Jitter-Robust Phase Retrieval Wavefront Sensing Algorithms
Abstract
:1. Introduction
2. Principle of Jitter-Robust Phase Retrieval Wavefront Sensing Algorithm
2.1. Modelling Point Spread Function in the Presence of Jitter
2.2. Iterative-Transform Jitter-Robust Image-Based Wavefront Sensing Algorithm
2.3. Parametric Jitter-Robust Image-Based Wavefront Sensing Algorithm
3. Simulations
3.1. Simulation of PSF in the Presence of Jitter
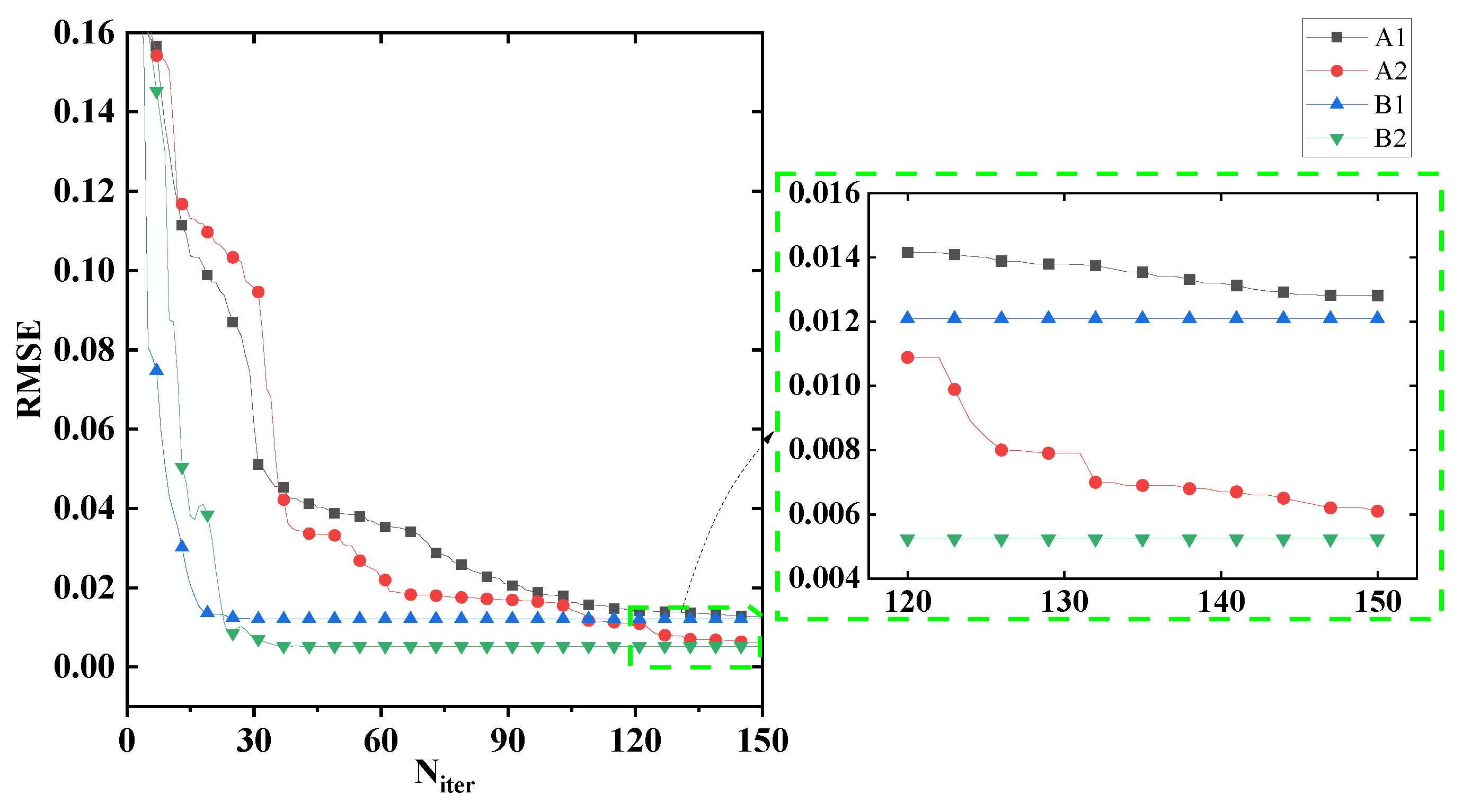
3.2. Results for One Case and Analysis
- (1)
- While jitter-robust phase retrieval algorithms cannot thoroughly eliminate the effects of jitter on phase retrieval accuracy, they can effectively reduce its effects and maintain wavefront accuracy.
