Convolutional Neural Networks and Heuristic Methods for Crowd Counting: A Systematic Review
Abstract
:1. Background
2. Introduction
3. Literature Search Method
- For which situation was the task of crowd counting addressed?
- Which datasets were used? What was the nature of the elements in the dataset? Were they persons, animals, or other objects?
- Which architecture was used?
- What metrics were used for evaluation?
3.1. Inclusion Criteria
3.2. Databases and Search Steps
4. Heuristic Models
4.1. Detection Based Methods
- Non-Linear: Similarly to RBF, Support Vector Machines (SVMs) present good quality while suffering from low detection speed.
- Linear: more commonly used classifiers such as boosting, linear SVMs, or Random Forests [35].
4.2. Regression Methods
4.3. Clustering Based Methods
5. Deep Learning Methods
- Convolutional layer: the primary role of this layer is to apply filters to detect features in the input image and build numerous feature maps to help identify or classify it. After every convolution operation, a linear function, the ReLU activation, is applied to replace the negative pixel values with zero values in the feature map.
- Pooling layer: this step takes the output feature map generated by the convolution. The goal is to reduce the complexity for further layers by applying a specific function such as the max pooling.
- Fully connected layer: every neuron from the previous layer is connected to every neuron on the next layer to generate the final classification result.
5.1. Basic CNN
- Optimizing the connections: the multi-stage ConvNet increases the number of features in the final classifier, and the connections seriously increase the calculation time during the training and detection phases. Some redundant connections among two similar feature maps were observed, so these extra connections were removed based on a similarity matrix to accelerate the speed.
- Cascade classifier: samples with complicated backgrounds are always hard to classify. The idea is to pick out those complex samples and train them individually and, after that, send them to a second ConvNet classifier to obtain the final classification result.
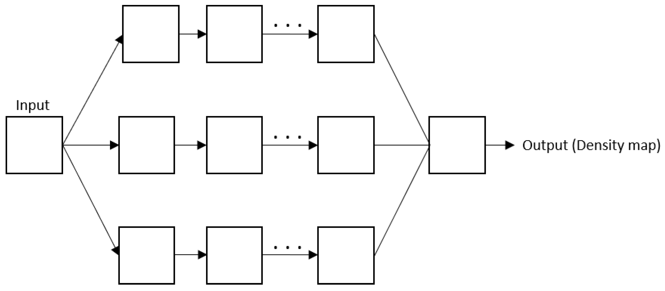
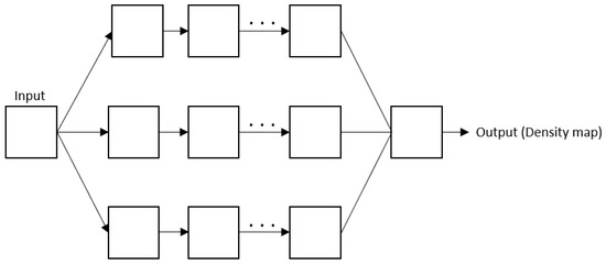
5.2. Multi column CNN
5.3. Single Column CNN
6. Datasets
6.1. Sparse Datasets
6.2. Crowded Datasets
6.3. Evaluation Metrics
7. Results and Discussion
8. Future Scope and Challenges
Author Contributions
Funding
Institutional Review Board Statement
Informed Consent Statement
Data Availability Statement
Conflicts of Interest
References
- Tang, S.; Pan, Z.; Zhou, X. Low-Rank and Sparse Based Deep-Fusion Convolutional Neural Network for Crowd Counting. Math. Probl. Eng. 2017, 2017, 5046727. [Google Scholar] [CrossRef] [Green Version]
- Gao, J.; Yuan, Y.; Wang, Q. Feature-aware adaptation and density alignment for crowd counting in video surveillance. IEEE Trans. Cybern. 2020, 51, 4822–4833. [Google Scholar] [CrossRef] [PubMed]
- Marsden, M.; McGuinness, K.; Little, S.; O’Connor, N.E. Fully convolutional crowd counting on highly congested scenes. arXiv 2016, arXiv:1612.00220. [Google Scholar]
