A New Conformal Map for Polynomial Chaos Applied to Direction-of-Arrival Estimation via UCA Root-MUSIC
Abstract
:1. Introduction
2. Methods
2.1. gPC Approximation
2.2. Conformally Mapped gPC
2.3. Tanh Map
2.4. Setup
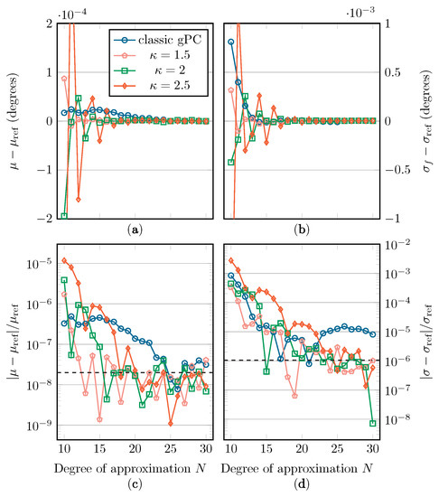
3. Results
4. Discussion
4.1. Comparison of Classic and Mapped gPC
4.2. Consequences for the UCA Root-MUSIC Algorithm
5. Conclusions and Future Work
Author Contributions
Funding
Institutional Review Board Statement
Informed Consent Statement
Data Availability Statement
Conflicts of Interest
References
- Abbasi, Q.H.; Jilani, S.F.; Alomainy, A.; Imran, M.A. Antennas and Propagation for 5G and Beyond; Institution of Engineering and Technology: Stevenage, UK, 2020. [Google Scholar]
- Xiu, D.; Karniadakis, G.E. The Wiener—Askey polynomial chaos for stochastic differential equations. SIAM J. Sci. Comput. 2002, 24, 619–644. [Google Scholar] [CrossRef]
- Xiu, D. Numerical Methods for Stochastic Computations: A Spectral Method Approach; Princeton University Press: Princeton, NJ, USA, 2010. [Google Scholar]
- Rossi, M.; Dierck, A.; Rogier, H.; Vande Ginste, D. A stochastic framework for the variability analysis of textile antennas. IEEE Trans. Antennas Propag. 2014, 62, 6510–6514. [Google Scholar] [CrossRef] [Green Version]
- Kersaudy, P.; Mostarshedi, S.; Sudret, B.; Picon, O.; Wiart, J. Stochastic Analysis of Scattered Field by Building Facades Using Polynomial Chaos. IEEE Trans. Antennas Propag. 2014, 62, 6382–6393. [Google Scholar] [CrossRef] [Green Version]
- Rossi, M.; Stockman, G.J.; Rogier, H.; Vande Ginste, D. Stochastic Analysis of the Efficiency of a Wireless Power Transfer System Subject to Antenna Variability and Position Uncertainties. Sensors 2016, 16, 1100. [Google Scholar] [CrossRef] [Green Version]
- Du, J.; Roblin, C. Statistical modeling of disturbed antennas based on the polynomial chaos expansion. IEEE Antennas Wirel. Propag. Lett. 2016, 16, 1843–1846. [Google Scholar] [CrossRef]
- Nguyen, B.T.; Samimi, A.; Vergara, S.E.W.; Sarris, C.D.; Simpson, J.J. Analysis of electromagnetic wave propagation in variable magnetized plasma via polynomial chaos expansion. IEEE Trans. Antennas Propag. 2018, 67, 438–449. [Google Scholar] [CrossRef]
- Ding, S.; Pichon, L. Sensitivity Analysis of an Implanted Antenna within Surrounding Biological Environment. Energies 2020, 13, 996. [Google Scholar] [CrossRef] [Green Version]
- Leifsson, L.; Du, X.; Koziel, S. Efficient yield estimation of multiband patch antennas by polynomial chaos-based Kriging. Int. J. Numer. Model. Electron. Netw. Devices Fields 2020, 33, e2722. [Google Scholar] [CrossRef] [Green Version]
- Rogier, H. Generalized Gamma-Laguerre Polynomial Chaos to Model Random Bending of Wearable Antennas. IEEE Antennas Wirel. Propag. Lett. 2022, 21, 1243–1247. [Google Scholar] [CrossRef]
- Babacan, S.D.; Molina, R.; Katsaggelos, A.K. Bayesian compressive sensing using Laplace priors. IEEE Trans. Image Process. 2009, 19, 53–63. [Google Scholar] [CrossRef]
- Zhang, Z.; Batselier, K.; Liu, H.; Daniel, L.; Wong, N. Tensor computation: A new framework for high-dimensional problems in EDA. IEEE Trans. Comput.-Aided Des. Integr. Circuits Syst. 2016, 36, 521–536. [Google Scholar] [CrossRef] [Green Version]
- Salis, C.; Zygiridis, T. Dimensionality reduction of the polynomial chaos technique based on the method of moments. IEEE Antennas Wirel. Propag. Lett. 2018, 17, 2349–2353. [Google Scholar] [CrossRef]
