, K. A 1–21 GHz, 3-bit CMOS true time delay chain with 274 ps delay for ultra-broadband phased array antennas. In Proceedings of the IEEE Radar Conference, Johannesburg, South Africa, 27–30 October 2015. [Google Scholar] [CrossRef]
- Hu, F.; Mouthaan, K. A 1–20 GHz 400 ps true-time delay with small delay error in 0.13 µm CMOS for broadband phased array antennas. In Proceedings of the IEEE Microwave Symposium, Phoenix, AZ, USA, 17–22 May 2015. [Google Scholar] [CrossRef]
- Lin, W.; Li, S. Realization of a miniaturized millimeter-wave time-delay module. Mod. Radar. 2020, 42, 64–66+70. [Google Scholar]
- Kim, M. A stepped-impedance true time delay line using GaAs MMIC technology. IEICE Electron. Express 2016, 13, 20160463. [Google Scholar] [CrossRef]
- Zhang, L.; Li, Z.; Chen, K.; Chen, G.; Zhao, Y. Compact Size Multi-Channel True Time Delay Module with High Accuracy. In Proceedings of the 2018 China International SAR Symposium, CISS, Shanghai, China, 10–12 October 2018. [Google Scholar]
- Bettidi, A.; Carosi, D.; Corsaro, F.; Marescialli, L.; Nanni, A.; Romanini, P. MMIC Chipset for wideband multifunction T/R Module. IEEE MTT-S International Microwave Symposium Digest. In Proceedings of the IEEE MTT-S International Microwave Symposium, Baltimore, MD, USA, 5–10 June 2011; pp. 1–4. [Google Scholar] [CrossRef]
- Longbrake, M. True time-delay beamsteering for radar. In Proceedings of the 2012 IEEE National Aerospace and Electronics Conference (NAECON), Dayton, OH, USA, 25–27 July 2012; pp. 246–249. [Google Scholar] [CrossRef]
- Cho, M.-K.; Han, J.-H.; Kim, J.-H.; Kim, J.-G. An X/Ku-band bi-directional true time delay T/R chipset in 0.13 µm CMOS technology. In Proceedings of the 2014 IEEE MTT-S International Microwave Symposium (IMS2014), Tampa, FL, USA, 1–6 June 2014; pp. 1–3. [Google Scholar] [CrossRef]
- Cho, M.-K.; Yoon, S.-H.; Sim, S.; Jeon, L.; Kim, J.-G. CMOS-based Bi-directional T/R chipsets for phased array antenna. In Proceedings of the 2012 IEEE/MTT-S International Microwave Symposium Digest, Montreal, QC, Canada, 17–22 June 2012; pp. 1–3. [Google Scholar] [CrossRef]












| Theoretical TTD/λ | Measured TTD/λ | Absolute Error/λ | Relative Error/% |
|---|---|---|---|
| 0.25 (of 4-bit TTD) | 0.2880 | 0.0380 | 15.20% |
| 0.5 (of 4-bit TTD) | 0.4957 | 0.0043 | 0.86% |
| 1 (of 4-bit TTD) | 0.9565 | 0.0435 | 4.35% |
| 2 (of 4-bit TTD) | 2.0057 | 0.0057 | 0.29% |
| 1 (of 3-bit TTD) | 0.8954 | 0.1046 | 10.46% |
| 2 (of 3-bit TTD) | 2.0998 | 0.0998 | 4.99% |
| 4 (of 3-bit TTD) | 4.1074 | 0.1074 | 2.69% |
Publisher’s Note: MDPI stays neutral with regard to jurisdictional claims in published maps and institutional affiliations. |
© 2022 by the authors. Licensee MDPI, Basel, Switzerland. This article is an open access article distributed under the terms and conditions of the Creative Commons Attribution (CC BY) license (https://creativecommons.org/licenses/by/4.0/).
Share and Cite
Liu, X.; Zeng, Q.; Ding, Z.; Xu, H. A LTCC-Based Ku-Band 8-Channel T/R Module Integrated with Drive Amplification and 7-Bit True-Time-Delay. Sensors 2022, 22, 6568. https://doi.org/10.3390/s22176568
Liu X, Zeng Q, Ding Z, Xu H. A LTCC-Based Ku-Band 8-Channel T/R Module Integrated with Drive Amplification and 7-Bit True-Time-Delay. Sensors. 2022; 22(17):6568. https://doi.org/10.3390/s22176568
Chicago/Turabian StyleLiu, Xiao, Qinghua Zeng, Zhengzhi Ding, and Haitao Xu. 2022. "A LTCC-Based Ku-Band 8-Channel T/R Module Integrated with Drive Amplification and 7-Bit True-Time-Delay" Sensors 22, no. 17: 6568. https://doi.org/10.3390/s22176568
APA StyleLiu, X., Zeng, Q., Ding, Z., & Xu, H. (2022). A LTCC-Based Ku-Band 8-Channel T/R Module Integrated with Drive Amplification and 7-Bit True-Time-Delay. Sensors, 22(17), 6568. https://doi.org/10.3390/s22176568