- Ding, X.; Lin, Z.; He, F.; Wang, Y.; Huang, Y. A deeply-recursive convolutional network for crowd counting. In Proceedings of the 2018 IEEE International Conference on Acoustics, Speech and Signal Processing (ICASSP), Calgary, AB, Canada, 15–20 April 2018; IEEE: Piscataway, NJ, USA, 2018; pp. 1942–1946. [Google Scholar]
- Marsden, M.; McGuinness, K.; Little, S.; O’Connor, N.E. Resnetcrowd: A residual deep learning architecture for crowd counting, violent behavior detection and crowd density level classification. In Proceedings of the 2017 14th IEEE International Conference on Advanced Video and Signal Based Surveillance (AVSS), Lecce, Italy, 29 August–1 September 2017; IEEE: Piscataway, NJ, USA, 2017; pp. 1–7. [Google Scholar]
- Pan, X.; Mo, H.; Zhou, Z.; Wu, W. Attention guided region division for crowd counting. In Proceedings of the ICASSP 2020—2020 IEEE International Conference on Acoustics, Speech and Signal Processing (ICASSP), Barcelona, Spain, 4–8 May 2020; IEEE: Piscataway, NJ, USA, 2020; pp. 2568–2572. [Google Scholar]
- Dalal, N.; Triggs, B. Histograms of oriented gradients for human detection. In Proceedings of the 2005 IEEE Computer Society Conference on Computer Vision and Pattern Recognition (CVPR’05), San Diego, CA, USA, 20–26 June 2005; IEEE: Piscataway, NJ, USA, 2005; Volume 1, pp. 886–893. [Google Scholar]
- Leibe, B.; Seemann, E.; Schiele, B. Pedestrian detection in crowded scenes. In Proceedings of the 2005 IEEE Computer Society Conference on Computer Vision and Pattern Recognition (CVPR’05), San Diego, CA, USA, 20–26 June 2005; IEEE: Piscataway, NJ, USA, 2005; Volume 1, pp. 878–885. [Google Scholar]
- Tuzel, O.; Porikli, F.; Meer, P. Pedestrian detection via classification on riemannian manifolds. IEEE Trans. Pattern Anal. Mach. Intell. 2008, 30, 1713–1727. [Google Scholar] [CrossRef] [PubMed]
- Felzenszwalb, P.F.; Girshick, R.B.; McAllester, D.; Ramanan, D. Object detection with discriminatively trained part-based models. IEEE Trans. Pattern Anal. Mach. Intell. 2009, 32, 1627–1645. [Google Scholar] [CrossRef] [PubMed] [Green Version]
- Lin, S.F.; Chen, J.Y.; Chao, H.X. Estimation of number of people in crowded scenes using perspective transformation. IEEE Trans. Syst. Man Cybern. Part A Syst. Hum. 2001, 31, 645–654. [Google Scholar]
- Zhao, T.; Nevatia, R.; Wu, B. Segmentation and tracking of multiple humans in crowded environments. IEEE Trans. Pattern Anal. Mach. Intell. 2008, 30, 1198–1211. [Google Scholar] [CrossRef]
- Ge, W.; Collins, R.T. Marked point processes for crowd counting. In Proceedings of the 2009 IEEE Conference on Computer Vision and Pattern Recognition, Miami, FL, USA, 20–25 June 2009; IEEE: Piscataway, NJ, USA, 2009; pp. 2913–2920. [Google Scholar]
- Yang, D.B.; González-Banos, H.H.; Guibas, L.J. Counting People in Crowds with a Real-Time Network of Simple Image Sensors. In Proceedings of the Ninth IEEE International Conference on Computer Vision, Nice, France, 13–16 October 2003; Volume 3, p. 122. [Google Scholar]
- Wang, M.; Li, W.; Wang, X. Transferring a generic pedestrian detector towards specific scenes. In Proceedings of the 2012 IEEE Conference on Computer Vision and Pattern Recognition, Providence, RI, USA, 16–21 June 2012; IEEE: Piscataway, NJ, USA, 2012; pp. 3274–3281. [Google Scholar]