- Kaintura, A.; Dhaene, T.; Spina, D. Review of Polynomial Chaos-Based Methods for Uncertainty Quantification in Modern Integrated Circuits. Electronics 2018, 7, 30. [Google Scholar] [CrossRef] [Green Version]
- Tomy, G.J.K.; Vinoy, K.J. A fast polynomial chaos expansion for uncertainty quantification in stochastic electromagnetic problems. IEEE Antennas Wirel. Propag. Lett. 2019, 18, 2120–2124. [Google Scholar] [CrossRef]
- Lüthen, N.; Marelli, S.; Sudret, B. Sparse polynomial chaos expansions: Literature survey and benchmark. SIAM/ASA J. Uncertain. Quantif. 2021, 9, 593–649. [Google Scholar] [CrossRef]
- Inghelbrecht, V.; Verhaevert, J.; Van Hecke, T.; Rogier, H. The influence of random element displacement on DOA estimates obtained with (Khatri–Rao-) root-MUSIC. Sensors 2014, 14, 21258–21280. [Google Scholar] [CrossRef] [Green Version]
- Inghelbrecht, V.; Verhaevert, J.; Van Hecke, T.; Rogier, H.; Moeneclaey, M.; Bruneel, H. Stochastic framework for evaluating the effect of displaced antenna elements on DOA estimation. IEEE Antennas Wirel. Propag. Lett. 2016, 16, 262–265. [Google Scholar] [CrossRef] [Green Version]
- Van der Vorst, T.; Van Eeckhaute, M.; Benlarbi-Delai, A.; Sarrazin, J.; Horlin, F.; De Doncker, P. Propagation of uncertainty in the MUSIC algorithm using polynomial chaos expansions. In Proceedings of the 11th European Conference on Antennas and Propagation, Paris, France, 19–24 March 2017; pp. 820–822. [Google Scholar]
- Van der Vorst, T.; Van Eeckhaute, M.; Benlarbi-Delai, A.; Sarrazin, J.; Quitin, F.; Horlin, F.; De Doncker, P. Application of polynomial chaos expansions for uncertainty estimation in angle-of-arrival based localization. In Uncertainty Modeling for Engineering Applications; Springer: Berlin/Heidelberg, Germany, 2019; pp. 103–117. [Google Scholar]
- Bernstein, S. Sur l’ordre de la Meilleure Approximation des Fonctions Continues par des Polynômes de Degré Donné; Hayez, Imprimeur des Académies Royales: Brussels, Belgium, 1912; Volume 4. [Google Scholar]
- Trefethen, L.N. Approximation Theory and Approximation Practice; Siam: Philadelphia, PA, USA, 2019; Volume 164. [Google Scholar]
- Georg, N.; Römer, U. Conformally mapped polynomial chaos expansions for Maxwell’s source problem with random input data. Int. J. Numer. Model. Electron. Netw. Devices Fields 2020, 33, 2776. [Google Scholar] [CrossRef]
- Hale, N.; Trefethen, L.N. New quadrature formulas from conformal maps. SIAM J. Numer. Anal. 2008, 46, 930–948. [Google Scholar] [CrossRef] [Green Version]
- Alpert, B.K. Hybrid Gauss-trapezoidal quadrature rules. SIAM J. Sci. Comput. 1999, 20, 1551–1584. [Google Scholar] [CrossRef] [Green Version]
- Kosloff, D.; Tal-Ezer, H. A modified Chebyshev pseudospectral method with an O(N-1) time step restriction. J. Comput. Phys. 1993, 104, 457–469. [Google Scholar] [CrossRef]
- Goossens, R.; Rogier, H.; Werbrouck, S. UCA Root-MUSIC with sparse uniform circular arrays. IEEE Trans. Signal Process. 2008, 56, 4095–4099. [Google Scholar] [CrossRef]
- Gautschi, W. Orthogonal polynomials—Constructive theory and applications. J. Comput. Appl. Math. 1985, 12, 61–76. [Google Scholar] [CrossRef] [Green Version]
- Golub, G.H.; Welsch, J.H. Calculation of Gauss quadrature rules. Math. Comput. 1969, 23, 221–230. [Google Scholar] [CrossRef]
