UAV Path Planning Algorithm Based on Improved Harris Hawks Optimization
Abstract
:1. Introduction
2. Modeling and Constraints
2.1. Environmental Modeling
2.2. Path Cost Function
2.3. Path Constraints
- Constraint on Minimum Path
- Constraint on Maximum Path
- Constraint on Minimum Ground Clearance
- Constraint on Maximum Turning Angle
- Constraint on Maximum Climb Angle
3. UAV Path Planning Algorithm Based on SCHHO
3.1. Overview of Basic HHO
3.1.1. Global Exploration
3.1.2. Local Exploitation
- A.
- Soft besiege
- B.
- Hard besiege
- C.
- Soft besiege with progressive rapid dives
- D.
- Hard besiege with progressive rapid dives
3.2. Improved Sine-Cosine and Cauchy Combined HHO
3.2.1. Cauchy Mutation Strategy
3.2.2. Adaptive Weight
3.2.3. Sine-Cosine Algorithm
| Algorithm 1 SCHHO |
| Inputs: Population size N and maximum number of iterations T |
| Outputs: Location of prey and its value of fitness |
| Initialize the random population Xi (i = 1; 2; …; N) |
| While (t < T) Calculate the fitness value of Harris hawks; Set the parameter Xprey as the best position of the prey; for (each Harris hawks (Xi)) do Update the initial energy E0 and jump strength J using Equations (10) and (15); Update E using Equation (9); if (|E| ≥ 1) then // Exploration phase Update the location vector using Equations (11) and (22); if (|E| < 1) then // Exploitation phase if (u ≥ 0.5 and |E| ≥ 0.5) then // Soft besiege Update the location vector using Equation (13); if (u ≥ 0.5 and |E| < 0.5) then // Hard besiege Update the location vector using Equation (16); if (u < 0.5 and |E| ≥ 0.5) then // Soft besiege with progressive rapid dives Update the location vector using Equation (17); if (u < 0.5 and |E| < 0.5) then // Hard besiege with progressive rapid dives Update the location vector using Equation (20); end Update the location vector using Equation (24); end end end |