- Wang, M.; Wang, X. Automatic adaptation of a generic pedestrian detector to a specific traffic scene. In Proceedings of the CVPR 2011, Colorado Springs, CO, USA, 20–25 June 2011; IEEE: Piscataway, NJ, USA, 2011; pp. 3401–3408. [Google Scholar]
- Chan, A.B.; Liang, Z.S.J.; Vasconcelos, N. Privacy preserving crowd monitoring: Counting people without people models or tracking. In Proceedings of the 2008 IEEE Conference on Computer Vision and Pattern Recognition, Anchorage, Alaska, 23–28 June 2008; IEEE: Piscataway, NJ, USA, 2008; pp. 1–7. [Google Scholar]
- Shehzed, A.; Jalal, A.; Kim, K. Multi-person tracking in smart surveillance system for crowd counting and normal/abnormal events detection. In Proceedings of the 2019 International Conference on Applied and Engineering Mathematics (ICAEM), Taxila, Pakistan, 27–29 August 2019; IEEE: Piscataway, NJ, USA, 2019; pp. 163–168. [Google Scholar]
- Iqbal, M.S.; Ahmad, I.; Bin, L.; Khan, S.; Rodrigues, J.J. Deep learning recognition of diseased and normal cell representation. Trans. Emerg. Telecommun. Technol. 2021, 32, e4017. [Google Scholar] [CrossRef]
- Iqbal, M.S.; El-Ashram, S.; Hussain, S.; Khan, T.; Huang, S.; Mehmood, R.; Luo, B. Efficient cell classification of mitochondrial images by using deep learning. J. Opt. 2019, 48, 113–122. [Google Scholar] [CrossRef]
- Wang, C.; Zhang, H.; Yang, L.; Liu, S.; Cao, X. Deep people counting in extremely dense crowds. In Proceedings of the 23rd ACM International Conference on Multimedia, Brisbane, Australia, 26–30 October 2015; pp. 1299–1302. [Google Scholar]
- Fu, M.; Xu, P.; Li, X.; Liu, Q.; Ye, M.; Zhu, C. Fast crowd density estimation with convolutional neural networks. Eng. Appl. Artif. Intell. 2015, 43, 81–88. [Google Scholar] [CrossRef]
- Zhang, Y.; Zhou, D.; Chen, S.; Gao, S.; Ma, Y. Single-image crowd counting via multi-column convolutional neural network. In Proceedings of the IEEE Conference on Computer Vision and Pattern Recognition, Las Vegas, NV, USA, 27–30 June 2016; pp. 589–597. [Google Scholar]
- Boominathan, L.; Kruthiventi, S.S.; Babu, R.V. Crowdnet: A deep convolutional network for dense crowd counting. In Proceedings of the 24th ACM International Conference on Multimedia, Amsterdam, The Netherlands, 15–19 October 2016; pp. 640–644. [Google Scholar]
- Zhang, A.; Shen, J.; Xiao, Z.; Zhu, F.; Zhen, X.; Cao, X.; Shao, L. Relational attention network for crowd counting. In Proceedings of the IEEE/CVF International Conference on Computer Vision, Seoul, Korea, 27 October–2 November 2019; pp. 6788–6797. [Google Scholar]
- Zhang, L.; Shi, M.; Chen, Q. Crowd counting via scale-adaptive convolutional neural network. In Proceedings of the 2018 IEEE Winter Conference on Applications of Computer Vision (WACV), Lake Tahoe, NV, USA, 12–15 March 2018; IEEE: Piscataway, NJ, USA, 2018; pp. 1113–1121. [Google Scholar]
- Li, Y.; Zhang, X.; Chen, D. Csrnet: Dilated convolutional neural networks for understanding the highly congested scenes. In Proceedings of the IEEE Conference on Computer Vision and Pattern Recognition, Salt Lake City, UT, USA, 18–22 June 2018; pp. 1091–1100. [Google Scholar]
