Amino-Functionalized Laponite Clay Material as a Sensor Modifier for the Electrochemical Detection of Quercetin
Abstract
:1. Introduction
2. Materials and Methods
2.1. Laponite Clay Mineral and Chemicals
2.2. Organofunctionalization of Laponite Material
2.3. Physicochemical Characterizations of Amino-Functionalized and Unmodified Laponites
2.4. Electroanalytical Analyses and Preparation of the Glassy Carbon Working Electrode
3. Results
3.1. Structural Characterization of Laponite and Amino-Functionalized Laponite Electrode Modifier
3.1.1. X-ray Diffraction and Infrared Spectroscopy Analyses
- (i)
- The decrease in the intensity of the OH stretching bands at 3637 cm−1 attributed to the internal Al- or Mg-linked OH group of the clay after grafting with the organosilane molecules, suggests the participation of hydroxyl groups [34,35,36,37] in the interactions of AEPTMS with the clay surface. In addition, the decrease in intensity of some remarkable vibration bands observed at 3410, 1635, 973 and 647 cm−1, respectively, due to the physisorbed water, the OH vibrations and the Si-O and Si-O-Si stretching can be explained by the prolonged warming during the functionalization of the clay;
- (ii)
- The appearance of new bands in the modified clay spectrum, which are not present in the unmodified clay spectrum, centered at 2923, 1473 and 1317 cm−1 are attributed to C-H deformation bonding, asymmetric stretching vibrations and C-H and C-H bands of amino-functionalized laponite (LaNH2) [38,39,40,41]. Characteristics (i) and (ii) provide strong evidence for the presence of organic fragments in the organic film, consistent with previous reports [42].
3.1.2. Thermal Analyses
3.1.3. Scanning Electron Microscopy
3.2. Evaluation of the Ionic Exchange Capacity of Protonated Amino-Functionalized Laponite (LaNH3+)
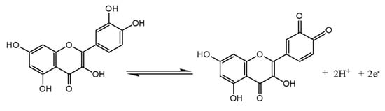
3.3. Electrochemical Behavior of QCT on LaNH3+/GCE
3.4. Effect of Scan Rate
3.5. Effect of Supporting pH on the Quercetin Response
3.6. DPV Calibration Curve and Detection Limit
3.7. Repeatability, Reproducibility and Stability of the Electrode
3.8. Interference Analysis
3.9. Detection of QCT in Urine Samples
4. Conclusions
Author Contributions
Funding
Institutional Review Board Statement
Informed Consent Statement
Data Availability Statement
Acknowledgments
Conflicts of Interest
References
- Kikuzaki, H.; Hisamoto, M.; Hirose, K.; Akiyama, K.; Taniguchi, H. Antioxidant properties of ferulic acid and its related compounds. J. Agric. Food Chem. 2002, 50, 2161–2168. [Google Scholar] [CrossRef] [PubMed]
- Formica, J.V.; Regelson, W. Review of the biology of quercetin and related bioflavonoids. Food Chem. Toxicol. 1995, 33, 1061–1080. [Google Scholar] [CrossRef]
- Cizmarova, B.; Birkova, A.; Hubkova, B.; Bolerazska, B. Pycnogenol—Extract from French maritime pine bark (Pinus pinaster), as an effective antioxidant against superoxide radical. Funct. Food Sci. 2021, 1, 14. [Google Scholar] [CrossRef]
- Procházková, D.; Boušová, I.; Wilhelmová, N. Antioxidant and prooxidant properties of flavonoids. Fitoterapia 2011, 82, 513–523. [Google Scholar] [CrossRef] [PubMed]
- Decker, E.A. Phenolics: Prooxidants or antioxidants? Nutr. Rev. 1997, 55, 396–398. [Google Scholar] [CrossRef]
- Ren, W.; Qiao, Z.; Wang, H.; Zhu, L.; Zhang, L. Flavonoids: Promising anticancer agents. Med. Res. Rev. 2003, 23, 519–534. [Google Scholar] [CrossRef] [PubMed]