| Initialize the starting position of the search agents using the final position obtained by the Harris Hawks optimizer; |
| Do Evaluate each of the search agents using objective functions; Update the best fitness obtained so far; Update the random numbers r6, r7, r8 and r9; if (r9 < 0.5) Update the position of search agents using Equation (25); else Update the position of search agents using Equation (26); end While (t < T) Return the best optimal solution; Record the mean, best optimal solution and standard deviation. |
3.3. Path Planning Based on Improved SCHHO
- Step 1: preliminary modeling of a three-dimensional mountain environment.
- Step 2: initialize the population and parameters r1, r2, r3 and r4, and calculate the fitness value of each solution.
- Step 3: calculate the prey energy according to Equation (10). If |E| < 1, perform an exploration according to Equation (11) and perform Cauchy variation according to Equation (22) for the global optimal solution produced by Equation (11). If |E| ≥ 1, enter local exploitation and judge the besiege mechanisms according to the prey energy E and the prey escape probability u. In addition, update the prey position and perform local search according to the adaptive weight of Equation (24) and the corresponding besiege formula;
- Step 4: save the optimal position, perform SCA operation on the position according to Equations (25) and (26), and then change the global optimal position;
- Step 5: determine whether the number of iterations or iteration precision has been reached. If the number of iterations or iteration precision is not reached, the population and parameters are re-initialized, and the fitness value of each solution is calculated. If it is reached, the optimal path is output.
4. Experimental Results and Analysis
4.1. Experiment on Benchmark Functions
4.1.1. Parameter Settings
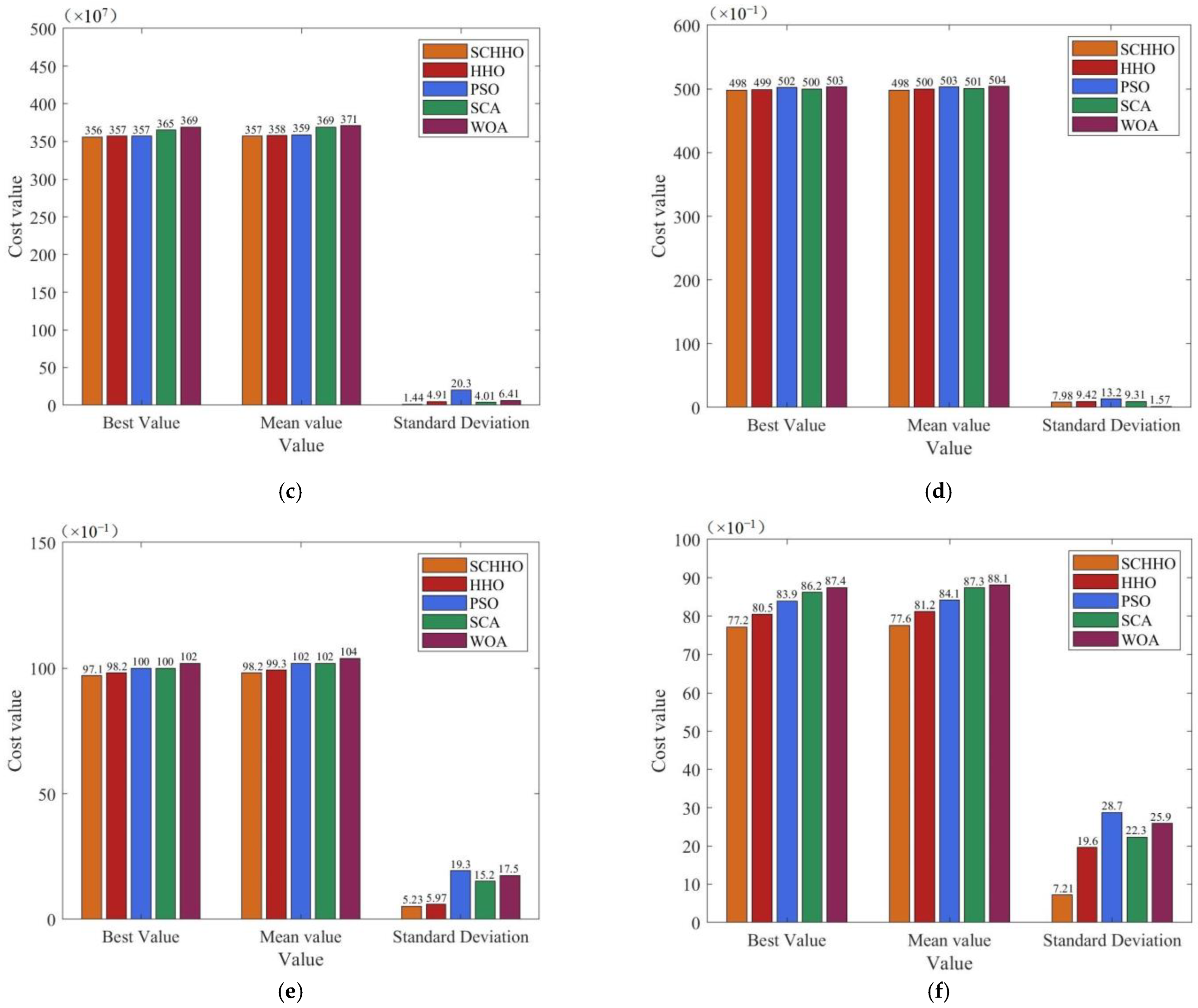
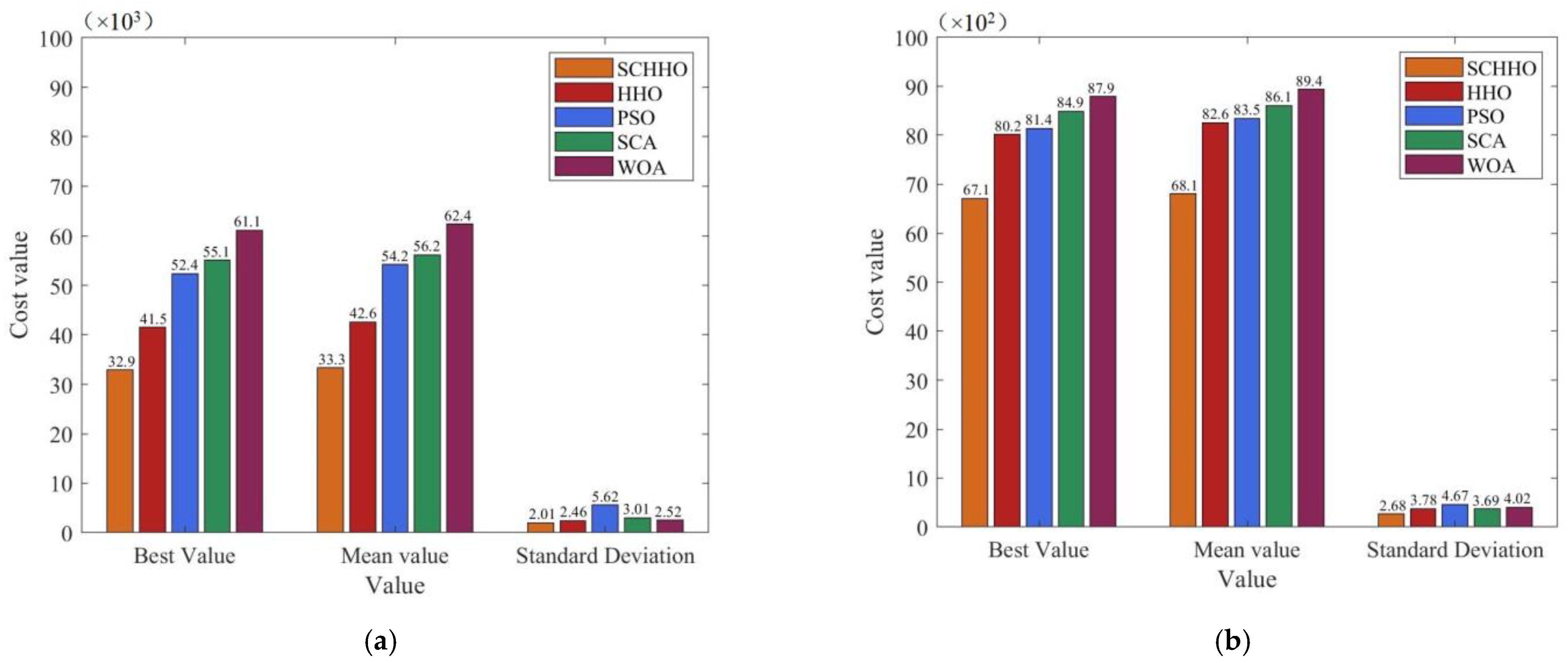
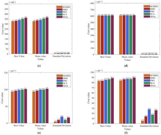
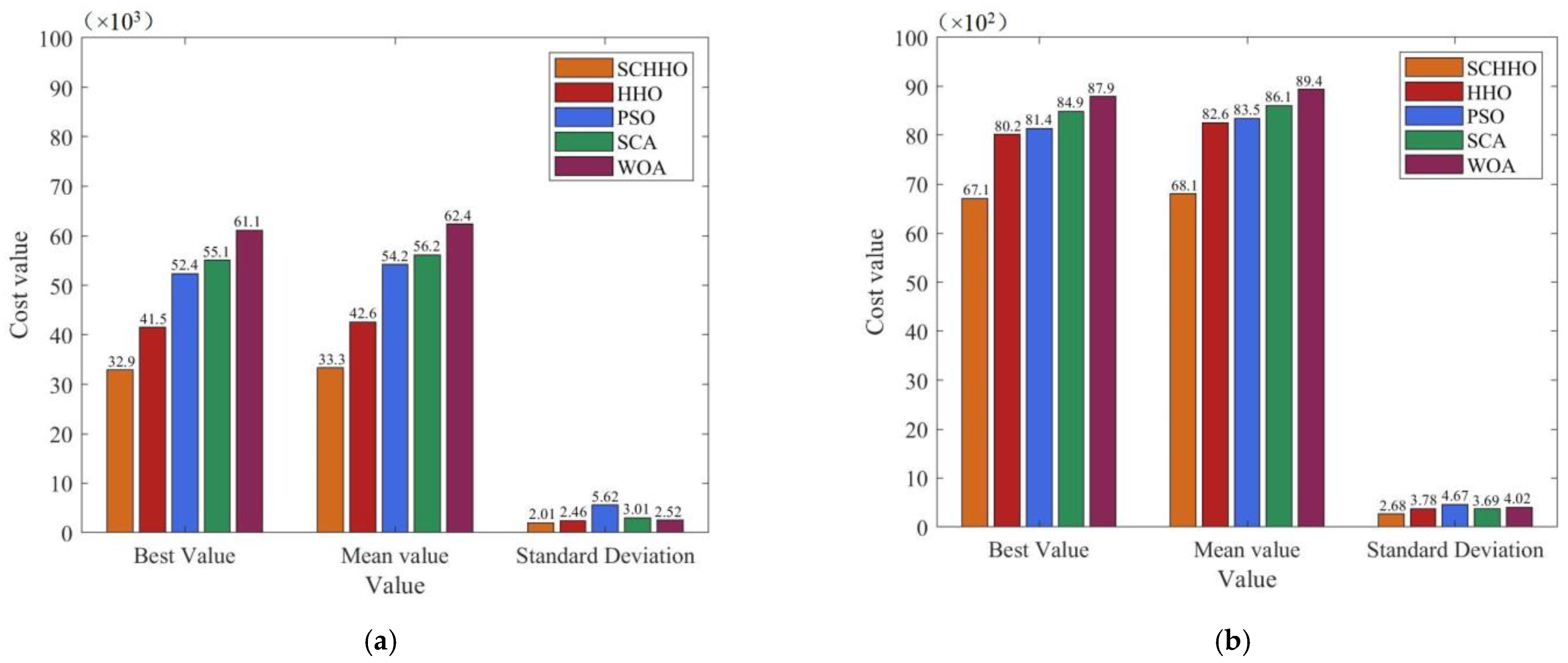
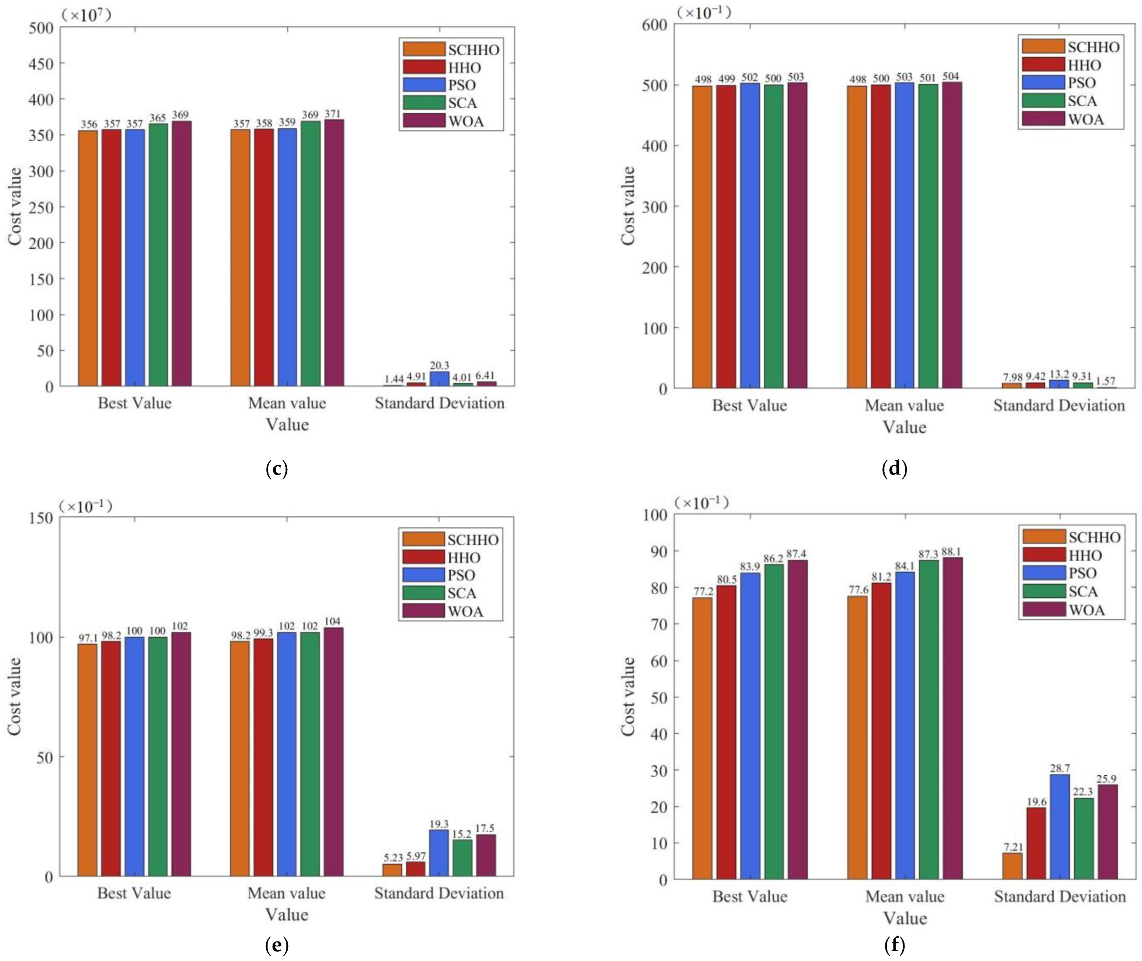
4.1.2. Results and Analysis
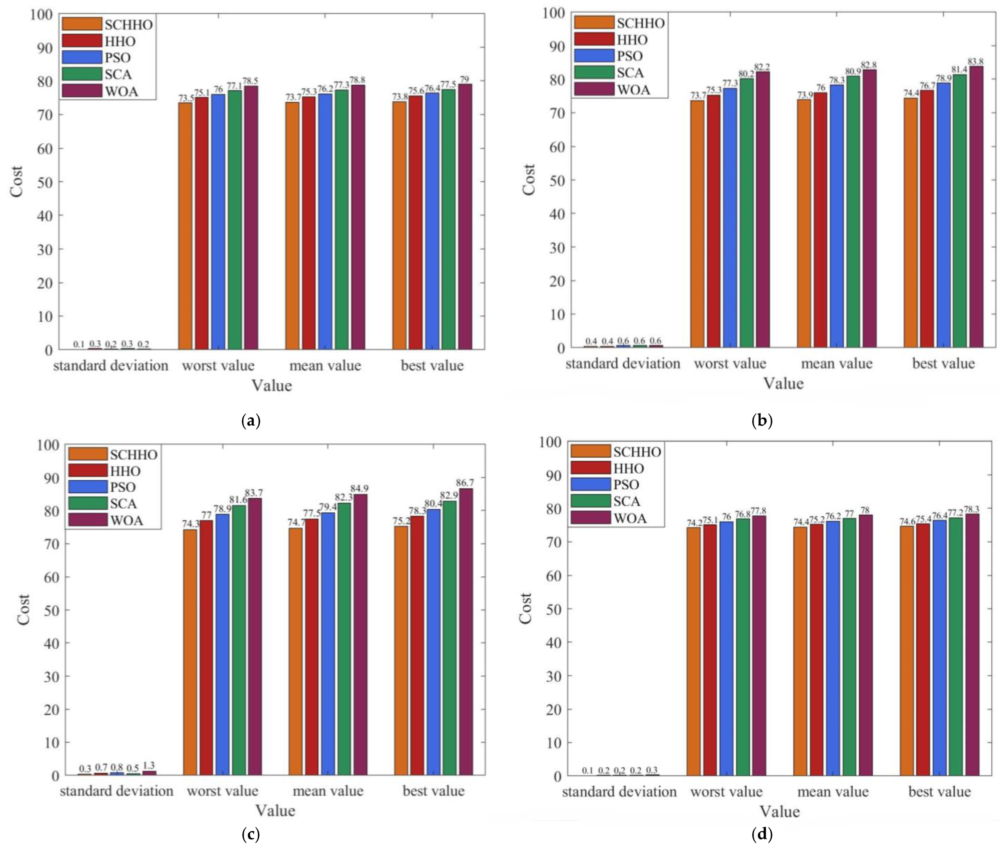
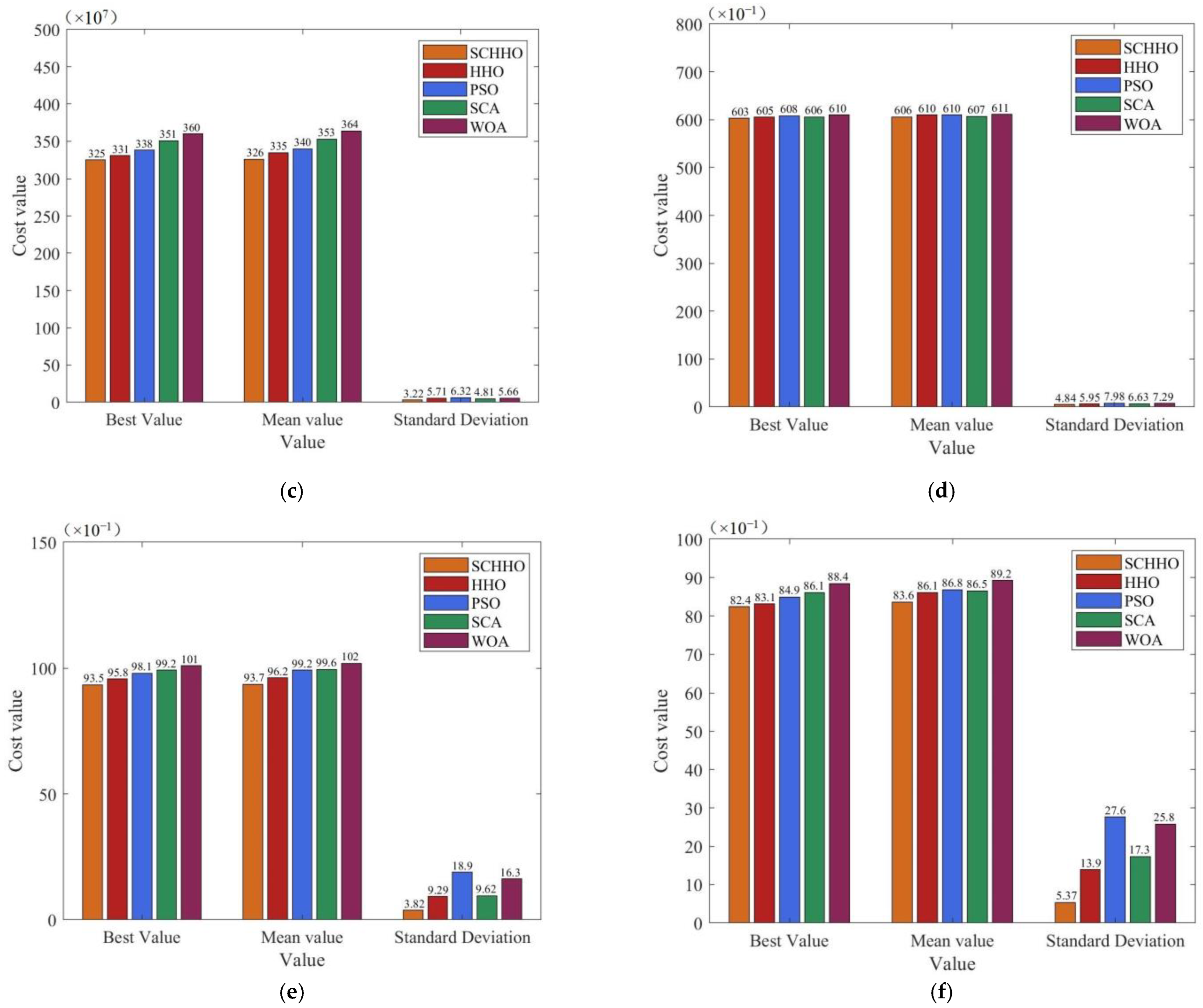
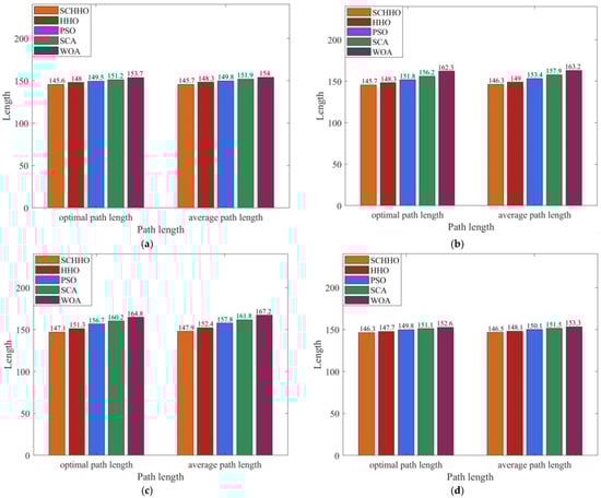
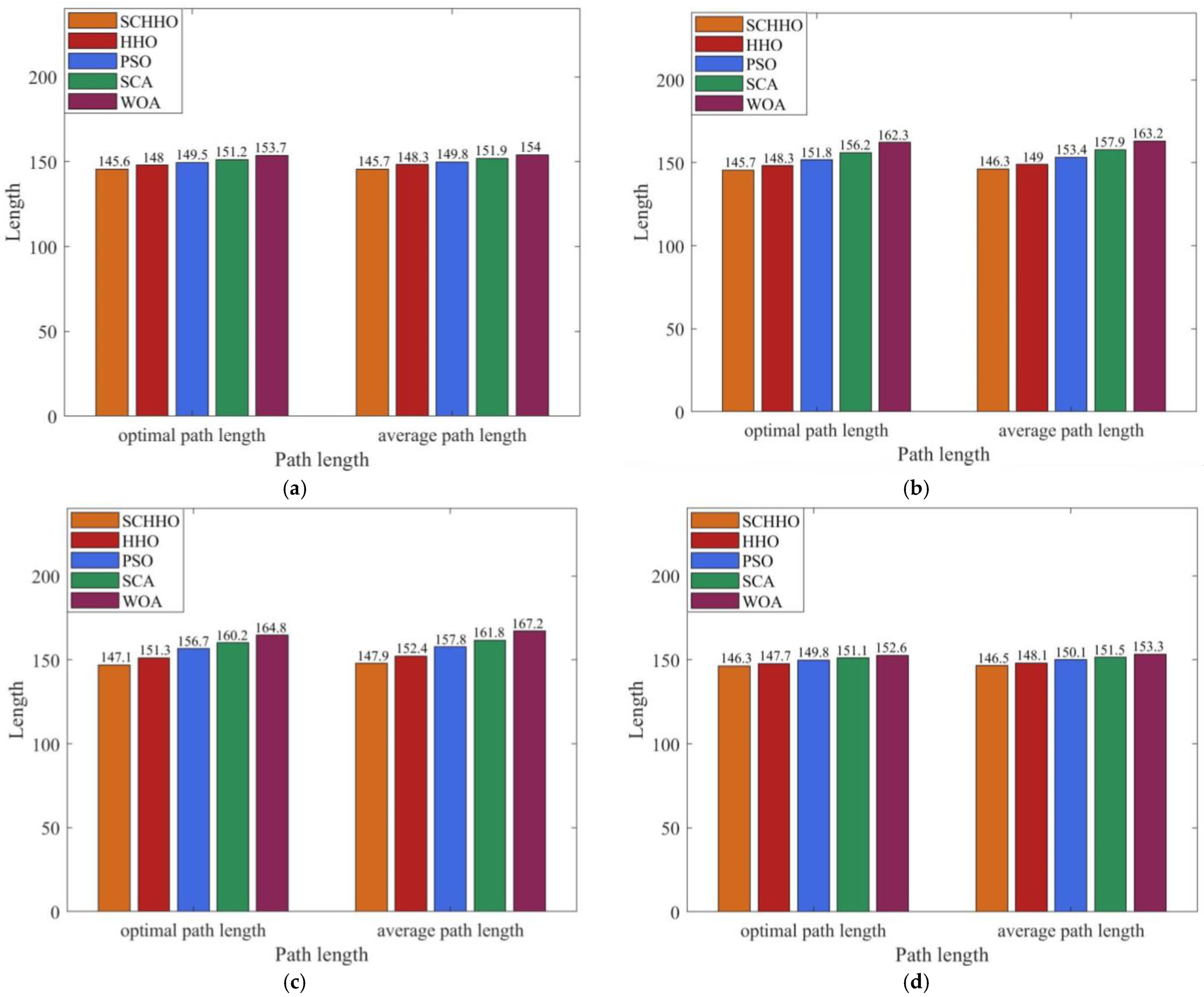
4.2. Experiment for Path Planning
5. Conclusions and Future Work
Author Contributions
Funding
Institutional Review Board Statement
Informed Consent Statement
Data Availability Statement
Conflicts of Interest
Appendix A




References
- Outay, F.; Mengash, H.; Adnan, M. Applications of unmanned aerial vehicle (UAV) in road safety, traffic and highway infrastructure management: Recent advances and challenges. Transp. Res. Part A Policy Pract. 2020, 141, 116–129. [Google Scholar] [CrossRef] [PubMed]
- Thibbotuwawa, A.; Bocewicz, G.; Radzki, G.; Nielsen, P.; Banaszak, Z. UAV mission planning resistant to weather uncertainty. Sensors 2020, 20, 515. [Google Scholar] [CrossRef] [PubMed] [Green Version]
- Cekmez, U.; Ozsiginan, M.; Sahingoz, O.K. Multi colony ant optimization for UAV path planning with obstacle avoidance. In Proceedings of the International Conference on Unmanned Aircraft Systems (ICUAS), Arlington, VA, USA, 7–10 June 2016; pp. 47–52. [Google Scholar]