- Jiang, X.; Xiao, Z.; Zhang, B.; Zhen, X.; Cao, X.; Doermann, D.; Shao, L. Crowd counting and density estimation by trellis encoder-decoder networks. In Proceedings of the IEEE/CVF Conference on Computer Vision and Pattern Recognition, Long Beach, CA, USA, 15–20 June 2019; pp. 6133–6142. [Google Scholar]
- Shi, Z.; Zhang, L.; Liu, Y.; Cao, X.; Ye, Y.; Cheng, M.M.; Zheng, G. Crowd counting with deep negative correlation learning. In Proceedings of the IEEE Conference on Computer Vision and Pattern Recognition, Salt Lake City, UT, USA, 18–22 June 2018; pp. 5382–5390. [Google Scholar]
- Wang, B.; Cao, G.; Shang, Y.; Zhou, L.; Zhang, Y.; Li, X. Single-column CNN for crowd counting with pixel-wise attention mechanism. Neural Comput. Appl. 2020, 32, 2897–2908. [Google Scholar] [CrossRef]
- Loy, C.C.; Chen, K.; Gong, S.; Xiang, T. Crowd counting and profiling: Methodology and evaluation. In Modeling, Simulation and Visual Analysis of Crowds; Springer: Berlin/Heidelberg, Germany, 2013; pp. 347–382. [Google Scholar]
- Kong, D.; Gray, D.; Tao, H. A viewpoint invariant approach for crowd counting. In Proceedings of the 18th International Conference on Pattern Recognition (ICPR’06), Hong Kong, China, 20–24 August 2006; IEEE: Piscataway, NJ, USA, 2006; Volume 3, pp. 1187–1190. [Google Scholar]
- Song, X.; Long, M.; Fang, Y.; Chen, L.; Shang, M. Switching Detection and Density Regression Network for Crowd Counting. In Proceedings of the 2021 IEEE 5th Advanced Information Technology, Electronic and Automation Control Conference (IAEAC), Chongqing, China, 12–14 March 2021; IEEE: Piscataway, NJ, USA, 2021; Volume 5, pp. 703–709. [Google Scholar]
- Menon, A.; Omman, B.; Asha, S. Pedestrian Counting Using Yolo V3. In Proceedings of the 2021 International Conference on Innovative Trends in Information Technology (ICITIIT), Kottayam, India, 11–12 February 2021; IEEE: Piscataway, NJ, USA, 2021; pp. 1–9. [Google Scholar]
- Gall, J.; Yao, A.; Razavi, N.; Van Gool, L.; Lempitsky, V. Hough forests for object detection, tracking, and action recognition. IEEE Trans. Pattern Anal. Mach. Intell. 2011, 33, 2188–2202. [Google Scholar] [CrossRef] [PubMed]
- Li, M.; Zhang, Z.; Huang, K.; Tan, T. Estimating the number of people in crowded scenes by mid based foreground segmentation and head-shoulder detection. In Proceedings of the 2008 19th International Conference on Pattern Recognition, Tampa, FL, USA, 8–11 December 2008; IEEE: Piscataway, NJ, USA, 2008; pp. 1–4. [Google Scholar]
- Subburaman, V.B.; Descamps, A.; Carincotte, C. Counting people in the crowd using a generic head detector. In Proceedings of the 2012 IEEE Ninth International Conference on Advanced Video and Signal-Based Surveillance, Beijing, China, 18–21 September 2012; IEEE: Piscataway, NJ, USA, 2012; pp. 470–475. [Google Scholar]
- Chen, K.; Loy, C.C.; Gong, S.; Xiang, T. Feature mining for localised crowd counting. Bmvc 2012, 1, 3. [Google Scholar]
