A Low-Complexity Algorithm for a Reinforcement Learning-Based Channel Estimator for MIMO Systems
Abstract
:1. Introduction
- A data-aided channel estimator is developed to optimize the selection of detected symbols for MIMO systems. An MDP problem is defined for this selection to minimize the mean-square-error (MSE) of the channel estimates. Compared with [26], a discounting factor is introduced in the Q-value function. The discounting factor adjusts the effects of rewards after the current state.
- A low-complexity RL algorithm is proposed. To achieve this efficiently, a data block is separated into multiple data subblocks and the optimal policy for the data subblocks is characterized. In the characterization, only partial soft information obtained from data detection is utilized to reduce the calculation latency. Unlike in [26], the optimal policy is calculated using only this partially obtained information; the remaining rewards are approximated under the assumption of perfect detection. Finally, the optimal policy is obtained using a closed-form expression. Note that the conventional RL algorithm in [26] can be employed after obtaining all soft information in a data block.
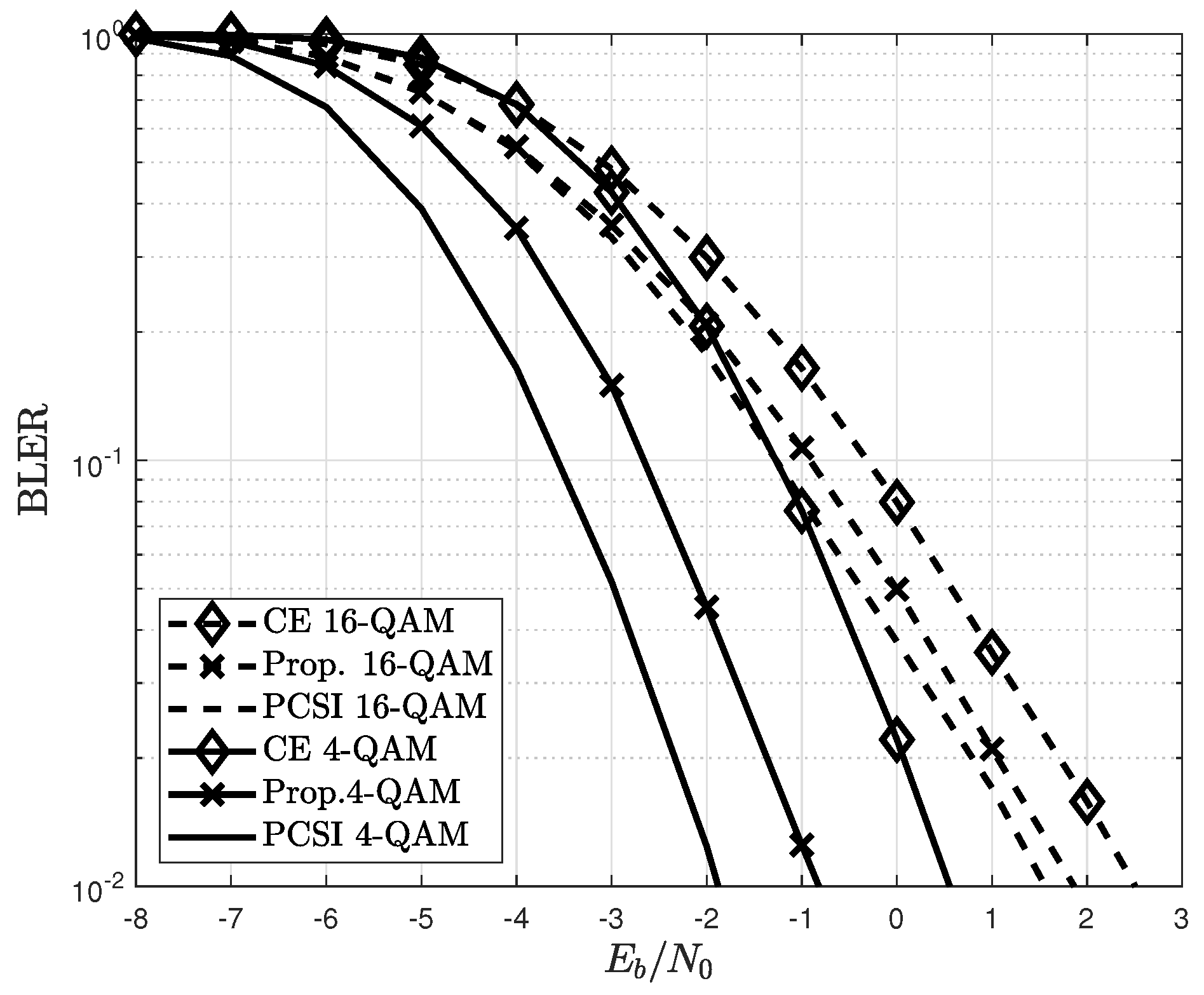
- The performance enhancement achieved for MIMO systems using the developed RL algorithm is evaluated. Simulations are conducted, and the results demonstrate that the proposed algorithm significantly reduces the performance degradation of conventional channel estimation. Based on the simulations, the proposed channel estimator using an approximate MDP presents a similar performance to that of the original MDP. In addition, the proposed channel estimator provides robustness in time-varying channels.
Notation
2. Signal Model
2.1. Signal Model
2.2. Channel Estimator and Data Detector
3. Optimization Problem
3.1. Optimization Problem
3.2. Markov Decision Process
4. Proposed Rl-Based Channel Estimator
4.1. Statistical State Transition
4.2. State–Action Transition Using Backup Samples
4.3. State–Action Transition after Backup Samples
4.4. Proposed Optimal Policy
4.5. Summary: The Proposed Algorithm
| Algorithm 1: The proposed channel estimator. |
| 1 Set from (4) 2 Initialize . 3 for to do 4 for to do 5 for do 6 Obtain from (8) and from (5) for 7 Compute from (29). 8 Set for and for . 9 Update from (13). 10 end 11 Set from (11). 12 end 13 end |
4.6. Complexity Analysis
5. Simulation Results