- Głąbowski, M.; Musznicki, B.; Nowak, P.; Zwierzykowski, P. An algorithm for finding shortest path tree using ant colony optimization metaheuristic. Adv. Intell. Syst. Comput. 2014, 233, 317–326. [Google Scholar]
- Tang, J.; Liu, G.; Pan, Q. A review on representative swarm intelligence algorithms for solving optimization problems: Applications and trends. IEEE/CAA J. Autom. Sinica 2021, 8, 1627–1643. [Google Scholar] [CrossRef]
- Xin, Y.; Ding, M.; Zhou, C.; Chao, C.; Qi, Y.; Shuai, S. Fast on-ship route planning using improved sparse A-star algorithm for UAVs. Proc. SPIE Int. Soc. Opt. Eng. 2009, 7497, 749705–749713. [Google Scholar]
- Storn, R. Designing nonstandard filters with differential evolution. IEEE Signal Process. Mag. 2005, 22, 103–106. [Google Scholar] [CrossRef]
- Sven, P.; Dieter, R.; Jens, V. A generalization of Dijkstra’s shortest path algorithm with applications to VLSI routing. J. Discret. Algorithms 2009, 7, 377–390. [Google Scholar]
- Kurtuluş, E.; Yıldız, A.; Sait, S.; Bureerat, S. A novel hybrid Harris Hawks-simulated annealing algorithm and RBF-based metamodel for design optimization of highway guardrails. Mater. Test. 2020, 62, 251–260. [Google Scholar] [CrossRef]
- Bonabeau, E.; Meyer, C. Swarm intelligence. A whole new way to think about business. Harv. Bus. Rev. 2001, 79, 106–114. [Google Scholar]
- Shao, S.; Peng, Y.; He, C.; Du, Y. Efficient path planning for UAV formation via comprehensively improved particle swarm optimization. ISA Trans. 2020, 97, 415–430. [Google Scholar] [CrossRef]
- Tilahun, S.L.; Ngnotchouye, J.M.T. Firefly algorithm for discrete optimization problems: A survey. KSCE J. Civil Eng. 2017, 21, 535–545. [Google Scholar] [CrossRef]
- Liu, J.; Yang, J.; Liu, H.; Tian, X.; Gao, M. An improved ant colony algorithm for robot path planning. Soft Comput. 2017, 21, 5829–5839. [Google Scholar] [CrossRef]