- (2)
- The accuracy of C4 (defocus aberration) and C5, C6 (astigmatism) are more susceptible to the effects of jitter for traditional phase retrieval algorithms.
- (3)
- It seems that the accuracy of the parametric jitter-robust phase retrieval algorithm is a little higher than the accuracy of the iterative-transform jitter-robust phase retrieval algorithm.
3.3. Monte Carlo Analysis and Discussion
- (1)
- We can see from Figure 6a,b that the accuracy of the traditional phase retrieval algorithms decreases sharply as the magnitude of jitter increases, while the two jitter-robust phase retrieval algorithms can reduce the effects of jitter on phase retrieval accuracy.
- (2)
- We can see from Figure 6a,b that the RMSE of the jitter-robust phase retrieval algorithms is about half of the RMSE of the traditional phase retrieval algorithms.
- (3)
- Comparing Figure 6a,b, we can see that iterative-transform phase retrieval algorithms (both A1 and A2) are more sensitive to noise level, and their accuracy is lower than parametric phase retrieval algorithms for low signal-to-noise-ratio (SNR).
4. Experiment
- (1)
- The reconstructed images for A2 and B2 are very similar to the original images, and RMSEs for A2 and B2 are smaller than RMSEs for A1 and B1, which demonstrates the effectiveness and practicality of the proposed jitter-robust phase retrieval algorithms.
- (2)
- The reconstructed images for A1 are also similar to the original images. However, the RMSE for A1 is quite large. This fact indicates that traditional phase retrieval algorithms attribute image vague to aberration, not jitter. Therefore, while the reconstructed images are similar to the original ones, the accuracy is low.
- (3)
- We find that in this experiment, the accuracy of B2 is a litter higher than A2. The possible reason may be that the parametric jitter-robust phase retrieval algorithm is more robust to image noise than the iterative-transform jitter-robust phase retrieval algorithm. This conclusion is consistent with the results presented in Figure 6.
5. Other Discussion
6. Conclusions
Author Contributions
Funding
Institutional Review Board Statement
Informed Consent Statement
Data Availability Statement
Acknowledgments
Conflicts of Interest
References
- Noethe, L. Active optics in modern, large optical telescopes. Prog. Opt. 2001, 43, 1–69. [Google Scholar]
- Tarenghi, M.; Wilson, R.N. The ESO NTT (new technology telescope): The first active optics telescope. Proc. SPIE 1989, 1114, 302–313. [Google Scholar]
- Fienup, J.R. Phase retrieval algorithms: A personal tour. Appl. Opt. 2013, 52, 45–56. [Google Scholar] [CrossRef] [PubMed] [Green Version]
- Zhao, L.; Bai, J.; Hao, Y.; Jing, H.; Wang, C.; B Lu, Y.L.; Wang, K. Modal-based nonlinear optimization algorithm for wavefront measurement with under-sampled data. Opt. Lett. 2020, 45, 5456–5459. [Google Scholar] [CrossRef] [PubMed]
- Zhao, L.; Yan, H.; Bai, J.; Hou, J.; He, Y.; Zhou, X.; Wang, K. Simultaneous reconstruction of phase and amplitude for wavefront measurements based on nonlinear optimization algorithms. Opt. Express 2020, 28, 19726–19737. [Google Scholar] [CrossRef] [PubMed]
- Gerchberg, W.; Saxton, W.O. A practical algorithm for the de termination of phase from image and diffraction plane pictures. Optik 1972, 35, 237–246. [Google Scholar]
- Fienup, J.R. Phase-retrieval algorithms for a complicated optical system. Appl. Opt. 1993, 32, 1737–1746. [Google Scholar] [CrossRef]
- Gonsalves, R.A.; Hidlaw, R.C. Wavefront sensing by phase retrieval. Proc. SPIE 1979, 207, 32–39. [Google Scholar]
- Gonsalves, R.A. Phase retrieval and diversity in adaptive optics. Opt. Eng. 1982, 21, 829–832. [Google Scholar] [CrossRef]
