Step Climbing Control of Snake Robot with Prismatic Joints
Abstract
:1. Introduction
- We propose a control method for climbing a step by extending and retracting a link, and by rotating a joint By dividing the degrees of freedom of the link lengths into two parts, one part controls the link length directly, and the other part uses the link length as a redundancy. The proposed control method can achieve both of the following: (i) link extension/shrinking to move between two planes to achieve step climbing, and (ii) link extension/shrinking in accordance with joint rotation.
- We have developed an actual snake robot that can extend and retract links by prismatic and rotate joints, and demonstrate the effectiveness of a control method that adaptively utilizes the extension and shrinking of degrees of freedom through experiments. This study was the first demonstration using an actual robot, as [22] only verified the method with simulations.
2. Model
2.1. Problem Setting
2.2. Kinematic Model
3. Controller
3.1. Trajectory Tracking Controller
3.2. Shift Reference Generator
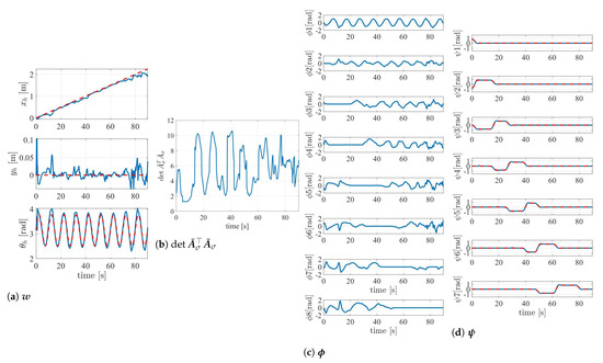
4. Experiments
5. Conclusions
Author Contributions
Funding
Conflicts of Interest
References
- Hirose, S. Biologically Inspired Robots; Oxford University Press: Oxford, UK, 1993. [Google Scholar]
- Hopkins, J.K.; Spranklin, B.W.; Gupta, S.K. A survey of snake inspired robot designs. Bioinspiration Biomimetics 2009, 4, 021001. [Google Scholar] [CrossRef] [PubMed] [Green Version]
- Mori, M.; Hirose, S. Locomotion of 3D Snake like robots–shifting and rolling control of activecord mechanism ACM-R3–. J. Robot. Mechatron. 2006, 18, 521–528. [Google Scholar] [CrossRef]
- Crespi, A.; Ijspeert, A.J. Online Optimization of Swimming and Crawling in an Amphibious Snake Robot. IEEE Trans. Rob. 2008, 24, 75–87. [Google Scholar] [CrossRef] [Green Version]
- Wu, X.; Ma, S. CPG-based control of serpentine locomotion of a snake-like robot. Mechatronics 2010, 20, 326–334. [Google Scholar] [CrossRef] [Green Version]
- Sato, T.; Kano, T.; Ishiguro, A. A decentralized control scheme for an effective coordination of phasic and tonic control in a snake-like robot. Bioinspiration Biomimetics 2012, 7, 016005. [Google Scholar] [CrossRef]
- Prautsch, P.; Mita, T.; Iwasaki, T. Analysis and Control of a Gait of Snake Robot. IEEJ Trans. Ind. Appl. 2000, 120, 372–381. [Google Scholar] [CrossRef] [Green Version]
- Matsuno, F.; Mogi, K. Redundancy controllable system and control of snake robots based on kinematic model. In Proceedings of the 39th IEEE Conference on Decision and Control (Cat. No. 00CH37187), Sydney, NSW, Australia, 12–15 December 2000; Volume 5, pp. 4791–4796. [Google Scholar]
- Tanaka, M.; Matsuno, F. Modeling and Control of Head Raising Snake Robots by Using Kinematic Redundancy. J. Intell. Robot. Syst. 2014, 75, 53–69. [Google Scholar] [CrossRef]
- Tanaka, M.; Tanaka, K. Control of a Snake Robot for Ascending and Descending Steps. IEEE Trans. Robot. 2015, 31, 511–520. [Google Scholar] [CrossRef]
- Nakajima, M.; Tanaka, M.; Tanaka, K.; Matsuno, F. Motion control of a snake robot moving between two non-parallel planes. Adv. Robot. 2018, 32, 559–573. [Google Scholar] [CrossRef]
- Mohammadi, A.; Rezapour, E.; Maggiore, M.; Pettersen, K.Y. Maneuvering Control of Planar Snake Robots Using Virtual Holonomic Constraints. IEEE Trans. Control Syst. Technol. 2016, 24, 884–899. [Google Scholar] [CrossRef] [Green Version]
- Gray, J.; Lissmann, H.W. Studies In animal locomotion: VII. Locomotory reflexes in the earthworm. J. Exp. Biol. 1938, 15, 506–517. [Google Scholar] [CrossRef]
- Takahashi, M.; Hayashi, I.; Iwatsuki, N.; Suzumori, K.; Ohki, N. The development of an in-pipe micro robot applying the motion of an earthworm. In Proceedings of the IEEE 5th International Symp. on Micro Machineand Human Science, Nagoya, Japan, 2–4 October 1994; pp. 35–40. [Google Scholar]