- Rice-Evans, C.; Miller, N.; Paganga, G. Antioxidant properties of phenolic compounds. Trends Plant Sci. 1997, 2, 152–159. [Google Scholar] [CrossRef]
- Brett, A.M.O.; Ghica, M.-E. Electrochemical Oxidation of Quercetin. Electroanalysis 2003, 15, 1745–1750. [Google Scholar] [CrossRef]
- Nam, J.-S.; Sharma, A.R.; Nguyen, L.T.; Chakraborty, C.; Sharma, G.; Lee, S.-S. Application of Bioactive Quercetin in Oncotherapy: From Nutrition to Nanomedicine. Molecules 2016, 21, 108. [Google Scholar] [CrossRef]
- Ezzati, M.; Yousefi, B.; Velaei, K.; Safa, A. A review on anti-cancer properties of Quercetin in breast cancer. Life Sci. 2020, 248, 117463. [Google Scholar] [CrossRef]
- Kumar, S.; Pandey, A.K. Chemistry and biological activities of flavonoids: An overview. Sci. World J. 2013, 2013, 162750. [Google Scholar] [CrossRef] [PubMed]
- Sohrabi, M.R.; Darabi, G. The application of continuous wavelet transform and least squares support vector machine for the simultaneous quantitative spectrophotometric determination of Myricetin, Kaempferol and Quercetin as flavonoids in pharmaceutical plants. Spectrochim. Acta A Mol. Biomol. Spectrosc. 2016, 152, 443–452. [Google Scholar] [CrossRef] [PubMed]
- Pejic, N.; Kuntic, V.; Vujic, Z.; Micic, S. Direct spectrophotometric determination of quercetin in the presence of ascorbic acid. Farmaco 2004, 59, 21–24. [Google Scholar] [CrossRef] [PubMed]
- Ang, L.F.; Yam, M.F.; Fung, Y.T.T.; Kiang, P.K.; Darwin, Y. HPLC method for simultaneous quantitative detection of quercetin and curcuminoids in traditional chinese medicines. J. Pharmacopunct. 2014, 17, 36–49. [Google Scholar] [CrossRef]
- Careri, M.; Elviri, L.; Mangia, A.; Musci, M. Spectrophotometric and coulometric detection in the high-performance liquid chromatography of flavonoids and optimization of sample treatment for the determination of quercetin in orange juice. J. Chromatogr. A 2000, 881, 449–460. [Google Scholar] [CrossRef]
- Lin, X.-Q.; He, J.-B.; Zha, Z.-G. Simultaneous determination of quercetin and rutin at a multi-wall carbon-nanotube paste electrodes by reversing differential pulse voltammetry. Sens. Actuators B Chem. 2006, 119, 608–614. [Google Scholar] [CrossRef]
- Xiao, P.; Zhao, F.; Zeng, B. Voltammetric determination of quercetin at a multi-walled carbon nanotubes paste electrode. Microchem. J. 2007, 85, 244–249. [Google Scholar] [CrossRef]
- Xu, G.-R.; Kim, S. Selective Determination of Quercetin Using Carbon Nanotube-Modified Electrodes. Electroanalysis 2006, 18, 1786–1792. [Google Scholar] [CrossRef]
- Jin, J.-H.; Kwon, C.; Park, W.; Kim, S.; Jung, S. Electrochemical characterization of a glassy carbon electrode modified with microbial succinoglycan monomers and multi-wall carbon nanotubes for the detection of quercetin in an aqueous electrolyte. J. Electroanal. Chem. 2008, 623, 142–146. [Google Scholar] [CrossRef]
- Mbokou Foukmeniok, S.; Ilboudo, O.; Karanga, Y.; Tapsoba, I.; Njanja, E.; Tonle Kenfack, I. Direct and simultaneous quantification of rutin and quercetin in natural fruits base on purified Arabic Gum modified carbon paste electrode. SN Appl. Sci. 2019, 1, 940. [Google Scholar] [CrossRef]