- Chang, W.; Zeng, D.; Chen, R.; Guo, S. An artificial bee colony algorithm for data collection path planning in sparse wireless sensor networks. Int. J. Mach. Learn. Cybern. 2015, 6, 375–383. [Google Scholar] [CrossRef]
- Mirjalili, S.; Lewis, A. The whale optimization algorithm. Adv. Eng. Softw. 2016, 95, 51–67. [Google Scholar] [CrossRef]
- Ji, Y.; Zhao, X.; Hao, J. A novel UAV path planning algorithm based on double-dynamic biogeography-based learning particle swarm optimization. Mob. Inf. Syst. 2022, 2022, 8519708. [Google Scholar] [CrossRef]
- He, W.; Qi, X.; Liu, L. A novel hybrid particle swarm optimization for multi-UAV cooperate path planning. Appl. Intell. 2021, 51, 7350–7364. [Google Scholar] [CrossRef]
- Xia, S.; Zhang, X. Constrained path planning for unmanned aerial vehicle in 3D terrain using modified multi-objective particle swarm optimization. Actuators 2021, 10, 255. [Google Scholar] [CrossRef]
- Yu, W.; Liu, J.; Zhou, J. A novel sparrow particle swarm algorithm (SPSA) for unmanned aerial vehicle path planning. Sci. Program. 2021, 2021, 5158304. [Google Scholar] [CrossRef]
- Liu, H.; Ge, J.; Wang, Y.; Li, J.; Ding, K.; Zhang, Z.; Guo, Z.; Li, W.; Lan, J. Multi-UAV optimal mission assignment and path planning for disaster rescue using adaptive genetic algorithm and improved artificial bee colony method. Actuators 2022, 11, 4. [Google Scholar] [CrossRef]
- Zhang, W.; Zhang, S.; Wu, F.; Wang, Y. Path planning of UAV based on improved adaptive grey wolf optimization algorithm. IEEE Access 2021, 9, 89400–89411. [Google Scholar] [CrossRef]
