Design of a mmWave Antenna Printed on a Thick Vehicle-Glass Substrate Using a Linearly Arrayed Patch Director and a Grid-Slotted Patch Reflector for High-Gain Characteristics
Abstract
:1. Introduction
2. Proposed Antenna Design
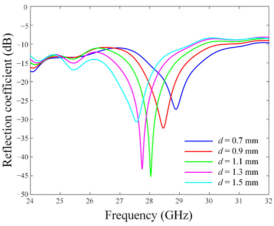
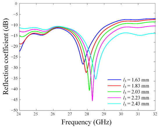
3. Analysis
4. Fabrication and Measurement
5. Conclusions
Author Contributions
Funding
Institutional Review Board Statement
Informed Consent Statement
Data Availability Statement
Conflicts of Interest
References
- Minovski, D.; Åhlund, C.; Mitra, K. Modeling quality of IoT experience in autonomous vehicles. IEEE Internet Things J. 2020, 7, 3833–3849. [Google Scholar] [CrossRef]
- Wang, P.; Di, B.; Zhang, H.; Bian, K.; Song, L. Cellular V2X communications in unlicensed spectrum: Harmonious coexistence with VANET in 5G systems. IEEE Trans. Wirel. Commun. 2018, 17, 5212–5224. [Google Scholar] [CrossRef]
- Alalewi, A.; Dayoub, I.; Cherkaoui, S. On 5G-V2X use cases and enabling technologies: A comprehensive survey. IEEE Access 2021, 9, 107710–107737. [Google Scholar] [CrossRef]
- Lou, L.; Li, Q.; Zhang, Z.; Yang, R.; He, W. An IoT-driven vehicle detection method based on multisource data fusion technology for smart parking management system. IEEE Internet Things J. 2020, 7, 11020–11029. [Google Scholar] [CrossRef]
- Condoluci, M.; Gallo, L.; Mussot, L.; Kousaridas, A.; Spapis, P.; Mahlouji, M.; Mahmoodi, T. 5G V2X system-level architecture of 5GCAR project. Future Internet 2019, 11, 217. [Google Scholar] [CrossRef]
- Oh, S.S.; Choi, J.W.; Kim, D.W.; Lee, Y.C.; Cho, B.L. Comparison of 0.75–24-GHz reach distances and ratios using propagation path loss measurements from urban and rural line-of-sight environments. J. Electromagn. Eng. Sci. 2021, 21, 1–7. [Google Scholar] [CrossRef]
- Venkateswara Rao, M.; Madhav, B.T.P.; Krishna, J.; Usha Devi, Y.; Anilkumar, T.; Prudhvi Nadh, B. CSRR-loaded T-shaped MIMO antenna for 5G cellular networks and vehicular communications. Int. J. RF Microw. Comput. Aid. Eng. 2019, 29, e21799. [Google Scholar] [CrossRef]
- Devi, Y.U.; Rukmini, M.S.S.; Madhav, B.T.P. Liquid crystal polymer based flexible and conformal 5G antenna for vehicular communication. Mater. Res. Express. 2018, 6, 016306. [Google Scholar] [CrossRef]
- Feng, B.; Chen, J.; Yin, S.; Sim, C.-Y.-D.; Zhao, Z. A tri-polarized antenna with diverse radiation characteristics for 5G and V2X communications. IEEE Trans. Veh. Technol. 2020, 69, 10115–10126. [Google Scholar] [CrossRef]
- Cheng, Y.; Lu, J.; Wang, C. Design of a multiple band vehicle-mounted antenna. Int. J. Antennas Propag. 2019, 2019, 11. [Google Scholar] [CrossRef]
- Sun, Y.-X.; Leung, K.W.; Lu, K. Compact dual microwave/millimeter-wave planar shared-aperture antenna for vehicle-to-vehicle/5G Communications. IEEE Trans. Veh. Technol. 2021, 70, 5071–5076. [Google Scholar] [CrossRef]
