Multi-End Physics-Informed Deep Learning for Seismic Response Estimation
Abstract
:1. Introduction
- We proposed a convolutional network with an autoencoder architecture and multi-ends. With this structure, the network could fuse the input data together and reconstruct various types of responses at all the DOFs.
- We showed that the performance of the network on small datasets could be improved by introducing a physical loss function.
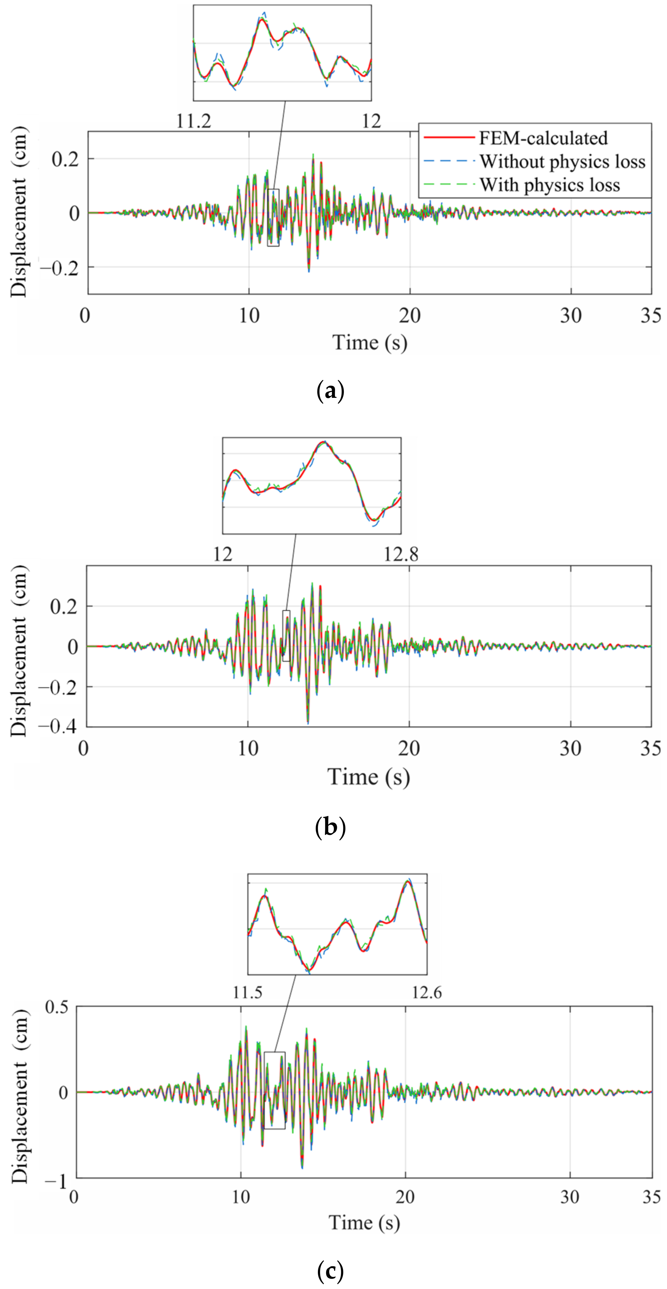
- The proposed network model had a strong fitting ability and stable accuracy in both linear and nonlinear numerical examples.
