Comparative Study of Structural Anomaly Diagnosis Based on ANN Model Using Random Displacement and Acceleration Responses with Incomplete Measurements
Abstract
:1. Introduction
2. ANN Model and SAD Method
3. ANN-Based SAD for Building Structure
4. Results of the Incomplete Measurements of Displacement and Acceleration Responses
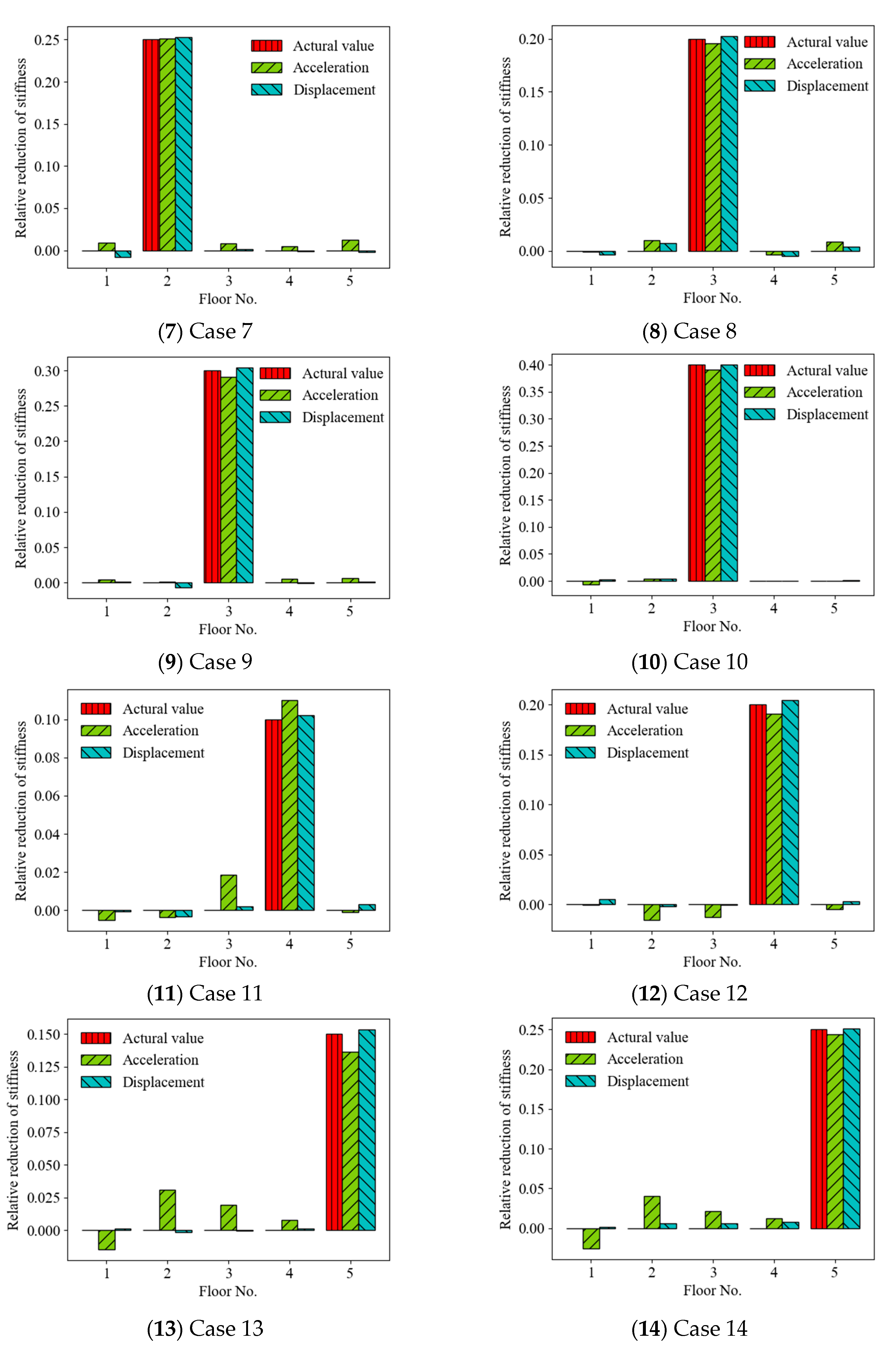
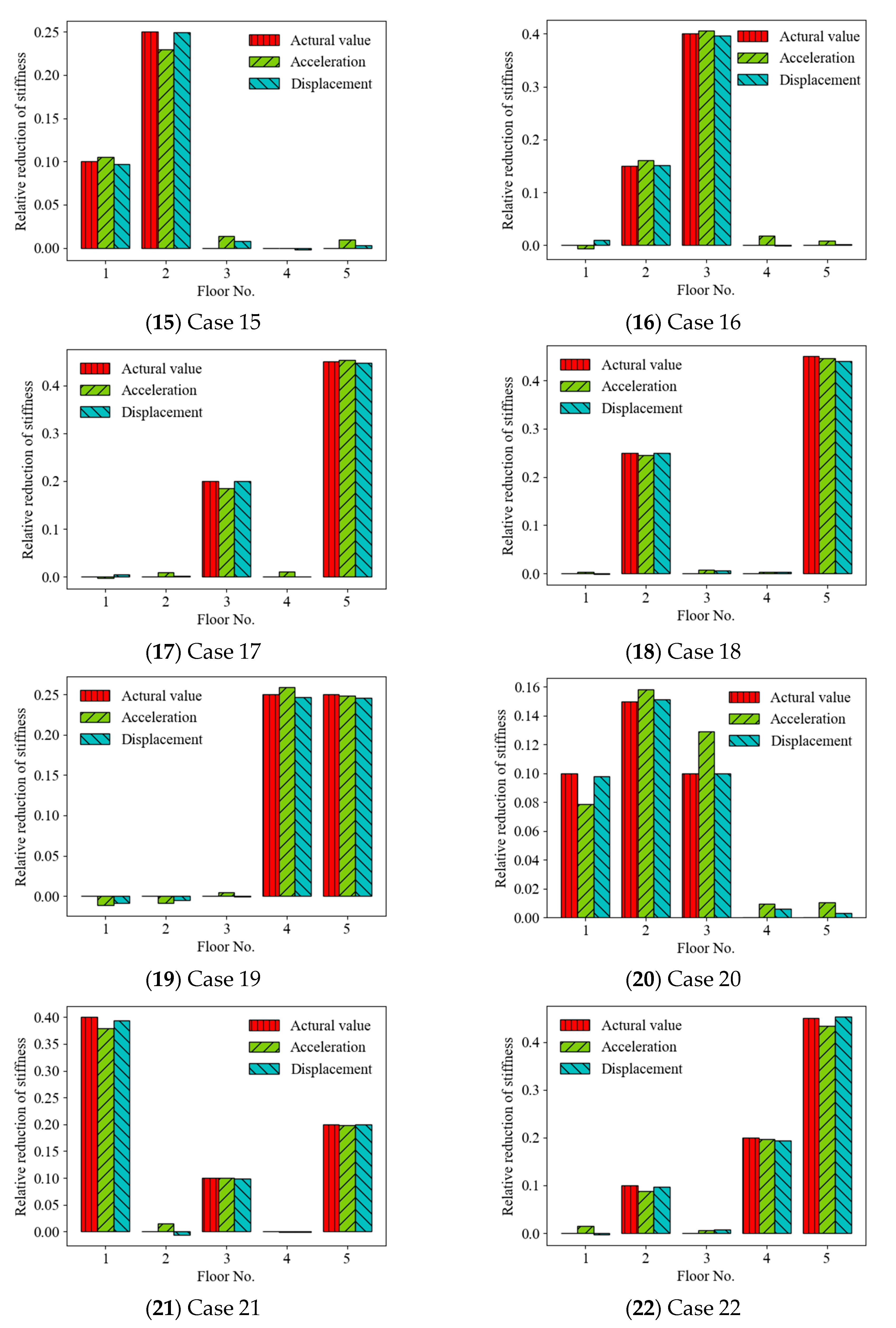
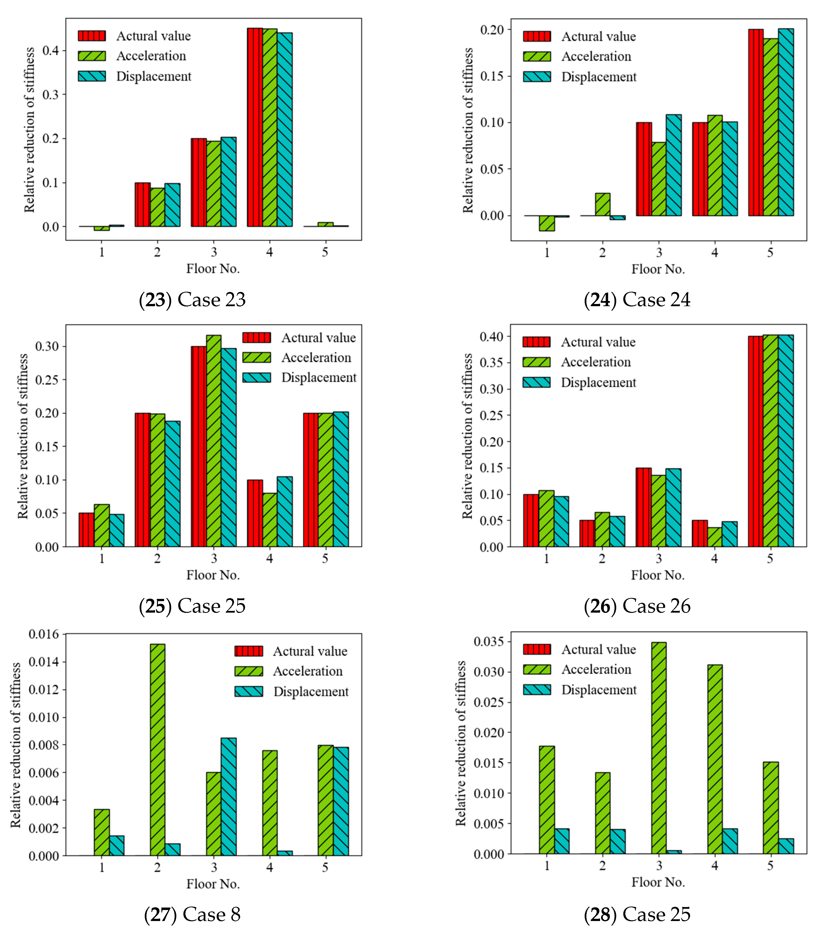
4.1. Comparison of Results Using Random Acceleration and Displacement Responses
4.2. Effect of Noise Intensity
4.3. Effect of Sampling Time Length
4.4. Effect of Limited Measurement Points
5. Conclusions
- (1)
- Using raw acceleration or displacement responses as the input to the ANN model was more effective for SAD, and the ANN-based method using random displacement responses as the ANN input was better than that using random acceleration responses;
- (2)
- The accuracy of the prediction results on structural anomalies increased with the response SNR, e.g., from 10 dB to 30 dB, and the results using random displacement responses as the ANN input were more accurate than those using random acceleration responses for smaller SNR (e.g., less than 20 dB); thus, the ANN-based SAD method using displacement responses as the ANN input had better robustness;
- (3)
- The accuracy of the prediction results on structural anomalies increased with the sampling time length of random vibration responses (for certain short time lengths), and the results using random displacement responses as the ANN input were more accurate than those using random acceleration responses (e.g., for sampling times longer than 15 s);
- (4)
- The accuracy of the prediction results on structural anomalies roughly increased with the number of limited measurement points of random vibration responses, and the results using random displacement responses as the ANN input were more accurate than those using random acceleration responses for different numbers of measurement points.
Author Contributions
Funding
Institutional Review Board Statement
Informed Consent Statement
Data Availability Statement
Conflicts of Interest
References
- Doebling, S.W.; Farrar, C.R.; Prime, M.B. A summary review of vibration-based damage identification methods. Shock Vib. Dig. 1998, 30, 91–105. [Google Scholar] [CrossRef] [Green Version]