- Marana, A.; Costa, L.d.F.; Lotufo, R.; Velastin, S. On the efficacy of texture analysis for crowd monitoring. In Proceedings of the SIBGRAPI’98. International Symposium on Computer Graphics, Image Processing, and Vision (Cat. No. 98EX237), Rio de Janeiro, Brazil, 20–23 October 1998; IEEE: Piscataway, NJ, USA, 1998; pp. 354–361. [Google Scholar]
- Ryan, D.; Denman, S.; Fookes, C.; Sridharan, S. Crowd counting using multiple local features. In Proceedings of the 2009 Digital Image Computing: Techniques and Applications, Melbourne, Australia, 1–3 December 2009; IEEE: Piscataway, NJ, USA, 2009; pp. 81–88. [Google Scholar]
- Paragios, N.; Ramesh, V. A MRF-based approach for real-time subway monitoring. In Proceedings of the 2001 IEEE Computer Society Conference on Computer Vision and Pattern Recognition. CVPR 2001, Kauai, HI, USA, 8–14 December 2001; IEEE: Piscataway, NJ, USA, 2001; Volume 1, p. I. [Google Scholar]
- Tian, Y.; Sigal, L.; Badino, H.; Torre, F.D.l.; Liu, Y. Latent gaussian mixture regression for human pose estimation. In Proceedings of the Asian Conference on Computer Vision, Queenstown, New Zealand, 8–12 November 2010; Springer: Berlin/Heidelberg, Germany, 2010; pp. 679–690. [Google Scholar]
- Idrees, H.; Saleemi, I.; Seibert, C.; Shah, M. Multi-source multi-scale counting in extremely dense crowd images. In Proceedings of the IEEE Conference on Computer Vision and Pattern Recognition, Portland, OR, USA, 23–28 June 2013; pp. 2547–2554. [Google Scholar]
- Chan, A.B.; Vasconcelos, N. Counting people with low-level features and Bayesian regression. IEEE Trans. Image Process. 2011, 21, 2160–2177. [Google Scholar] [CrossRef] [PubMed] [Green Version]
- Benabbas, Y.; Ihaddadene, N.; Yahiaoui, T.; Urruty, T.; Djeraba, C. Spatio-temporal optical flow analysis for people counting. In Proceedings of the 2010 7th IEEE International Conference on Advanced Video and Signal Based Surveillance, Boston, MA, USA, 29 August–1 September 2010; IEEE: Piscataway, NJ, USA, 2010; pp. 212–217. [Google Scholar]
- Lin, T.Y.; Lin, Y.Y.; Weng, M.F.; Wang, Y.C.; Hsu, Y.F.; Liao, H.Y.M. Cross camera people counting with perspective estimation and occlusion handling. In Proceedings of the 2011 IEEE International Workshop on Information Forensics and Security, Iguacu Falls, Brazil, 29 November–2 December 2011; IEEE: Piscataway, NJ, USA, 2011; pp. 1–6. [Google Scholar]
- Regazzoni, C.S.; Tesei, A. Distributed data fusion for real-time crowding estimation. Signal Process. 1996, 53, 47–63. [Google Scholar] [CrossRef]
- Rabaud, V.; Belongie, S. Counting crowded moving objects. In Proceedings of the 2006 IEEE Computer Society Conference on Computer Vision and Pattern Recognition (CVPR’06), New York, NY, USA, 17–22 June 2006; IEEE: Piscataway, NJ, USA, 2006; Volume 1, pp. 705–711. [Google Scholar]
- Saleh, S.A.M.; Suandi, S.A.; Ibrahim, H. Recent survey on crowd density estimation and counting for visual surveillance. Eng. Appl. Artif. Intell. 2015, 41, 103–114. [Google Scholar] [CrossRef]
- Brostow, G.J.; Cipolla, R. Unsupervised bayesian detection of independent motion in crowds. In Proceedings of the 2006 IEEE Computer Society Conference on Computer Vision and Pattern Recognition (CVPR’06), New York, NY, USA, 17–22 June 2006; IEEE: Piscataway, NJ, USA, 2006; Volume 1, pp. 594–601. [Google Scholar]