- de Mello Ferreira Guimarães, A.; Ciminelli, V.S.T.; Vasconcelos, W.L. Smectite organofunctionalized with thiol groups for adsorption of heavy metal ions. Appl. Clay Sci. 2009, 42, 410–414. [Google Scholar] [CrossRef]
- Guenang, L.S.; Dongmo, L.M.; Jiokeng, S.L.Z.; Kamdem, A.T.; Doungmo, G.; Tonlé, I.K.; Bassetto, V.C.; Jović, M.; Lesch, A.; Girault, H. Montmorillonite clay-modified disposable ink-jet-printed graphene electrode as a sensitive voltammetric sensor for the determination of cadmium (II) and lead (II). SN Appl. Sci. 2020, 2, 443. [Google Scholar] [CrossRef]
- Dongmo, L.M.; Guenang, L.S.; Jiokeng, S.L.Z.; Kamdem, A.T.; Doungmo, G.; Victor, B.C.; Jović, M.; Lesch, A.; Tonlé, I.K.; Girault, H. A new sensor based on an amino-montmorillonite-modified inkjet-printed graphene electrode for the voltammetric determination of gentisic acid. Mikrochim. Acta 2021, 188, 36. [Google Scholar] [CrossRef]
- Walcarius, A.; Etienne, M.; Delacote, C. Uptake of inorganic HgII by organically modified silicates: Influence of pH and chloride concentration on the binding pathways and electrochemical monitoring of the processes. Anal. Chim. Acta 2004, 508, 87–98. [Google Scholar] [CrossRef]
- Bois, L.; Bonhommé, A.; Ribes, A.; Pais, B.; Raffin, G.; Tessier, F. Functionalized silica for heavy metal ions adsorption. Colloids Surf. A Physicochem. Eng. Asp. 2003, 221, 221–230. [Google Scholar] [CrossRef]
- Huang, X.-B.; Sun, J.-S.; Huang, Y.; Yan, B.-C.; Dong, X.-D.; Liu, F.; Wang, R. Laponite: A promising nanomaterial to formulate high-performance water-based drilling fluids. Pet. Sci. 2021, 18, 579–590. [Google Scholar] [CrossRef]
- Prado, L.A.S.d.A.; Karthikeyan, C.S.; Schulte, K.; Nunes, S.P.; de Torriani, I.L. Organic modification of layered silicates: Structural and thermal characterizations. J. Non-Cryst. Solids 2005, 351, 970–975. [Google Scholar] [CrossRef]
- Poyard, S.; Jaffrezic-Renault, N.; Martelet, C.; Cosnier, S.; Labbe, P.; Besombes, J.L. A new method for the controlled immobilization of enzyme in inorganic gels (laponite) for amperometric glucose biosensing. Sens. Actuators B Chem. 1996, 33, 44–49. [Google Scholar] [CrossRef]
- Arumugam, S.; Kuppan, J.; Devaraj, M.; Arumugam, S. Fe-Pd-Immobilized Al-Pillared Laponite Clay as an Efficient Catalyst for the Conversion of Furfural into Tetrahydrofurfuryl Alcohol. ChemistrySelect 2020, 5, 9314–9322. [Google Scholar] [CrossRef]
- Guimarães, A.d.M.F.; Ciminelli, V.S.T.; Vasconcelos, W.L. Surface modification of synthetic clay aimed at biomolecule adsorption: Synthesis and characterization. Mat. Res. 2007, 10, 37–41. [Google Scholar] [CrossRef]
- Milia, A.; Bruno, M.; Cavallaro, G.; Lazzara, G.; Milioto, S. Adsorption isotherms and thermal behavior of hybrids based on quercetin and inorganic fillers. J. Therm. Anal. Calorim. 2019, 138, 1971–1977. [Google Scholar] [CrossRef]
- Kesavan, G.; Chen, S.-M. Carbon-modified kaolin clay using sugar dehydration technique for the electrochemical detection of quercetin. J. Mater. Sci. Mater. Electron. 2020, 31, 21670–21681. [Google Scholar] [CrossRef]
- Tajeu, K.Y.; Ebunang, D.V.T.; Tonleu, R.C.T.; Jiokeng, S.L.Z.; Ymele, E.; Tonle, I.K. Electroanalytical application of thiol-grafted laponite to the sensitive quantification of ciprofloxacin antibiotic. J. Appl Electrochem. 2021, 51, 435–446. [Google Scholar] [CrossRef]