- Worden, K.; Farrar, C.R.; Manson, G.; Park, G. The fundamental axioms of structural health monitoring. P. Roy. Soc. A-Math. Phy. 2007, 463, 1639–1664. [Google Scholar] [CrossRef]
- Farrar, C.R.; Doebling, S.W. Vibration-based structural damage identification. Philos. Trans. R. Soc. Lond. 2001, 359, 131–149. [Google Scholar] [CrossRef]
- Cawley, P.; Adama, R.D. The location of defects in structures from measurements of natural frequencies. J. Strain Anal. Eng. 1979, 14, 49–57. [Google Scholar] [CrossRef]
- Lee, Y.S.; Chung, M.J. A study on crack detection using eigenfrequency test data. Comput. Struct. 2001, 77, 327–342. [Google Scholar] [CrossRef]
- Khiem, N.T.; Lien, T.V. Multi-crack detection for beam by the natural frequencies. J. Sound Vib. 2004, 271, 175–184. [Google Scholar] [CrossRef]
- Su, W.C.; Huang, C.S.; Hung, S.L.; Chen, L.J.; Lin, W.J. Locating damaged storys in a shear building based on its sub-structural natural frequencies. Eng. Struct. 2012, 39, 126–138. [Google Scholar] [CrossRef]
- Khiem, N.T.; Toan, L.K. A novel method for crack detection in beam like structures by measurements of natural frequencies. J. Sound Vib. 2014, 333, 4084–4103. [Google Scholar] [CrossRef]
- Pandey, A.K.; Biswas, M.; Samman, M.M. Damage detection from changes in curvature mode shapes. J. Sound Vib. 1991, 145, 321–332. [Google Scholar] [CrossRef]
- Zhu, H.; Li, L.; He, X.Q. Damage detection method for shear buildings using the change in first mode shape slopes. Comput. Struct. 2011, 89, 733–743. [Google Scholar] [CrossRef]
- Nguyen, K.V. Mode shapes analysis of a cracked beam and its application for crack detection. J. Sound Vib. 2014, 333, 848–872. [Google Scholar] [CrossRef]
- Cornwell, P.; Doebling, S.W.; Farrar, C.R. Application of the strain energy damage detection method to plate-like structures. J. Sound Vib. 1999, 224, 359–374. [Google Scholar] [CrossRef]
- Alvandi, A.; Cremona, C. Assessment of vibration-based damage identification techniques. J. Sound Vib. 2006, 292, 179–202. [Google Scholar] [CrossRef]
- Ooijevaar, T.H.; Loendersloot, R.; Warnet, L.L.; Boer, A.D.; Akkerman, R. Vibration based structural health monitoring of a composite T-beam. Compos. Struct. 2010, 92, 2007–2015. [Google Scholar] [CrossRef]