- Rao, A.S.; Gubbi, J.; Marusic, S.; Palaniswami, M. Estimation of crowd density by clustering motion cues. Vis. Comput. 2015, 31, 1533–1552. [Google Scholar] [CrossRef]
- Antonini, G.; Thiran, J. Trajectories Clustering in ICA Space: An Application to Automatic Counting of Pedestrians in Video Sequences; Technical Report; IEEE: Piscataway, NJ, USA, 2004. [Google Scholar]
- O’Shea, K.; Nash, R. An introduction to convolutional neural networks. arXiv 2015, arXiv:1511.08458. [Google Scholar]
- Albawi, S.; Mohammed, T.A.; Al-Zawi, S. Understanding of a convolutional neural network. In Proceedings of the 2017 International Conference on Engineering and Technology (ICET), Antalya, Turkey, 21–23 August 2017; IEEE: Piscataway, NJ, USA, 2017; pp. 1–6. [Google Scholar]
- Hossain, M.A.; Sajib, M.S.A. Classification of image using convolutional neural network (CNN). Glob. J. Comput. Sci. Technol. 2019, 19, 2-D. [Google Scholar] [CrossRef]
- Gu, H.; Wang, Y.; Hong, S.; Gui, G. Blind channel identification aided generalized automatic modulation recognition based on deep learning. IEEE Access 2019, 7, 110722–110729. [Google Scholar] [CrossRef]
- Xia, Y.; He, Y.; Peng, S.; Yang, Q.; Yin, B. CFFNet: Coordinated feature fusion network for crowd counting. Image Vis. Comput. 2021, 112, 104242. [Google Scholar] [CrossRef]
- Yang, B.; Cao, J.; Wang, N.; Zhang, Y.; Zou, L. Counting challenging crowds robustly using a multi-column multi-task convolutional neural network. Signal Process. Image Commun. 2018, 64, 118–129. [Google Scholar] [CrossRef]
- Zhang, C.; Li, H.; Wang, X.; Yang, X. Cross-scene crowd counting via deep convolutional neural networks. In Proceedings of the IEEE Conference on Computer Vision and Pattern Recognition, Boston, MA, USA, 7–12 June 2015; pp. 833–841. [Google Scholar]
- Idrees, H.; Tayyab, M.; Athrey, K.; Zhang, D.; Al-Maadeed, S.; Rajpoot, N.; Shah, M. Composition loss for counting, density map estimation and localization in dense crowds. In Proceedings of the European Conference on Computer Vision (ECCV), Munich, Germany, 8–14 September 2018; pp. 532–546. [Google Scholar]
- Zeng, L.; Xu, X.; Cai, B.; Qiu, S.; Zhang, T. Multi-scale convolutional neural networks for crowd counting. In Proceedings of the 2017 IEEE International Conference on Image Processing (ICIP), Beijing, China, 17–20 September 2017; IEEE: Piscataway, NJ, USA, 2017; pp. 465–469. [Google Scholar]
- Xiong, F.; Shi, X.; Yeung, D.Y. Spatiotemporal modeling for crowd counting in videos. In Proceedings of the IEEE International Conference on Computer Vision, Venice, Italy, 22–29 October 2017; pp. 5151–5159. [Google Scholar]
- Liu, J.; Gao, C.; Meng, D.; Hauptmann, A.G. Decidenet: Counting varying density crowds through attention guided detection and density estimation. In Proceedings of the IEEE Conference on Computer Vision and Pattern Recognition, Salt Lake City, UT, USA, 18–22 June 2018; pp. 5197–5206. [Google Scholar]
- Shi, M.; Yang, Z.; Xu, C.; Chen, Q. Revisiting perspective information for efficient crowd counting. In Proceedings of the IEEE/CVF Conference on Computer Vision and Pattern Recognition, Long Beach, CA, USA, 15–20 June 2019; pp. 7279–7288. [Google Scholar]