6. Conclusions
Author Contributions
Funding
Institutional Review Board Statement
Informed Consent Statement
Data Availability Statement
Conflicts of Interest
Appendix A. Proof of Theorem 1
Appendix A.1. Error Covariance Calculation for
Appendix A.2. Error Covariance Calculation for
References
- Foschini, G.J. Layered Space-Time Architecture for Wireless Communication in a Fading Environment When Using Multi-Element Antennas. Bell Labs Tech. J. 1996, 1, 41–59. [Google Scholar] [CrossRef]
- Telatar, I.E. Capacity of Multi-Antenna Gaussian Channels. Eur. Trans. Telecommun. 1999, 10, 585–595. [Google Scholar] [CrossRef]
- Zheng, L.; Tse, D.N.C. Diversity and Multiplexing: A Fundamental Tradeoff in Multiple-Antenna Channels. IEEE Trans. Inf. Theory 2003, 49, 1073–1096. [Google Scholar] [CrossRef] [Green Version]
- Björnson, E.; Hoydis, J.; Sanguinetti, L. Massive MIMO Has Unlimited Capacity. IEEE Trans. Wirel. Commun. 2018, 17, 574–590. [Google Scholar] [CrossRef] [Green Version]
- Larsson, E.G.; Edfors, O.; Tufvesson, F.; Marzetta, T.L. Massive MIMO for Next Generation Wireless Systems. IEEE Commun. Mag. 2014, 52, 186–1954. [Google Scholar] [CrossRef] [Green Version]
- Lu, L.; Li, G.; Swindlehurst, A.; Ashikhmin, A.; Zhang, R. An Overview of Massive MIMO: Benefits and Challenges. IEEE J. Sel. Top. Signal Process. 2014, 8, 742–758. [Google Scholar] [CrossRef]
- Simeone, O.; Bar-Ness, Y.; Spagnolini, U. Pilot-based Channel Estimation for OFDM Systems by Tracking the Delay-Subspace. IEEE Trans. Wirel. Commun. 2004, 3, 315–325. [Google Scholar] [CrossRef]
- Morelli, M.; Mengali, U. A Comparison of Pilot-Aided Channel Estimation Methods for OFDM System. IEEE Trans. Signal Process. 2001, 49, 3065–3073. [Google Scholar] [CrossRef]
- Kim, H.M.; Kim, D.; Kim, T.K.; Im, G.H. Frequency Domain Channel Estimation for MIMO SC-FDMA Systems with CDM Pilots. J. Commun. Netw. 2014, 16, 447–457. [Google Scholar] [CrossRef]
- Biguesh, M.; Gershman, A.B. Training-based MIMO Channel Estimation: A Study of Estimator Tradeoffs and Optimal Training Signals. IEEE Trans. Signal Process. 2006, 54, 884–893. [Google Scholar] [CrossRef]
- Ozdemir, M.K.; Arslan, H. Channel Estimation for Wireless OFDM Systems. IEEE Commun. Surv. Tutor. 2007, 9, 18–48. [Google Scholar] [CrossRef]
- Neumann, D.; Wiese, T.; Utschick, W. Learning the MMSE Channel Estimator. IEEE Trans. Signal Process. 2018, 66, 2905–2917. [Google Scholar] [CrossRef] [Green Version]