- Jiokeng, S.L.Z.; Dongmo, L.M.; Ymélé, E.; Ngameni, E.; Tonlé, I.K. Sensitive stripping voltammetry detection of Pb (II) at a glassy carbon electrode modified with an amino-functionalized attapulgite. Sens. Actuators B Chem. 2017, 242, 1027–1034. [Google Scholar] [CrossRef]
- Gutiérrez, F.; Ortega, G.; Cabrera, J.L.; Rubianes, M.D.; Rivas, G.A. Quantification of Quercetin Using Glassy Carbon Electrodes Modified with Multiwalled Carbon Nanotubes Dispersed in Polyethylenimine and Polyacrylic Acid. Electroanalysis 2010, 22, 2650–2657. [Google Scholar] [CrossRef]
- Ngouoko, J.J.K.; Tajeu, K.Y.; Temgoua, R.C.T.; Doungmo, G.; Doench, I.; Tamo, A.K.; Kamgaing, T.; Osorio-Madrazo, A.; Tonle, I.K. Hydroxyapatite/L-Lysine Composite Coating as Glassy Carbon Electrode Modifier for the Analysis and Detection of Nile Blue A. Materials 2022, 15, 4262. [Google Scholar] [CrossRef]
- Deussi Ngaha, M.C.; Kougoum Tchieda, V.; Kamdem Tamo, A.; Doungmo, G.; Njanja, E.; Kenfack Tonle, I. Aminoalcohol-functionalization of Alkali Palm Oil Fiber and Application as Electrochemical Sensor for 2-nitrophenol Determination. Electroanalysis 2022, 9, 5222. [Google Scholar] [CrossRef]
- Osorio-Madrazo, A.; David, L.; Peniche-Covas, C.; Rochas, C.; Putaux, J.-L.; Trombotto, S.; Alcouffe, P.; Domard, A. Fine microstructure of processed chitosan nanofibril networks preserving directional packing and high molecular weight. Carbohydr. Polym. 2015, 131, 1–8. [Google Scholar] [CrossRef]
- Osorio-Madrazo, A.; David, L.; Trombotto, S.; Lucas, J.-M.; Peniche-Covas, C.; Domard, A. Highly crystalline chitosan produced by multi-steps acid hydrolysis in the solid-state. Carbohydr. Polym. 2011, 83, 1730–1739. [Google Scholar] [CrossRef]
- Toeri, J.; Osorio-Madrazo, A.; Laborie, M.-P. Preparation and Chemical/Microstructural Characterization of Azacrown Ether-Crosslinked Chitosan Films. Materials 2017, 10, 400. [Google Scholar] [CrossRef]
- Marquez-Bravo, S.; Doench, I.; Molina, P.; Bentley, F.E.; Tamo, A.K.; Passieux, R.; Lossada, F.; David, L.; Osorio-Madrazo, A. Functional Bionanocomposite Fibers of Chitosan Filled with Cellulose Nanofibers Obtained by Gel Spinning. Polymers 2021, 13, 1563. [Google Scholar] [CrossRef] [PubMed]
- Nielsen, S.E.; Dragsted, L.O. Column-switching high-performance liquid chromatographic assay for the determination of quercetin in human urine with ultraviolet absorbance detection. J. Chromatogr. B Biomed. Sci. Appl. 1998, 707, 81–89. [Google Scholar] [CrossRef]
- Amine, S.; Montembault, A.; Fumagalli, M.; Osorio-Madrazo, A.; David, L. Controlled Polyelectrolyte Association of Chitosan and Carboxylated Nano-Fibrillated Cellulose by Desalting. Polymers 2021, 13, 2023. [Google Scholar] [CrossRef] [PubMed]
- Doench, I.; Torres-Ramos, M.E.W.; Montembault, A.; Nunes de Oliveira, P.; Halimi, C.; Viguier, E.; Heux, L.; Siadous, R.; Thiré, R.M.S.M.; Osorio-Madrazo, A. Injectable and Gellable Chitosan Formulations Filled with Cellulose Nanofibers for Intervertebral Disc Tissue Engineering. Polymers 2018, 10, 1202. [Google Scholar] [CrossRef]
- Kamdem Tamo, A.; Doench, I.; Walter, L.; Montembault, A.; Sudre, G.; David, L.; Morales-Helguera, A.; Selig, M.; Rolauffs, B.; Bernstein, A.; et al. Development of Bioinspired Functional Chitosan/Cellulose Nanofiber 3D Hydrogel Constructs by 3D Printing for Application in the Engineering of Mechanically Demanding Tissues. Polymers 2021, 13, 1663. [Google Scholar] [CrossRef] [PubMed]