- Wu, S.; Zhou, J.; Rui, S.; Fei, Q. Reformulation of elemental modal strain energy method based on strain modes for structural damage detection. Adv. Struct. Eng. 2016, 20, 896–905. [Google Scholar] [CrossRef]
- Koo, K.Y.; Sung, S.H.; Jung, H.J. Damage quantification of shear buildings using deflections obtained by modal flexibility. Smart Mater. Struct. 2011, 20, 045010. [Google Scholar] [CrossRef]
- Chen, Y.; Hou, X.B. Applications of different criteria in structural damage identification based on natural frequency and static displacement. Sci. China Technol. Sci. 2016, 59, 1746–1758. [Google Scholar]
- Saeed, R.A.; Galybin, A.N.; Popov, V. Crack identification in curvilinear beams by using ANN and ANFIS based on natural frequencies and frequency response functions. Neural Comput. Appl. 2011, 21, 1629–1645. [Google Scholar] [CrossRef]
- Geng, X.; Lu, S. Research on FBG-based CFRP structural damage identification using BP neural network. Photonic Sens. 2018, 8, 1–8. [Google Scholar] [CrossRef] [Green Version]
- Hadi, S.; Saptarshi, D. Structural damage identification using image-based pattern recognition on event-based binary data generated from self-powered sensor networks. Struct. Control Health Monit. 2018, 25, e2135.1–e2135.21. [Google Scholar]
- Yun, C.B.; Yi, J.H.; Bahng, E.Y. Joint damage assessment of framed structures using a neural networks technique. Eng. Struct. 2001, 23, 425–435. [Google Scholar] [CrossRef]
- Sahin, M.; Shenoi, R.A. Quantification and localisation of damage in beam-like structures by using artificial neural networks with experimental validation. Eng. Struct. 2003, 25, 1785–1802. [Google Scholar] [CrossRef]
- Bagchi, A.; Humar, J.; Xu, H.; Noman, A.S. Model-based damage identification in a continuous bridge using vibration data. J. Perform. Constr. Fac. 2010, 24, 148–158. [Google Scholar] [CrossRef]
- Nadith, P.; Li, J.; Ling, L.; Hao, H.; Liu, W.; Ni, P. Structural damage identification based on autoencoder neural networks and deep learning. Eng. Struct. 2018, 172, 13–28. [Google Scholar]
- Pagani, A.; Enea, M.; Carrera, E. Component-wise damage detection by neural networks and refined FEs training. J. Sound Vib. 2021, 509, 116255. [Google Scholar] [CrossRef]
- Daskalakis, E.; Panagiotopoulos, C.G.; Tsogka, C. Stretching method-based damage detection using neural networks. Sensors 2022, 22, 830. [Google Scholar] [CrossRef]