2. Methodology
2.1. Multi-End Convolutional Network
2.1.1. Convolution Layers
2.1.2. Skip Connection
2.1.3. Multi-End Neural Network Architecture
2.2. Physics-Informed Loss Function
2.3. Training Details
- (1)
- Training data preparation
- (2)
- Training process
| Algorithm 1: Adam optimizer [38] |
| Require: Global learning rate , decay rate |
| Require: Initial parameter W |
| Require: A small constant to avoid division by zero |
| Initialize accumulation variable r = 0 |
| while stopping criterion not met do |
| Sample a minibatch with m samples from the training set with corresponding targets |
| Compute gradient: |
| Accumulate squared gradient: r = (15) |
| ( represents the element-wise multiplying) |
| Parameter updating: (16) |
| (root square and division are all conducted element-wise) |
| end while |
3. Numerical Study on a Linear System
3.1. Training and Testing the PINN
3.2. Data Source
3.3. Robustness
- (1)
- FEM error
- (2)
- Measurement noise
4. Further Validation of the Network’s Ability
5. Conclusions
Author Contributions
Funding
Institutional Review Board Statement
Informed Consent Statement
Data Availability Statement
Conflicts of Interest
Abbreviations
| SHM | structural health monitoring |
| NN | neural network |
| DNN | deep neural network |
| FEM | finite element model |
| PDE | partial differential equation |
| PIDL | physics-informed deep learning |
| CNN | convolutional neural network |
| RNN | recurrent neural network |
| LSTM | long short-term memory |
| PINN | physics-informed neural network |
| DOF | degrees of freedom |
| MSE | mean square error |
References
- Balageas, D.; Fritzen, C.-P.; Güemes, A. Structural Health Monitoring; ISTE: London, UK, 2006. [Google Scholar] [CrossRef] [Green Version]
- Annamdas, V.G.M.; Bhalla, S.; Soh, C.K. Applications of structural health monitoring technology in Asia. Struct. Health Monit. 2016, 16, 324–346. [Google Scholar] [CrossRef]
- Wang, X.; Li, L.; Beck, J.L.; Xia, Y. Sparse Bayesian factor analysis for structural damage detection under unknown environmental conditions. Mech. Syst. Signal Process. 2021, 154, 107563. [Google Scholar] [CrossRef]
- Hou, R.; Xia, Y. Review on the new development of vibration-based damage identification for civil engineering structures: 2010–2019. J. Sound Vib. 2020, 491, 115741. [Google Scholar] [CrossRef]
- Sakellariou, J.; Fassois, S. Stochastic output error vibration-based damage detection and assessment in structures under earthquake excitation. J. Sound Vib. 2006, 297, 1048–1067. [Google Scholar] [CrossRef]
- Lei, Y.; Li, Q.; Chen, F.; Chen, Z. Damage Identification of Frame Structures with Joint Damage under Earthquake Excitation. Adv. Struct. Eng. 2014, 17, 1075–1087. [Google Scholar] [CrossRef]
- Zhang, C.; Xu, Y. Structural damage identification via response reconstruction under unknown excitation. Struct. Control Health Monit. 2016, 24, e1953. [Google Scholar] [CrossRef]
- Li, Y.; Sun, L. Structural deformation reconstruction by the Penrose–Moore pseudo-inverse and singular value decomposition–estimated equivalent force. Struct. Health Monit. 2020. [Google Scholar] [CrossRef]
- Sun, L.; Li, Y.; Zhu, W.; Zhang, W. Structural response reconstruction in physical coordinate from deficient measurements. Eng. Struct. 2020, 212, 110484. [Google Scholar] [CrossRef]
- Hong, Y.H.; Kim, H.-K.; Lee, H.S. Reconstruction of dynamic displacement and velocity from measured accelerations using the variational statement of an inverse problem. J. Sound Vib. 2010, 329, 4980–5003. [Google Scholar] [CrossRef]
- Fan, G.; Li, J.; Hao, H. Lost data recovery for structural health monitoring based on convolutional neural networks. Struct. Control Health Monit. 2019, 26, e2433. [Google Scholar] [CrossRef]
- Oh, B.K.; Glisic, B.; Kim, Y.; Park, H.S. Convolutional neural network–based data recovery method for structural health monitoring. Struct. Health Monit. 2020, 19, 1821–1838. [Google Scholar] [CrossRef]