- Osorio-Madrazo, A.; Laborie, M.-P. Morphological and Thermal Investigations of Cellulosic Bionanocomposites. In Biopolymer Nanocomposites; Dufresne, A., Thomas, S., Pothen, L.A., Eds.; John Wiley & Sons, Inc.: Hoboken, NJ, USA, 2013; pp. 411–436. ISBN 9781118609958. [Google Scholar]
- Abushammala, H.; Pontes, J.F.; Gomes, G.H.; Osorio-Madrazo, A.; Thiré, R.M.S.M.; Pereira, F.V.; Laborie, M.-P.G. Swelling, viscoelastic, and anatomical studies on ionic liquid-swollen Norway spruce as a screening tool toward ionosolv pulping. Holzforschung 2015, 69, 1059–1067. [Google Scholar] [CrossRef]
- Samyn, P.; Osorio-Madrazo, A. Native Crystalline Polysaccharide Nanofibers: Processing and Properties. In Handbook of Nanofibers; Barhoum, A., Bechelany, M., Makhlouf, A., Eds.; Springer International Publishing: Cham, Switzerland, 2018; pp. 1–36. ISBN 978-3-319-42789-8. [Google Scholar]
- Doench, I.; Ahn Tran, T.; David, L.; Montembault, A.; Viguier, E.; Gorzelanny, C.; Sudre, G.; Cachon, T.; Louback-Mohamed, M.; Horbelt, N.; et al. Cellulose Nanofiber-Reinforced Chitosan Hydrogel Composites for Intervertebral Disc Tissue Repair. Biomimetics 2019, 4, 19. [Google Scholar] [CrossRef]
- Bentley, F.E.; Passieux, R.; David, L.; Osorio-Madrazo, A. Pure Chitosan Biomedical Textile Fibers from Mixtures of Low- and High-Molecular Weight Bidisperse Polymer Solutions: Processing and Understanding of Microstructure-Mechanical Properties’ Relationship. Int. J. Mol. Sci. 2022, 23, 4767. [Google Scholar] [CrossRef]
- Lall, A.; Kamdem Tamo, A.; Doench, I.; David, L.; Nunes de Oliveira, P.; Gorzelanny, C.; Osorio-Madrazo, A. Nanoparticles and Colloidal Hydrogels of Chitosan-Caseinate Polyelectrolyte Complexes for Drug-Controlled Release Applications. Int. J. Mol. Sci. 2020, 21, 5602. [Google Scholar] [CrossRef]
- Kamdem Tamo, A.; Doench, I.; Morales Helguera, A.; Hoenders, D.; Walther, A.; Madrazo, A.O. Biodegradation of Crystalline Cellulose Nanofibers by Means of Enzyme Immobilized-Alginate Beads and Microparticles. Polymers 2020, 12, 1522. [Google Scholar] [CrossRef]
- Tonle, I.K.; Ngameni, E.; Walcarius, A. From clay- to organoclay-film modified electrodes: Tuning charge selectivity in ion exchange voltammetry. Electrochim. Acta 2004, 49, 3435–3443. [Google Scholar] [CrossRef]
- Okajima, T.; Ohsaka, T.; Oyama, N. Electrode kinetics of [Ru(NH3)6]3+/2+ complex confined in montmorillonite clay coatings on graphite electrodes. J. Electroanal. Chem. Interfacial Electrochem. 1991, 315, 175–189. [Google Scholar] [CrossRef]
- Laviron, E. General expression of the linear potential sweep voltammogram in the case of diffusionless electrochemical systems. J. Electroanal. Chem. Interfacial Electrochem. 1979, 101, 19–28. [Google Scholar] [CrossRef]
- Bard, A.J.; Faulkner, L.R. Electrochemical Methods: Fundamentals and Applications, 2nd ed.; John Wiley & Sons, Inc.: New York, NY, USA, 2001; ISBN 978-0-471-04372-0. [Google Scholar]
- Arvand, M.; Anvari, M. A graphene-based electrochemical sensor for sensitive detection of quercetin in foods. J. Iran Chem. Soc. 2013, 10, 841–849. [Google Scholar] [CrossRef]
- Tesfaye, G.; Hailu, T.; Ele, E.; Negash, N.; Tessema, M. Square wave voltammetric determination of quercetin in wine and fruit juice samples at poly (safranine O) modified glassy carbon electrode. Sens. Bio-Sens. Res. 2021, 34, 100466. [Google Scholar] [CrossRef]