- Liu, Q.; Zhang, Y.; Li, M.; Zhang, Z.; Cao, N.; Shang, J. Multi-UAV path planning based on fusion of sparrow search algorithm and improved bioinspired neural network. IEEE Access 2021, 9, 124670–124681. [Google Scholar] [CrossRef]
- Tong, B.; Chen, L.; Duan, H. A path planning method for UAVs based on multi-objective pigeon-inspired optimisation and differential evolution. Int. J. Bio-Inspired Comput. 2021, 17, 105–112. [Google Scholar] [CrossRef]
- Huo, L.; Zhu, J.; Li, Z.; Ma, M. A hybrid differential symbiotic organisms search algorithm for UAV path planning. Sensors 2021, 21, 3037. [Google Scholar] [CrossRef] [PubMed]
- Zhou, X.; Gao, F.; Fang, X.; Lan, Z. Improved bat algorithm for UAV path planning in three-dimensional space. IEEE Access 2021, 9, 20100–20116. [Google Scholar] [CrossRef]
- Heidari, A.A.; Mirjalili, S.; Faris, H.; Aljarah, L.; Mafarja, M.; Chen, H. Harris Hawks optimization: Algorithm and applications. Futur. Gener. Comput. Syst. 2019, 97, 849–872. [Google Scholar] [CrossRef]
- Guo, H.; Meng, X.; Liu, Y.; Liu, S. Improved HHO algorithm based on good point set and nonlinear convergence formula. J. China Univ. Posts Telecommun. 2021, 28, 48–67. [Google Scholar]
- Zhang, Y.; Zhou, X.; Shih, P.C. Modified Harris Hawks optimization algorithm for global optimization problems. Arab. J. Sci. Eng. 2020, 45, 10949–10974. [Google Scholar] [CrossRef]
- Kamboj, V.K.; Nandi, A.; Bhadoria, A.; Sehgal, S. An intensify Harris Hawks optimizer for numerical and engineering optimization problems. Appl. Soft Comput. 2020, 89, 106018. [Google Scholar] [CrossRef]
- Fan, Q.; Chen, Z.; Xia, Z. A novel quasi-reflected Harris Hawks optimization algorithm for global optimization problems. Soft Comput. 2020, 24, 14825–14843. [Google Scholar] [CrossRef]