- Lei, X.; Sun, L.; Xia, Y. Lost data reconstruction for structural health monitoring using deep convolutional generative adversarial networks. Struct. Health Monit. 2020, 20, 2069–2687. [Google Scholar] [CrossRef]
- Kim, S.G.; Chae, Y.H.; Seong, P.H. Development of a generative-adversarial-network-based signal reconstruction method for nuclear power plants. Ann. Nucl. Energy 2020, 142, 107410. [Google Scholar] [CrossRef]
- Sun, L.; Gao, H.; Pan, S.; Wang, J.-X. Surrogate modeling for fluid flows based on physics-constrained deep learning without simulation data. Comput. Methods Appl. Mech. Eng. 2019, 361, 112732. [Google Scholar] [CrossRef] [Green Version]
- Jiao, Q.; Sun, Q.; Zhang, B.; Huang, W.; Ye, H.; Zhang, Z.; Zhang, X.; Qian, B. A Random Forest Algorithm for Retrieving Canopy Chlorophyll Content of Wheat and Soybean Trained with PROSAIL Simulations Using Adjusted Average Leaf Angle. Remote Sens. 2022, 14, 98. [Google Scholar] [CrossRef]
- Raissi, M. Deep hidden physics models: Deep learning of nonlinear partial differential equations. J. Mach. Learn. Res. 2018, 19, 932–955. [Google Scholar] [CrossRef]
- Raissi, M.; Perdikaris, P.; Karniadakis, G.E. Physics informed deep learning (part I): Data-driven solutions of nonlinear partial differential equations. arXiv 2017, arXiv:1711.10561. [Google Scholar]
- Zhu, Y.; Zabaras, N.; Koutsourelakis, P.-S.; Perdikaris, P. Physics-constrained deep learning for high-dimensional surrogate modeling and uncertainty quantification without labeled data. J. Comput. Phys. 2019, 394, 56–81. [Google Scholar] [CrossRef] [Green Version]
- Gao, H.; Sun, L.; Wang, J.-X. PhyGeoNet: Physics-informed geometry-adaptive convolutional neural networks for solving parameterized steady-state PDEs on irregular domain. J. Comput. Phys. 2020, 428, 110079. [Google Scholar] [CrossRef]
- Geneva, N.; Zabaras, N. Modeling the dynamics of PDE systems with physics-constrained deep auto-regressive networks. J. Comput. Phys. 2019, 403, 109056. [Google Scholar] [CrossRef] [Green Version]
- Liu, D.; Wang, Y. Multi-Fidelity Physics-Constrained Neural Network and Its Application in Materials Modeling. J. Mech. Des. 2019, 141, 121403. [Google Scholar] [CrossRef]
- Muralidhar, N.; Bu, J.; Cao, Z.; He, L.; Ramakrishnan, N.; Tafti, D.; Karpatne, A. Physics-Guided Deep Learning for Drag Force Prediction in Dense Fluid-Particulate Systems. Big Data 2020, 8, 431–449. [Google Scholar] [CrossRef] [PubMed]
- Jiang, C.; Vinuesa, R.; Chen, R.; Mi, J.; Laima, S.; Li, H. An interpretable framework of data-driven turbulence modeling using deep neural networks. Phys. Fluids 2021, 33, 055133. [Google Scholar] [CrossRef]
- Karimpouli, S.; Tahmasebi, P. Physics informed machine learning: Seismic wave equation. Geosci. Front. 2020, 11, 1993–2001. [Google Scholar] [CrossRef]
- Yucesan, Y.A.; Viana, F.A. Hybrid physics-informed neural networks for main bearing fatigue prognosis with visual grease inspection. Comput. Ind. 2021, 125, 103386. [Google Scholar] [CrossRef]
- Wang, L.; Zhou, Q.; Jin, S. Physics-guided Deep Learning for Power System State Estimation. J. Mod. Power Syst. Clean Energy 2020, 8, 607–615. [Google Scholar] [CrossRef]
- Lu, L.; Tan, Y.; Oetomo, D.; Mareels, I.; Zhao, E.; An, S. On Model-guided Neural Networks for System Identification. In Proceedings of the 2019 IEEE Symposium Series on Computational Intelligence (SSCI), Xiamen, China, 6–9 December 2019; pp. 610–616. [Google Scholar] [CrossRef]
- Yucesan, Y.A.; Viana, F.A.; Manin, L.; Mahfoud, J. Adjusting a torsional vibration damper model with physics-informed neural networks. Mech. Syst. Signal Process. 2021, 154, 107552. [Google Scholar] [CrossRef]
- Zhang, R.; Liu, Y.; Sun, H. Physics-guided convolutional neural network (PhyCNN) for data-driven seismic response modeling. Eng. Struct. 2020, 215, 110704. [Google Scholar] [CrossRef]
- Chen, Y.; Zhang, D. Physics-Constrained Deep Learning of Geomechanical Logs. IEEE Trans. Geosci. Remote Sens. 2020, 58, 5932–5943. [Google Scholar] [CrossRef]