- Şenocak, A. Simple and sensitive detection of quercetin antioxidant by TEOS coated magnetic Fe2O3 core-shell. J. Turk. Chem. Soc. Sect. A Chem. 2020, 7, 525–534. [Google Scholar] [CrossRef]
- Yao, Y.-Y.; Zhang, L.; Wang, Z.-F.; Xu, J.-K.; Wen, Y.-P. Electrochemical determination of quercetin by self-assembled platinum nanoparticles/poly(hydroxymethylated-3,4-ethylenedioxylthiophene) nanocomposite modified glassy carbon electrode. Chin. Chem. Lett. 2014, 25, 505–510. [Google Scholar] [CrossRef]
- Wang, Z.; Xia, J.; Zhu, L.; Chen, X.; Zhang, F.; Yao, S.; Li, Y.; Xia, Y. A Selective Voltammetric Method for Detecting Dopamine at Quercetin Modified Electrode Incorporating Graphene. Electroanalysis 2011, 23, 2463–2471. [Google Scholar] [CrossRef]











| GCE Modifier | Linear Range (×10−6 M) | Detection Limit (×10−6 M) | Real Sample | References |
|---|---|---|---|---|
| Graphene | 0.006–10 | 0.0036 | Apple, onion | [57] |
| MWCNTs dispersed in polyacrylic acjd | 2–11 | 0.2 | Onion | [35] |
| poly (safranine O) | 0.01–8 | 0.005 | Wine, Fruit Juice | [58] |
| TEOS@Fe2O3 | 1–9 | 0.092 | Apple tea | [59] |
| PtNPs/PEDOT-MeOH | 0.04–91 | 0.052 | Apple juice | [60] |
| Aminated laponite | 0.2–2 | 0.0263 | Human urine | This work |
| DPV | UV-Visible | ||||
|---|---|---|---|---|---|
| Sample | QCT Added (×10−6 M) | QCT Found (× 10−6 M) | Recovery (%) | QCT Found (×10−6 M) | Recovery (%) |
| 1 | 0.4 | 0.38 | 96.20 | 0.55 | 137 |
| 2 | 0.8 | 0.77 | 97.70 | 0.94 | 117 |
| 3 | 1.2 | 1.17 | 97.20 | 1.39 | 116 |
| 4 | 1.6 | 1.56 | 97.50 | 1.73 | 108 |
Publisher’s Note: MDPI stays neutral with regard to jurisdictional claims in published maps and institutional affiliations. |
© 2022 by the authors. Licensee MDPI, Basel, Switzerland. This article is an open access article distributed under the terms and conditions of the Creative Commons Attribution (CC BY) license (https://creativecommons.org/licenses/by/4.0/).
Share and Cite
Ebunang, D.V.T.; Tajeu, K.Y.; Pecheu, C.N.; Jiokeng, S.L.Z.; Tamo, A.K.; Doench, I.; Osorio-Madrazo, A.; Tonle, I.K.; Ngameni, E. Amino-Functionalized Laponite Clay Material as a Sensor Modifier for the Electrochemical Detection of Quercetin. Sensors 2022, 22, 6173. https://doi.org/10.3390/s22166173
Ebunang DVT, Tajeu KY, Pecheu CN, Jiokeng SLZ, Tamo AK, Doench I, Osorio-Madrazo A, Tonle IK, Ngameni E. Amino-Functionalized Laponite Clay Material as a Sensor Modifier for the Electrochemical Detection of Quercetin. Sensors. 2022; 22(16):6173. https://doi.org/10.3390/s22166173
Chicago/Turabian StyleEbunang, Delmas Vidal Tabe, Kevin Yemele Tajeu, Chancellin Nkepdep Pecheu, Sherman Lesly Zambou Jiokeng, Arnaud Kamdem Tamo, Ingo Doench, Anayancy Osorio-Madrazo, Ignas Kenfack Tonle, and Emmanuel Ngameni. 2022. "Amino-Functionalized Laponite Clay Material as a Sensor Modifier for the Electrochemical Detection of Quercetin" Sensors 22, no. 16: 6173. https://doi.org/10.3390/s22166173
APA StyleEbunang, D. V. T., Tajeu, K. Y., Pecheu, C. N., Jiokeng, S. L. Z., Tamo, A. K., Doench, I., Osorio-Madrazo, A., Tonle, I. K., & Ngameni, E. (2022). Amino-Functionalized Laponite Clay Material as a Sensor Modifier for the Electrochemical Detection of Quercetin. Sensors, 22(16), 6173. https://doi.org/10.3390/s22166173