- Zou, T.; Wang, C. Adaptive relative reflection Harris Hawks optimization for global optimization. Mathematics 2022, 10, 1145. [Google Scholar] [CrossRef]
- Hussien, A.G.; Amin, M. A self-adaptive Harris Hawks optimization algorithm with opposition-based learning and chaotic local search strategy for global optimization and feature selection. Int. J. Mach. Learn. Cybern. 2022, 13, 309–336. [Google Scholar] [CrossRef]
- Yang, Z.; Duan, H.; Fan, Y.; Deng, Y. Automatic carrier landing system multilayer parameter design based on Cauchy mutation pigeon-inspired optimization. Aerosp. Sci. Technol. 2018, 79, 518–530. [Google Scholar] [CrossRef]
- Dai, C.; Lei, X.; He, X. A decomposition-based evolutionary algorithm with adaptive weight adjustment for many-objective problems. Soft Comput. 2020, 24, 10597–10609. [Google Scholar] [CrossRef]
- Khalilpourazari, S.; Pasandideh, S.H.R. Sine-cosine crow search algorithm: Theory and applications. Neural Comput. Appl. 2020, 32, 7725–7742. [Google Scholar] [CrossRef]
- Alejandro, P.C.; Daniel, P.; Alejandro, P.; Enrique, F.B. A review of artificial intelligence applied to path planning in UAV swarms. Neural Comput. Appl. 2022, 34, 153–170. [Google Scholar]
- Liu, Y.; Cao, B. A novel ant colony optimization algorithm with levy flight. IEEE Access 2020, 8, 67205–67213. [Google Scholar] [CrossRef]















| Name | Coordinates | Radius |
|---|---|---|
| threat region 1 | (40,80,0) | 10/13/16 |
| threat region 2 | (60,30,0) | 10/13/16 |
| threat region 3 | (70,60,0) | 10/13/16 |
| threat region 4 | (100,30,0) | 10/13/16 |
| threat region 5 | (30,60,0) | 13 |
| threat region 6 | (50,35,0) | 13 |
| threat region 7 | (90,25,0) | 10 |
| threat region 8 | (110,50,0) | 16 |
| Parameter | Meaning | Value |
|---|---|---|