- Saga, N.; Nakamura, T. Development of a peristaltic crawling robot using magnetic fluid on the basis of the locomotion mechanism of the earthworm. Smart Mater. Struct. 2004, 13, 566–569. [Google Scholar] [CrossRef]
- Tanaka, T.; Harigaya, K.; Nakamura, T. Development of a peristaltic crawling robot for long-distance inspection of sewer pipes. In Proceedings of the 2014 IEEE/ASME International Conference on Advanced Intelligent Mechatronics, Besacon, France, 8–11 July 2014; pp. 1552–1557. [Google Scholar]
- Sivaperuman Kalairaj, M.; Cai, C.J.; Ren, H. Untethered Origami Worm Robot with Diverse Multi-Leg Attachments and Responsive Motions under Magnetic Actuation. Robotics 2021, 10, 118. [Google Scholar] [CrossRef]
- Ge, J.Z.; Calderón, A.A.; Pérez-Arancibia, O. An Earthworm-Inspired Soft Crawling Robot Controlled by Friction. In Proceedings of the 2017 IEEE International Conference on Robotics and Biomimetics (ROBIO), Macau, Macao, 5–8 December 2017; pp. 834–841. [Google Scholar]
- Sugita, S.; Ogami, K.; Michele, G.; Hirose, S.; Takita, K. A study on the Mechanism and Locomotion Strategy for New Snake-Like Robot Active Cord Mechanism -Slime model 1 ACM-S1. J. Robot. Mechatronics 2008, 20, 302–309. [Google Scholar] [CrossRef]
- Zhang, Y.; Yang, D.; Yan, P.; Zhou, P.; Zou, J.; Gu, G. Inchworm Inspired Multimodal Soft Robots with Crawling, Climbing, and Transitioning Locomotion. IEEE Trans. Robot. 2021. [Google Scholar] [CrossRef]
- Ohno, H.; Hirose, S. A Study of Active Cord Mechanisms-Biomechanical Consideration on its 3D Gaits-. J. Robot. Mechatronics 2003, 15, 424–431. [Google Scholar] [CrossRef]
- Tanaka, M.; Sawabe, H.; Nakajima, M.; Ariizumi, R. Redundant Control of a Planar Snake Robot With Prismatic Joints Through Null Space. Int. J. Control Autom. Syst. 2021, 19, 3475–3486. [Google Scholar] [CrossRef]
- Tanaka, M.; Tanaka, K. Singularity Analysis of a Snake Robot and an Articulated Mobile Robot with Unconstrained Links. IEEE Trans. Control Syst. Technol. 2016, 48, 2070–2081. [Google Scholar] [CrossRef]
- Martin, D.P.; Baillieul, J.; Hollerbach, J.M. Resolution of KinematicRedundancy Using Optimization Techniques. IEEE Trans. Robot. Autom. 1989, 5, 529–533. [Google Scholar] [CrossRef]









| Parameter | Value |
|---|---|
| n: The number of pairs of wheel | 8 |
| l: Head link length | 0.100 m |
| : Initial value of | m |
| : Initial value of | m |
| : Initial value of | deg |
| : Maximum link length | 0.190 m |
| : Minimum link length | 0.145 m |
| : ith diagonal element of | 1.0(if ), (if ) |
| Diagonal element of | The element corresponding to , , others are 3, 2, 1, respectively. |
| Diagonal element of | The element corresponding to , , others are , , , respectively. |
| h: Height of the connecting part | 0.23 m |
| : Target trajectory of |
Publisher’s Note: MDPI stays neutral with regard to jurisdictional claims in published maps and institutional affiliations. |
© 2022 by the authors. Licensee MDPI, Basel, Switzerland. This article is an open access article distributed under the terms and conditions of the Creative Commons Attribution (CC BY) license (https://creativecommons.org/licenses/by/4.0/).
Share and Cite
Iguchi, Y.; Nakajima, M.; Ariizumi, R.; Tanaka, M. Step Climbing Control of Snake Robot with Prismatic Joints. Sensors 2022, 22, 4920. https://doi.org/10.3390/s22134920
Iguchi Y, Nakajima M, Ariizumi R, Tanaka M. Step Climbing Control of Snake Robot with Prismatic Joints. Sensors. 2022; 22(13):4920. https://doi.org/10.3390/s22134920
Chicago/Turabian StyleIguchi, Yuta, Mizuki Nakajima, Ryo Ariizumi, and Motoyasu Tanaka. 2022. "Step Climbing Control of Snake Robot with Prismatic Joints" Sensors 22, no. 13: 4920. https://doi.org/10.3390/s22134920
APA StyleIguchi, Y., Nakajima, M., Ariizumi, R., & Tanaka, M. (2022). Step Climbing Control of Snake Robot with Prismatic Joints. Sensors, 22(13), 4920. https://doi.org/10.3390/s22134920