- Gillich, N.; Tufisi, C.; Sacarea, C.; Rusu, C.V.; Gillich, G.-R.; Praisach, Z.-I.; Ardeljan, M. Beam damage assessment using natural frequency shift and machine learning. Sensors 2022, 22, 1118. [Google Scholar] [CrossRef]
- Lee, J.J.; Lee, J.W.; Yi, J.H.; Yun, C.B.; Jung, H.Y. Neural networks-based damage detection for bridges considering errors in baseline finite element models. J. Sound Vib. 2005, 280, 555–578. [Google Scholar] [CrossRef]
- Lee, J.J.; Yun, C.B. Damage diagnosis of steel girder bridges using ambient vibration data. Eng. Struct. 2006, 28, 912–925. [Google Scholar] [CrossRef]
- Bakhary, N.; Hong, H.; Deeks, A.J. Structure damage detection using neural network with multi-stage substructuring. Adv. Struct. Eng. 2010, 13, 95–110. [Google Scholar] [CrossRef]
- Nick, H.; Aziminejad, A.; Hosseini, M.H.; Laknejadi, K. Damage identification in steel girder bridges using modal strain energy-based damage index method and artificial neural network. Eng. Fail. Anal. 2021, 119, 105010. [Google Scholar] [CrossRef]
- Tan, Z.X.; Thambiratnam, D.P.; Chan, T.H.T.; Razak, H.A. Detecting damage in steel beams using modal strain energy based damage index and Artificial Neural Network. Eng. Fail. Anal. 2017, 79, 253–262. [Google Scholar] [CrossRef] [Green Version]
- Ni, Y.Q.; Wang, B.S.; Ko, J.M. Constructing input vectors to neural networks for structural damage identification. Smart Mater. Struct. 2002, 11, 825–833. [Google Scholar] [CrossRef]
- Modi, S.; Lin, Y.; Cheng, L.; Yang, G.; Liu, L.; Zhang, W.J. A socially inspired framework for human state inference using expert opinion integration. IEEE/ASME Trans. Mechatron. 2011, 16, 874–878. [Google Scholar] [CrossRef]
- Wu, X.; Ghaboussi, J.; Garrett, J.H. Use of neural networks in detection of structural damage. Comput. Struct. 1992, 42, 649–659. [Google Scholar] [CrossRef]
- Qian, Y.Y.; Mita, A. Acceleration-based damage indicators for building structures using neural network emulators. Struct. Control Health Mont. 2008, 15, 901–920. [Google Scholar] [CrossRef]
- Puruncajas, B.; Vidal, Y.; Tutiven, C. Vibration-response-only structural health monitoring for offshore wind turbine jacket foundations via convolutional neural networks. Sensors 2020, 20, 3429. [Google Scholar] [CrossRef]