| ω1 | Weight coefficient of path length | 0.5 |
| ω2 | Weight coefficient of average flight height | 0.3 |
| ω3 | Weight coefficient of comprehensive threat index | 0.2 |
| T | Maximum iteration | 200 |
| N | Population size | 30 |
| D | Problem dimension | 30 |
| lmin | Minimum path | 130 |
| Lmax | Maximum path | 200 |
| hmin | Minimum Ground clearance | 5 |
| Maximum turning angle | 270 | |
| Maximum climb angle | 90 |
| Name | Definition | Domain | Minimum |
|---|---|---|---|
| Sphere | 0 | ||
| Schwefel 1.2 | 0 | ||
| Rosenbrock | 0 | ||
| Rastrigin | 0 | ||
| Ackley | 0 | ||
| Griewank | 0 |
Publisher’s Note: MDPI stays neutral with regard to jurisdictional claims in published maps and institutional affiliations. |
© 2022 by the authors. Licensee MDPI, Basel, Switzerland. This article is an open access article distributed under the terms and conditions of the Creative Commons Attribution (CC BY) license (https://creativecommons.org/licenses/by/4.0/).
Share and Cite
Zhang, R.; Li, S.; Ding, Y.; Qin, X.; Xia, Q. UAV Path Planning Algorithm Based on Improved Harris Hawks Optimization. Sensors 2022, 22, 5232. https://doi.org/10.3390/s22145232
Zhang R, Li S, Ding Y, Qin X, Xia Q. UAV Path Planning Algorithm Based on Improved Harris Hawks Optimization. Sensors. 2022; 22(14):5232. https://doi.org/10.3390/s22145232
Chicago/Turabian StyleZhang, Ran, Sen Li, Yuanming Ding, Xutong Qin, and Qingyu Xia. 2022. "UAV Path Planning Algorithm Based on Improved Harris Hawks Optimization" Sensors 22, no. 14: 5232. https://doi.org/10.3390/s22145232
APA StyleZhang, R., Li, S., Ding, Y., Qin, X., & Xia, Q. (2022). UAV Path Planning Algorithm Based on Improved Harris Hawks Optimization. Sensors, 22(14), 5232. https://doi.org/10.3390/s22145232