- Dowler, A.; Nix, A.; McGeehan, J. Data-derived Iterative Channel Estimation with Channel Tracking for a Mobile Fourth Generation Wide Area OFDM System. In Proceedings of the IEEE Global Telecommunications Conference (GLOBECOM), San Francisco, CA, USA, 1–5 December 2003. [Google Scholar]
- Le, H.A.; Van Chien, T.; Nguyen, T.H.; Choo, H.; Nguyen, V.D. Machine Learning-Based 5G-and-Beyond Channel Estimation for MIMO-OFDM Communication Systems. Sensors 2021, 21, 4861. [Google Scholar] [CrossRef] [PubMed]
- Naeem, M.; De Pietro, G.; Coronato, A. Application of Reinforcement Learning and Deep Learning in Multiple-Input and Multiple-Output (MIMO) Systems. Sensors 2022, 22, 309. [Google Scholar] [CrossRef]
- Li, X.; Wang, Q.; Yang, H.; Ma, X. Data-Aided MIMO Channel Estimation by Clustering and Reinforcement-Learning. In Proceedings of the IEEE Wireless Communications and Networking Conference (WCNC), Austin, TX, USA, 10–13 April 2022. [Google Scholar]
- Üçüncü, A.B.; Güvensen, G.M.; Yılmaz, A.Ö. A Reduced Complexity Ungerboeck Receiver for Quantized Wideband Massive SC-MIMO. IEEE Trans. Commun. 2021, 69, 4921–4936. [Google Scholar] [CrossRef]
- Yuan, J.; Ngo, H.Q.; Matthaiou, M. Machine Learning-Based Channel Prediction in Massive MIMO with Channel Aging. IEEE Trans. Wirel. Commun. 2020, 19, 2960–2973. [Google Scholar] [CrossRef]
- Zhao, M.; Shi, Z.; Reed, M.C. Iterative Turbo Channel Estimation for OFDM System over Rapid Dispersive Fading Channel. IEEE Trans. Wirel. Commun. 2008, 7, 3174–3184. [Google Scholar] [CrossRef]
- Ma, J.; Ping, L. Data-Aided Channel Estimation in Large Antenna Systems. IEEE Trans. Signal Process. 2014, 62, 3111–3124. [Google Scholar]
- Park, S.; Shim, B.; Choi, J.W. Iterative Channel Estimation Using Virtual Pilot Signals for MIMO-OFDM Systems. IEEE Trans. Signal Process. 2015, 63, 3032–3045. [Google Scholar] [CrossRef]
- Huang, C.; Liu, L.; Yuen, C.; Sun, S. Iterative Channel Estimation Using LSE and Sparse Message Passing for mmWave MIMO Systems. IEEE Trans. Signal Process. 2018, 67, 245–259. [Google Scholar] [CrossRef] [Green Version]
- Park, S.; Choi, J.W.; Seol, J.Y.; Shim, B. Expectation-Maximization-based Channel Estimation for Multiuser MIMO Systems. IEEE Trans. Commun. 2017, 65, 2397–2410. [Google Scholar] [CrossRef]
- Valenti, M.C.; Woerner, B.D. Iterative Channel Estimation and Decoding of Pilot Symbol Assisted Turbo Codes Over Flat-Fading Channels. IEEE J. Sel. Areas Commun. 2001, 19, 1697–1705. [Google Scholar] [CrossRef]