- Hossain, M.; Hosseinzadeh, M.; Chanda, O.; Wang, Y. Crowd counting using scale-aware attention networks. In Proceedings of the 2019 IEEE Winter Conference on Applications of Computer Vision (WACV), Waikoloa Village, HI, USA, 7–11 January 2019; IEEE: Piscataway, NJ, USA, 2019; pp. 1280–1288. [Google Scholar]
- Yan, Z.; Yuan, Y.; Zuo, W.; Tan, X.; Wang, Y.; Wen, S.; Ding, E. Perspective-guided convolution networks for crowd counting. In Proceedings of the IEEE/CVF International Conference on Computer Vision, Seoul, Korea, 27 October–2 November 2019; pp. 952–961. [Google Scholar]
- Bai, S.; He, Z.; Qiao, Y.; Hu, H.; Wu, W.; Yan, J. Adaptive dilated network with self-correction supervision for counting. In Proceedings of the IEEE/CVF Conference on Computer Vision and Pattern Recognition, Seattle, WA, USA, 13–19 June 2020; pp. 4594–4603. [Google Scholar]
- Song, Q.; Wang, C.; Wang, Y.; Tai, Y.; Wang, C.; Li, J.; Wu, J.; Ma, J. To choose or to fuse? Scale selection for crowd counting. In Proceedings of the AAAI Conference on Artificial Intelligence, Virtual, 2–9 February 2021; Volume 35, pp. 2576–2583. [Google Scholar]






| Method | Global Features | Regression Model | Dataset(s) |
|---|---|---|---|
| [44] | Segment, internal edge, texture | Gaussian | Peds1, Peds2 |
| [45] | Segment, motion | Linear regression | PETS2009 |
| [46] | Segment, edge, gradient | Gaussian | UCSD pedestrian, Pets 2009 |
| [38] | Segment, edge, texture | Kernel ridge regression | UCSD, Mall |
| [47] | Edge | Linear regression | Internal data (2000 images, number of people per image: from 3 to 27 people) |
| Actions | Parameters | Input | Output | |
|---|---|---|---|---|
| Convolutional layer |
|
|
|
|
| Pooling layer |
|
|
|
|
| Fully connected layer |
|
|
|
|
| Disadvantages | Advantages | |
|---|---|---|
| Detection methods | They do not perform well on crowded images as most of the target objects are not clearly visible. | They work well for detecting faces, especially for sparse datasets. |
| Regression methods | They always ignore spatial information. | These methods are successful in dealing with problems of occlusion and background clutter. |
| Clustering methods |
| Joint evaluation of different hypotheses is unnecessary because trajectories of trucked features are unique. |
| Basic CNN | Trained using perspective maps of images that are not always available. | A light network that can automatically learn the effective features for training. |
| Multi-column CNN |
| Address the scale variation problem for crowd counting thanks to the use of multi-branches with different receptive field sizes. |
| Single-column CNN | Complex architecture for methods using encoding-decoding blocks such as TedNet. | Rather than the bloated structure of multi-column network architecture, deploys single and more profound CNNs without increasing the complexity of the network. |
| Methods | Year | Sparse | Crowded | ||||||||||||
|---|---|---|---|---|---|---|---|---|---|---|---|---|---|---|---|
| UCSD | Mall | ShanghaiTech Part B * | ShanghaiTech Part A | UCF CC 50 | WorldExpo’10 | UCF-QNRF | |||||||||