- Awan, W.A.; Naqvi, S.I.; Naqvi, A.H.; Abbas, S.M.; Zaidi, A.; Hussain, N. Design and characterization of wideband printed antenna based on DGS for 28 GHz 5G applications. J. Electromagn. Eng. Sci. 2021, 21, 177–183. [Google Scholar] [CrossRef]
- Artner, G.; Kotterman, W.; Galdo, G.D.; Hein, M.A. Conformal automotive roof-top antenna cavity with increased coverage to vulnerable road users. IEEE Antennas Wirel. Propag. Lett. 2018, 17, 2399–2403. [Google Scholar] [CrossRef]
- Artner, G.; Langwieser, R.; Mecklenbrauker, C.F. Concealed CFRP vehicle chassis antenna cavity. IEEE Antennas Wirel. Propag. Lett. 2017, 16, 1415–1418. [Google Scholar] [CrossRef]
- Artner, G.; Kotterman, W.; Galdo, G.D.; Hein, M.A. Automotive antenna roof for cooperative connected driving. IEEE Access 2019, 7, 20083–20090. [Google Scholar] [CrossRef]
- Khalifa, M.O.; Yacoub, A.M.; Aloi, D.N. A multiwideband compact antenna design for vehicular sub-6 GHz 5G wireless systems. IEEE Trans. Antennas Propag. 2021, 69, 8136–8142. [Google Scholar] [CrossRef]
- Yacoub, A.M.; Khalifa, M.O.; Aloi, D.N. Wide band raised printed monopole for automotive 5G wireless communications. IEEE Antennas Propag. Mag. 2022, 3, 502–510. [Google Scholar] [CrossRef]
- Goyal, R.; Vishwakarma, D.K. Design of a graphene-based patch antenna on glass substrate for high-speed terahertz communications. Microw. Opt. Technol. Lett. 2018, 60, 1594–1600. [Google Scholar] [CrossRef]
- Naqvi, A.H.; Park, J.; Baek, C.; Lim, S. V-Band end-fire radiating planar micromachined helical antenna using through-glass silicon via (TGSV) technology. IEEE Access 2019, 7, 87907–87915. [Google Scholar] [CrossRef]
- Cil, E.; Dumanli, S. The design of a reconfigurable slot antenna printed on glass for wearable applications. IEEE Access 2020, 8, 95417–95423. [Google Scholar] [CrossRef]
- Jang, D.; Kong, N.K.; Choo, H. Design of an on-glass 5G monopole antenna for a vehicle window glass. IEEE Access 2021, 9, 152749–152755. [Google Scholar] [CrossRef]
- Youn, S.; Jang, D.; Kong, N.K.; Choo, H. Design of a printed 5G monopole antenna with periodic patch director on the laminated window glass. IEEE Antennas Wirel. Propag. Lett. 2022, 21, 297–301. [Google Scholar] [CrossRef]
- Im, C.; Lim, T.-H.; Jang, D.; Kong, N.-K.; Choo, H. Design of a printed 5G monopole antenna on vehicle window glass using parasitic elements and a lattice-structure reflector for gain enhancement. Appl. Sci. 2021, 11, 9953. [Google Scholar] [CrossRef]
- Alwareth, H.; Ibrahim, I.M.; Zakaria, Z.; Al-Gburi, A.J.A.; Ahmed, S.; Nasser, Z.A. A wideband high-gain microstrip array antenna integrated with frequency-selective surface for Sub-6 GHz 5G applications. Micromachines 2022, 13, 1215. [Google Scholar] [CrossRef]
- Mohyuddin, W.; Kim, D.H.; Choi, H.C.; Kim, K.W. Comparative study of square and circular loop frequency selective surfaces for millimeter-wave imaging diagnostics systems. Sensors 2018, 18, 3079. [Google Scholar] [CrossRef]
- CST Microwave Studio. Available online: http://www.cst.com (accessed on 10 October 2021).