- Song, S.; Singer, A.C.; Sung, K.M. Soft Input Channel Estimation for Turbo Equalization. IEEE Trans. Signal Process. 2004, 52, 2885–2894. [Google Scholar] [CrossRef]
- Jeon, Y.S.; Li, J.; Tavangaran, N.; Poor, H.V. Data-Aided Channel Estimator for MIMO Systems via Reinforcement Learning. In Proceedings of the IEEE International Conference on Communications (ICC), Dublin, Ireland, 7–11 June 2020. [Google Scholar]
- Jeon, Y.S.; Lee, N.; Poor, H.V. Robust Data Detection for MIMO Systems with One-Bit ADCs: A Reinforcement Learning Approach. IEEE Trans. Wirel. Commun. 2020, 19, 1663–1676. [Google Scholar] [CrossRef]
- Sutton, R.S.; Barto, A.G. Reinforcement Learning: An Introduction; The MIT Press: Cambridge, MA, USA, 2018. [Google Scholar]
- Dong, M.; Tong, L.; Sadler, B.M. Optimal Insertion of Pilot Symbols for Transmissions over Time-Varying Flat Fading Channels. IEEE Trans. Signal Process. 2004, 52, 1403–1418. [Google Scholar] [CrossRef] [Green Version]
- Kim, T.K.; Jeon, Y.S.; Min, M. Training Length Adaptation for Reinforcement Learning-Based Detection in Time-Varying Massive MIMO Systems With One-Bit ADCs. IEEE Trans. Veh. Technol. 2021, 70, 6999–7011. [Google Scholar] [CrossRef]










Publisher’s Note: MDPI stays neutral with regard to jurisdictional claims in published maps and institutional affiliations. |
© 2022 by the authors. Licensee MDPI, Basel, Switzerland. This article is an open access article distributed under the terms and conditions of the Creative Commons Attribution (CC BY) license (https://creativecommons.org/licenses/by/4.0/).
Share and Cite
Kim, T.-K.; Min, M. A Low-Complexity Algorithm for a Reinforcement Learning-Based Channel Estimator for MIMO Systems. Sensors 2022, 22, 4379. https://doi.org/10.3390/s22124379
Kim T-K, Min M. A Low-Complexity Algorithm for a Reinforcement Learning-Based Channel Estimator for MIMO Systems. Sensors. 2022; 22(12):4379. https://doi.org/10.3390/s22124379
Chicago/Turabian StyleKim, Tae-Kyoung, and Moonsik Min. 2022. "A Low-Complexity Algorithm for a Reinforcement Learning-Based Channel Estimator for MIMO Systems" Sensors 22, no. 12: 4379. https://doi.org/10.3390/s22124379
APA StyleKim, T.-K., & Min, M. (2022). A Low-Complexity Algorithm for a Reinforcement Learning-Based Channel Estimator for MIMO Systems. Sensors, 22(12), 4379. https://doi.org/10.3390/s22124379