| MAE | MSE | MAE | MSE | MAE | MSE | MAE | MSE | MAE | MSE | MAE | MSE | MAE | MSE | ||
| MORR [38] | 2012 | 2.29 | 8.08 | 3.15 | 15.7 | - | - | - | - | - | - | - | - | - | - |
| Clustering motion cues [51] | 2014 | 2.97 | - | - | - | - | - | - | - | - | - | - | - | - | - |
| MCNN [23] | 2016 | 1.07 | 1.35 | - | - | 26.4 | 41.3 | 110.2 | 173.2 | 377.6 | 509.1 | 11.6 | - | 277 | 426 |
| CrowdNet [24] | 2016 | - | - | - | - | - | - | - | - | 452.5 | - | - | - | - | - |
| MSCNN [61] | 2017 | - | - | - | - | 17.7 | 30.2 | 83.8 | 127.4 | 363.7 | 468.4 | 11.7 | - | - | - |
| ConvLSTM-nt [62] | 2017 | 1.73 | 3.52 | 2.53 | 11.2 | - | - | - | - | 284.5 | 297.1 | 11.9 | - | - | - |
| CSRNet [27] | 2018 | 1.16 | 1.47 | - | - | 10.6 | 16.0 | 68.2 | 115.0 | 266.1 | 397.5 | 8.6 | - | - | - |
| D-ConvNet [29] | 2018 | - | - | - | - | 18.7 | 26.0 | 73.5 | 112.3 | 288.4 | 404.7 | 9.1 | - | - | - |
| SaCNN [26] | 2018 | - | - | - | - | 16.2 | 25.8 | 86.8 | 139.2 | 314.9 | 424.8 | 8.5 | - | - | - |
| CNN with pixel-wise [30] | 2018 | - | - | - | - | 10.0 | 16.5 | 72.3 | 116.2 | - | - | 8.8 | - | - | - |
| DecideNet [63] | 2018 | - | - | 1.52 | 1.90 | 21.53 | 31.98 | - | - | - | - | 9.23 | - | - | - |
| RANet [25] | 2019 | - | - | - | - | 7.9 | 12.9 | 59.4 | 102.0 | 239.8 | 319.4 | - | - | 111 | 190 |
| TedNet [28] | 2019 | - | - | - | - | 8.2 | 12.8 | 64.2 | 109.1 | 249.4 | 354.5 | 8.0 | - | 113 | 188 |
| PaCNN [64] | 2019 | 0.89 | 1.18 | 8.9 | 13.5 | 66.3 | 106.4 | 267.9 | 357.8 | 7.8 | |||||
| SAAN [65] | 2019 | - | - | 1.28 | 1.68 | - | - | - | - | - | - | - | - | - | - |
| PGCNet [66] | 2019 | - | - | - | - | 8.8 | 13.7 | 57.0 | 86.0 | - | - | 8.1 | - | - | - |
| ADSCNet [67] | 2020 | - | - | - | - | 6.4 | 11.3 | 55.4 | 97.7 | - | - | - | - | 71.3 | 132.5 |
| SASNet [68] | 2021 | - | - | - | - | 6.35 | 9.9 | 53.59 | 88.38 | 161.4 | 234.46 | 5.71 | - | 85.2 | 147.3 |
Publisher’s Note: MDPI stays neutral with regard to jurisdictional claims in published maps and institutional affiliations. |
© 2022 by the authors. Licensee MDPI, Basel, Switzerland. This article is an open access article distributed under the terms and conditions of the Creative Commons Attribution (CC BY) license (https://creativecommons.org/licenses/by/4.0/).
Share and Cite
Hassen, K.B.A.; Machado, J.J.M.; Tavares, J.M.R.S. Convolutional Neural Networks and Heuristic Methods for Crowd Counting: A Systematic Review. Sensors 2022, 22, 5286. https://doi.org/10.3390/s22145286
Hassen KBA, Machado JJM, Tavares JMRS. Convolutional Neural Networks and Heuristic Methods for Crowd Counting: A Systematic Review. Sensors. 2022; 22(14):5286. https://doi.org/10.3390/s22145286
Chicago/Turabian StyleHassen, Khouloud Ben Ali, José J. M. Machado, and João Manuel R. S. Tavares. 2022. "Convolutional Neural Networks and Heuristic Methods for Crowd Counting: A Systematic Review" Sensors 22, no. 14: 5286. https://doi.org/10.3390/s22145286
APA StyleHassen, K. B. A., Machado, J. J. M., & Tavares, J. M. R. S. (2022). Convolutional Neural Networks and Heuristic Methods for Crowd Counting: A Systematic Review. Sensors, 22(14), 5286. https://doi.org/10.3390/s22145286