- Paxman, R.G.; Schulz, T.J.; Fienup, J.R. Joint estimation of object and aberrations by using phase diversity. J. Opt. Soc. Am. A 1992, 9, 1072–1085. [Google Scholar] [CrossRef] [Green Version]
- Paxman, R.G.; Fienup, J.R. Optical misalignment sensing and image reconstruction using phase diversity. J. Opt. Soc. Am. A 1988, 5, 914–923. [Google Scholar] [CrossRef]
- Qi, X.; Ju, G.; Xu, S. Efficient solution to the stagnation problem of the particle swarm optimization algorithm for phase diversity. Appl. Opt. 2018, 57, 2747–2757. [Google Scholar] [CrossRef] [PubMed]
- Ju, G.; Qi, X.; Ma, H.; Yan, C. Feature-based phase retrieval wavefront sensing approach using machine learning. Opt. Express 2018, 26, 31767–31783. [Google Scholar] [CrossRef] [PubMed]
- Mckl, L.; Petrov, P.N.; Moerner, W.E. Accurate phase retrieval of complex point spread functions with deep residual neural networks. Appl. Phys. Lett. 2019, 115, 251106. [Google Scholar] [CrossRef] [PubMed]
- Guerra-Ramos, D.; Trujillo-Sevilla, J.; Rodríguez-Ramos, J.M. Towards Piston Fine Tuning of Segmented Mirrors through Reinforcement Learning. Appl. Sci.-Basel 2020, 10, 3207. [Google Scholar] [CrossRef]
- Nishizaki, Y.; Horisaki, R.; Kitaguchi, K.; Saito, M.; Tanida, J. Analysis of non-iterative phase retrieval based on machine learning. Opt. Rev. 2020, 27, 136–141. [Google Scholar] [CrossRef] [Green Version]
- Tian, Q.; Lu, C.; Liu, B.; Zhu, L.; Pan, X.; Zhang, Q.; Yang, L.; Tian, F.; Xin, X. DNN-based aberration correction in a wavefront sensorless adaptive optics system. Opt. Express 2019, 27, 10765–10776. [Google Scholar] [CrossRef]
- Nishizaki, Y.; Valdivia, M.; Horisaki, R.; Kitaguchi, K.; Saito, M.; Tanida, J.; Vera, E. Deep learning wavefront sensing. Opt. Express 2019, 27, 240–251. [Google Scholar] [CrossRef]
- Xin, Q.; Ju, G.; Zhang, C.; Xu, S. Object-independent image-based wavefront sensing approach using phase diversity images and deep learning. Opt. Express 2019, 27, 26102–26119. [Google Scholar] [CrossRef]
- Pain, S.W.; Fienup, J.R. Machine learning for improved image-based wavefront sensing. Opt. Lett. 2018, 43, 1235–1238. [Google Scholar] [CrossRef]
- Ko, J.; Christopher, C.D. Comparison of the plenoptic sensor and the Shack–Hartmann sensor. Appl. Opt. 2017, 56, 3689–3698. [Google Scholar] [CrossRef] [PubMed]
- Plantet, C.; Meimon, S.; Conan, J.-M.; Fusco, T. Revisiting the comparison between the Shack-Hartmann and the pyramid wavefront sensors via the Fisher information matrix. Opt. Express 2015, 23, 28619–28633. [Google Scholar] [CrossRef] [PubMed] [Green Version]
- An, Q.; Wu, X.; Lin, X.; Ming, M.; Wang, J.; Chen, T.; Zhang, J.; Li, H.; Chen, L.; Tang, J.; et al. Large segmented sparse aperture collimation by curvature sensing. Opt. Express 2020, 28, 40176–40187. [Google Scholar] [CrossRef] [PubMed]
- Guo, H.; Xu, Y.; Li, Q.; Du, S.; He, D.; Wang, Q.; Huang, Y. Improved Machine Learning Approach for Wavefront Sensing. Sensors 2019, 19, 3533. [Google Scholar] [CrossRef] [PubMed] [Green Version]
- Wu, Y.; Guo, Y.; Bao, H.; Rao, C. Sub-Millisecond Phase Retrieval for Phase-Diversity Wavefront Sensor. Sensors 2020, 20, 4877. [Google Scholar] [CrossRef]
- Lightsey, P.A.; Atkinson, C.B.; Clampin, M.C.; Feinberg, L.D. James Webb Space telescope: Large deployable cryogenic telescope in space. Opt. Eng. 2012, 51, 011003. [Google Scholar] [CrossRef] [Green Version]
- Liu, S.J.; Lin, F.; Tong, X.H.; Zhang, H.; Lin, H.; Xie, H.; Ye, Z.; Zheng, S.Z. Dynamic PSF-based jitter compensation and quality improvement for push-broom optical images considering terrain relief and the TDI effect. Appl. Opt. 2022, 61, 4655–4662. [Google Scholar] [CrossRef]