- Park, J.H.; Kim, J.T.; Hong, D.S.; Ho, D.D.; Yi, J.H. Sequential damage detection approaches for beams using time-modal features and artificial neural networks. J. Sound Vib. 2009, 323, 451–474. [Google Scholar] [CrossRef]
- Khodabandehlou, H.; Pekcan, G.; Fadali, M.S. Vibration-based structural condition assessment using convolution neural networks. Struct. Control Health Mont. 2019, 26, e2308.1–e2308.12. [Google Scholar] [CrossRef]
- Yu, Y.; Wang, C.; Gu, X.; Li, J. A novel deep learning-based method for damage identification of smart building structures. Struct. Control Health Mont. 2018, 18, 143–163. [Google Scholar] [CrossRef] [Green Version]
- Li, Z.X.; Yang, X.M. Damage identification for beams using ANN based on statistical property of structural responses. Comput. Struct. 2008, 86, 64–71. [Google Scholar] [CrossRef]
- Yang, X.M.; Chen, X.M. Test verification of damage identification method based on statistical properties of structural dynamic displacement. J. Civ. Struct. Health 2019, 9, 263–269. [Google Scholar] [CrossRef]
- Karsoliya, S. Approximating number of hidden layer neurons in multiple hidden layer BPNN architecture. Int. J. Eng. Trends Technol. 2012, 3, 714–717. [Google Scholar]
- Krauss, G.; Kindangen, J.I.; Depecker, P. Using artificial neural networks to predict interior velocity coefficients. Build. Environ. 1997, 32, 295–303. [Google Scholar] [CrossRef]
- Momeni, E.; Armaghani, D.J.; Hajihassani, M.; Amin, E.F.M. Prediction of uniaxial compressive strength of rock samples using hybrid particle swarm optimization-based artificial neural networks. Measurement 2015, 60, 50–63. [Google Scholar] [CrossRef]
- Kingma, D.P.; Ba, J.L. Adam: A Method for stochastic optimization. arXiv 2014, arXiv:1412.6980. [Google Scholar]
- Hansen, L.K.; Salamon, P. Neural network ensembles. IEEE T. Pattern Anal. 2002, 12, 993–1001. [Google Scholar] [CrossRef] [Green Version]
- Talatahari, S.; Mohajer, N. Enriched imperialist competitive algorithm for system identification of magnetorheological dampers. Mech. Syst. Signal Pr. 2015, 62–63, 506–516. [Google Scholar] [CrossRef]
- Alotta, G.; Paola, M.D.; Pirrotta, A. Fractional Tajimi–Kanai model for simulating earthquake ground motion. B. Earthq. Eng. 2014, 12, 2495–2506. [Google Scholar] [CrossRef]
- Zhang, W.J.; Lin, Y. On the principle of design of resilient systems -application to enterprise information systems. Enterp. Inf. Syst. 2010, 4, 99–110. [Google Scholar] [CrossRef]