- Available online: http://www.ansys.com/products/electronics/ansys-hfss (accessed on 30 July 2019).
- Altair. FEKO. Available online: http://www.altair.com (accessed on 29 March 2022).
- Pan, C.-Y.; Horng, T.-S.; Chen, W.-S.; Huang, C.-H. Dual wideband printed monopole antenna for WLAN/WiMAX applications. IEEE Antennas Wirel. Propag. Lett. 2007, 6, 149–151. [Google Scholar] [CrossRef]
- Ahmed, O.; Sebak, A. A printed monopole antenna with two steps and a circular slot for UWB applications. IEEE Antennas Wirel. Propag. Lett. 2008, 7, 411–413. [Google Scholar] [CrossRef]
- Kuo, Y.-L.; Wong, K.-L. Printed double-T monopole antenna for 2.4/5.2 GHz dual-band WLAN operations. IEEE Trans. Antennas Propag. 2003, 51, 2187–2192. [Google Scholar]
- Chatterjee, A.; Parui, S.K. Performance enhancement of a dual-band monopole antenna by using a frequency-selective surface-based corner reflector. IEEE Trans. Antennas Propag. 2016, 64, 2165–2171. [Google Scholar] [CrossRef]
- Ranga, Y.; Matekovits, L.; Esselle, K.P.; Weily, A.R. Multioctave frequency selective surface reflector for ultrawideband antennas. IEEE Antennas Wirel. Propag. Lett. 2011, 10, 219–222. [Google Scholar] [CrossRef]




















| Parameters | Values | Parameters | Values |
|---|---|---|---|
| w1 | 25 mm | g1 | 0.5 mm |
| w2 | 2 mm | g2 | 0.13 mm |
| w3 | 0.8 mm | g3 | 0.13 mm |
| w4 | 0.5 mm | g4 | 0.5 mm |
| w5 | 9.62 mm | d | 1.06 mm |
| w6 | 2 mm | L | 7 |
| l1 | 2 mm | M | 5 |
| l2 | 1.4 mm | N | 4 |
| l3 | 2.03 mm | t | 3.2 mm |
Publisher’s Note: MDPI stays neutral with regard to jurisdictional claims in published maps and institutional affiliations. |
© 2022 by the authors. Licensee MDPI, Basel, Switzerland. This article is an open access article distributed under the terms and conditions of the Creative Commons Attribution (CC BY) license (https://creativecommons.org/licenses/by/4.0/).
Share and Cite
Im, C.; Lim, T.H.; Choo, H. Design of a mmWave Antenna Printed on a Thick Vehicle-Glass Substrate Using a Linearly Arrayed Patch Director and a Grid-Slotted Patch Reflector for High-Gain Characteristics. Sensors 2022, 22, 6187. https://doi.org/10.3390/s22166187
Im C, Lim TH, Choo H. Design of a mmWave Antenna Printed on a Thick Vehicle-Glass Substrate Using a Linearly Arrayed Patch Director and a Grid-Slotted Patch Reflector for High-Gain Characteristics. Sensors. 2022; 22(16):6187. https://doi.org/10.3390/s22166187
Chicago/Turabian StyleIm, Changhyeon, Tae Heung Lim, and Hosung Choo. 2022. "Design of a mmWave Antenna Printed on a Thick Vehicle-Glass Substrate Using a Linearly Arrayed Patch Director and a Grid-Slotted Patch Reflector for High-Gain Characteristics" Sensors 22, no. 16: 6187. https://doi.org/10.3390/s22166187
APA StyleIm, C., Lim, T. H., & Choo, H. (2022). Design of a mmWave Antenna Printed on a Thick Vehicle-Glass Substrate Using a Linearly Arrayed Patch Director and a Grid-Slotted Patch Reflector for High-Gain Characteristics. Sensors, 22(16), 6187. https://doi.org/10.3390/s22166187