- Sun, T.; Long, H.; Liu, B.C.; Li, Y. Application of attitude jitter detection based on short-time asynchronous images and compensation methods for Chinese mapping satellite-1. Opt. Express 2015, 23, 1395–1410. [Google Scholar] [CrossRef]
- Liu, S.J.; Tong, X.H.; Wang, F.X.; Sun, W.Z.; Guo, C.C.; Ye, Z.; Jin, Y.M.; Xie, H.; Chen, P. Attitude Jitter Detection Based on Remotely Sensed Images and Dense Ground Controls: A Case Study for Chinese ZY-3 Satellite. IEEE J. Sel. Top. Appl. Earth Obs. Remote Sens. 2016, 9, 5760–5766. [Google Scholar] [CrossRef]
- Wu, B.; Di, K.; Oberst, J. Planetary Remote Sensing and Mapping; CRC Press: Boca Raton, FL, USA, 2019. [Google Scholar]
- Hasan, H.; Burrows, C.J. Telescope Image Modeling (TIM). Publ. Astron. Soc. Pac. 1995, 107, 289–298. [Google Scholar] [CrossRef]
- Johnson, J.F. Modeling Imager Deterministic and Statistical Modulation Transfer-functions. Appl. Opt. 1993, 32, 6503–6513. [Google Scholar] [CrossRef] [PubMed]
- Lofdahl, M.G.; Scharmer, G.B. Wave-front sensing and image-restoration from focused and defocused solar images. Astron. Astrophys. Suppl. Ser. 1994, 107, 243–264. [Google Scholar]
- Nussbaumer, H.J. 1931-Fast Fourier Transform and Convolution Algorithms; Springer: Berlin/Heidelberg, Germany, 1982. [Google Scholar]









| C4 | C5 | C6 | C7 | C8 | C9 | RMSE | Iterations | ||
|---|---|---|---|---|---|---|---|---|---|
| True value | 0.321 | −0.254 | 0.223 | −0.113 | 0.036 | 0.038 | |||
| sigma = 0.1 pixels | A1 | 0.303 | −0.250 | 0.214 | −0.114 | 0.040 | 0.043 | 0.0079 | 142 |
| B1 | 0.320 | −0.263 | 0.242 | −0.131 | 0.023 | 0.031 | 0.0050 | 141 | |
| A2 | 0.319 | −0.249 | 0.223 | −0.115 | 0.040 | 0.041 | 0.0031 | 33 | |
| B2 | 0.323 | −0.258 | 0.225 | −0.115 | 0.037 | 0.037 | 0.0024 | 29 | |
| sigma = 0.3 pixels | A1 | 0.296 | −0.242 | 0.213 | −0.111 | 0.047 | 0.045 | 0.0128 | 144 |
| B1 | 0.334 | −0.265 | 0.245 | −0.121 | 0.027 | 0.026 | 0.0121 | 145 | |
| A2 | 0.310 | −0.245 | 0.218 | −0.110 | 0.030 | 0.039 | 0.0059 | 34 | |
| B2 | 0.324 | −0.255 | 0.230 | −0.119 | 0.032 | 0.035 | 0.0052 | 32 | |
| sigma = 0.5 pixels | A1 | 0.287 | −0.224 | 0.205 | −0.106 | 0.044 | 0.031 | 0.0217 | 147 |
| B1 | 0.293 | −0.216 | 0.209 | −0.111 | 0.039 | 0.030 | 0.0209 | 145 | |
| A2 | 0.336 | −0.263 | 0.255 | −0.115 | 0.031 | 0.035 | 0.0134 | 38 | |
| B2 | 0.327 | −0.268 | 0.249 | −0.124 | 0.033 | 0.041 | 0.0119 | 40 |
Publisher’s Note: MDPI stays neutral with regard to jurisdictional claims in published maps and institutional affiliations. |
© 2022 by the authors. Licensee MDPI, Basel, Switzerland. This article is an open access article distributed under the terms and conditions of the Creative Commons Attribution (CC BY) license (https://creativecommons.org/licenses/by/4.0/).
Share and Cite
Guo, L.; Ju, G.; Xu, B.; Bai, X.; Meng, Q.; Jiang, F.; Xu, S. Jitter-Robust Phase Retrieval Wavefront Sensing Algorithms. Sensors 2022, 22, 5584. https://doi.org/10.3390/s22155584
Guo L, Ju G, Xu B, Bai X, Meng Q, Jiang F, Xu S. Jitter-Robust Phase Retrieval Wavefront Sensing Algorithms. Sensors. 2022; 22(15):5584. https://doi.org/10.3390/s22155584
Chicago/Turabian StyleGuo, Liang, Guohao Ju, Boqian Xu, Xiaoquan Bai, Qingyu Meng, Fengyi Jiang, and Shuyan Xu. 2022. "Jitter-Robust Phase Retrieval Wavefront Sensing Algorithms" Sensors 22, no. 15: 5584. https://doi.org/10.3390/s22155584
APA StyleGuo, L., Ju, G., Xu, B., Bai, X., Meng, Q., Jiang, F., & Xu, S. (2022). Jitter-Robust Phase Retrieval Wavefront Sensing Algorithms. Sensors, 22(15), 5584. https://doi.org/10.3390/s22155584