- Zhang, W.J.; Yang, G.; Lin, Y.; Ji, C.; Gupta, M.M. On definition of deep learning. In Proceedings of the IEEE 2018 World Automation Congress, Stevenson, WA, USA, 3–6 June 2018; pp. 232–236. [Google Scholar]
















| Case No. | Anomaly Location (Story No.) | Anomaly Severity (%) | Case No. | Anomaly Location (Story No.) | Anomaly Severity (%) |
|---|---|---|---|---|---|
| 1 | No | 0 | 14 | 5 | 25 |
| 2 | 1 | 5 | 15 | 1, 2 | 10, 25 |
| 3 | 1 | 15 | 16 | 2, 3 | 15, 40 |
| 4 | 1 | 20 | 17 | 3, 5 | 20, 45 |
| 5 | 2 | 10 | 18 | 2, 5 | 25, 45 |
| 6 | 2 | 15 | 19 | 4, 5 | 25, 25 |
| 7 | 2 | 25 | 20 | 1, 2, 3 | 10, 15, 10 |
| 8 | 3 | 20 | 21 | 1, 3, 5 | 40, 10, 20 |
| 9 | 3 | 30 | 22 | 2, 4, 5 | 10, 20, 45 |
| 10 | 3 | 40 | 23 | 2, 3, 4 | 10, 20, 45 |
| 11 | 4 | 10 | 24 | 3, 4, 5 | 10, 10, 20 |
| 12 | 4 | 20 | 25 | 1, 2, 3, 4, 5 | 5, 20, 30, 10, 20 |
| 13 | 5 | 15 | 26 | 1, 2, 3, 4, 5 | 10, 5, 15, 5, 40 |
Publisher’s Note: MDPI stays neutral with regard to jurisdictional claims in published maps and institutional affiliations. |
© 2022 by the authors. Licensee MDPI, Basel, Switzerland. This article is an open access article distributed under the terms and conditions of the Creative Commons Attribution (CC BY) license (https://creativecommons.org/licenses/by/4.0/).
Share and Cite
Ruan, Z.-G.; Ying, Z.-G. Comparative Study of Structural Anomaly Diagnosis Based on ANN Model Using Random Displacement and Acceleration Responses with Incomplete Measurements. Sensors 2022, 22, 4128. https://doi.org/10.3390/s22114128
Ruan Z-G, Ying Z-G. Comparative Study of Structural Anomaly Diagnosis Based on ANN Model Using Random Displacement and Acceleration Responses with Incomplete Measurements. Sensors. 2022; 22(11):4128. https://doi.org/10.3390/s22114128
Chicago/Turabian StyleRuan, Zhi-Gang, and Zu-Guang Ying. 2022. "Comparative Study of Structural Anomaly Diagnosis Based on ANN Model Using Random Displacement and Acceleration Responses with Incomplete Measurements" Sensors 22, no. 11: 4128. https://doi.org/10.3390/s22114128
APA StyleRuan, Z.-G., & Ying, Z.-G. (2022). Comparative Study of Structural Anomaly Diagnosis Based on ANN Model Using Random Displacement and Acceleration Responses with Incomplete Measurements. Sensors, 22(11), 4128. https://doi.org/10.3390/s22114128