- Hale, N.; Trefethen, L.N. On the Use of Conformal Maps to Speed Up Numerical Computations. Ph.D. Thesis, University of Oxford, Oxford, UK, 2009. [Google Scholar]
- Johnson, N.L.; Kotz, S.; Balakrishnan, N. Beta distributions. In Continuous Univariate Distributions, 2nd ed.; John Wiley and Sons: New York, NY, USA, 1994; pp. 221–235. [Google Scholar]
- Shen, J.; Tang, T.; Wang, L.L. Orthogonal polynomials and related approximation results. In Spectral Methods; Springer: Berlin/Heidelberg, Germany, 2011; pp. 47–140. [Google Scholar]
- Habibi, M.A.; Nasimi, M.; Han, B.; Schotten, H.D. A comprehensive survey of RAN architectures toward 5G mobile communication system. IEEE Access 2019, 7, 70371–70421. [Google Scholar] [CrossRef]
- Molteno, T.C.A.; Kyriazis, N. NEC2++: An NEC-2 Compatible Numerical Electromagnetics Code; University of Otago: Dunedin, New Zealand, 2014. [Google Scholar]
- Pebesma, E.J.; Heuvelink, G.B. Latin hypercube sampling of Gaussian random fields. Technometrics 1999, 41, 303–312. [Google Scholar] [CrossRef]
- Hesthaven, J.S.; Gottlieb, S.; Gottlieb, D. Spectral Methods for Time-Dependent Problems; Cambridge University Press: Cambridge, UK, 2007; Volume 21. [Google Scholar]
- Watanabe, A.O.; Ali, M.; Sayeed, S.Y.B.; Tummala, R.R.; Pulugurtha, M.R. A review of 5G front-end systems package integration. IEEE Trans. Compon. Packag. Manuf. Technol. 2020, 11, 118–133. [Google Scholar] [CrossRef]
- Molodtsov, V.; Kureev, A.; Khorov, E. Experimental Study of Smoothing Modifications of the MUSIC Algorithm for Direction of Arrival Estimation in Indoor Environments. IEEE Access 2021, 9, 153767–153774. [Google Scholar] [CrossRef]
- Kotaru, M.; Joshi, K.; Bharadia, D.; Katti, S. Spotfi: Decimeter level localization using wifi. In Proceedings of the 2015 ACM Conference on Special Interest Group on Data Communication, London, UK, 17–21 August 2015; pp. 269–282. [Google Scholar]















| 49.510102 | 2.527614 | |
| 50.046675 | 1.347420 | |
| 50.163825 | 0.956752 | 
| Publisher’s Note: MDPI stays neutral with regard to jurisdictional claims in published maps and institutional affiliations. | 
© 2022 by the authors. Licensee MDPI, Basel, Switzerland. This article is an open access article distributed under the terms and conditions of the Creative Commons Attribution (CC BY) license (https://creativecommons.org/licenses/by/4.0/).
Share and Cite
Van Brandt, S.; Verhaevert, J.; Van Hecke, T.; Rogier, H. A New Conformal Map for Polynomial Chaos Applied to Direction-of-Arrival Estimation via UCA Root-MUSIC. Sensors 2022, 22, 5229. https://doi.org/10.3390/s22145229
Van Brandt S, Verhaevert J, Van Hecke T, Rogier H. A New Conformal Map for Polynomial Chaos Applied to Direction-of-Arrival Estimation via UCA Root-MUSIC. Sensors. 2022; 22(14):5229. https://doi.org/10.3390/s22145229
Chicago/Turabian StyleVan Brandt, Seppe, Jo Verhaevert, Tanja Van Hecke, and Hendrik Rogier. 2022. "A New Conformal Map for Polynomial Chaos Applied to Direction-of-Arrival Estimation via UCA Root-MUSIC" Sensors 22, no. 14: 5229. https://doi.org/10.3390/s22145229
APA StyleVan Brandt, S., Verhaevert, J., Van Hecke, T., & Rogier, H. (2022). A New Conformal Map for Polynomial Chaos Applied to Direction-of-Arrival Estimation via UCA Root-MUSIC. Sensors, 22(14), 5229. https://doi.org/10.3390/s22145229
 
         
                                                


 
       