- Yuan, F.-G.; Zargar, S.A.; Chen, Q.; Wang, S. Machine learning for structural health monitoring: Challenges and opportunities. In Sensors and Smart Structures Technologies for Civil, Mechanical, and Aerospace Systems 2020; SPIE: Bellingham, WA, USA, 2020; Volume 11379, p. 1137903. [Google Scholar] [CrossRef]
- Tartakovsky, A.M.; Marrero, C.O.; Perdikaris, P.; Tartakovsky, G.D.; Barajas-Solano, D. Physics-Informed Deep Neural Networks for Learning Parameters and Constitutive Relationships in Subsurface Flow Problems. Water Resour. Res. 2020, 56, e2019WR026731. [Google Scholar] [CrossRef]
- Pan, S.; Duraisamy, K. Physics-Informed Probabilistic Learning of Linear Embeddings of Nonlinear Dynamics with Guaranteed Stability. SIAM J. Appl. Dyn. Syst. 2020, 19, 480–509. [Google Scholar] [CrossRef] [Green Version]
- Baur, C.; Albarqouni, S.; Navab, N. Semi-supervised Deep Learning for Fully Convolutional Networks. In Proceedings of the International Conference on Medical Image Computing and Computer-Assisted Intervention, Quebec, QC, Canada, 11–13 September 2017; Springer: Cham, Switzerland, 2017; pp. 311–319. [Google Scholar] [CrossRef] [Green Version]
- Verstraete, D.; Droguett, E.; Modarres, M. A Deep Adversarial Approach Based on Multi-Sensor Fusion for Semi-Supervised Remaining Useful Life Prognostics. Sensors 2019, 20, 176. [Google Scholar] [CrossRef] [Green Version]
- Wang, X.Y.; Li, L.F.; Tian, W.; Du, Y.; Hou, R.R.; Xia, Y. Unsupervised one-class classification for condition assessment of bridge cables using Bayesian factor analysis. Smart Struct. Syst. 2022, 29, 41–51. [Google Scholar] [CrossRef]
- Goodfellow, I.; Bengio, Y.; Courville, A.; Bengio, Y. Deep Learning; MIT Press: Cambridge, UK, 2016; Volume 1. [Google Scholar]
- Yang, J.N.; Pan, S.; Huang, H.-W. An adaptive extended Kalman filter for structural damage identifications II: Unknown inputs. Struct. Control Health Monit. 2006, 14, 497–521. [Google Scholar] [CrossRef]
- Li, Y.; Ni, P.; Sun, L.; Zhu, W. A convolutional neural network-based full-field response reconstruction framework with multitype inputs and outputs. Struct. Control Health Monit. 2022, e2961. [Google Scholar] [CrossRef]




















| No. | Title 2 | Hybrid Mode | Training Data | Neural Type |
|---|---|---|---|---|
| [17,18] | PDE | Loss function | Y | DNN |
| [19] | PDE | Loss function | N | CNN |
| [20] | PDE | Loss function | N | CNN |
| [21] | PDE | Loss function | N | CNN |
| [22] | PDE | Loss function | Y | DNN |
| [15] | Hydrodynamic | Loss function | N | DNN |
| [25] | Geology (seismic wave equation) | Loss function | Y | DNN |
| [28] | System identification | Loss function | Y | DNN |
| [33] | Subsurface flow | Loss function | Y | DNN |
| [30] | Seismic analysis | Loss function | Y | CNN |
| [34] | Koopman decompositions | Loss function | Y | RNN |
| [16] | Fatigue-corrosion analysis | Physics-based network design | Y | RNN |
| [26] | Fatigue of bearing | Physics-based network design | Y | RNN |
| [27] | Power system | Physics-based network design | Y | DNN |
| [29] | System control | Physics-based network design | Y | DNN |
| [31] | Geology | Physics-based network design | Y | LSTM |
| [32] | SHM | Loss and physics-based network design | Y | DNN |
| [23] | Hydrodynamic and discrete element | Loss function in both hidden and Output layers AND physics-based network design | Y | CNN |
| Number | Name | Frequency Range (Hz) | Record Length (s) |
|---|---|---|---|
| 1 | Chichi | 0.02–50.0 | 52.78 |
| 2 | Friuli | 0.1–30.0 | 36.32 |
| 3 | Northridge | 0.12–23.0 | 39.88 |
| 4 | Trinidad | 0.15–30.0 | 21.4 |
| 5 | Imperial Valley | 0.1–40.0 | 39.48 |
| 6 | Kobe | 0.1–unknown | 40.9 |
| 7 | Kocaeli | 0.07–50.0 | 34.96 |
| 8 | Landers | 0.08–60.0 | 48.09 |
| Layer | Kernel Number | Kernel Size | Stride Size | Padding | Input Shape | Output Shape |
|---|---|---|---|---|---|---|
| Encoder | ||||||
| Conv1 | 128 | 32 | 12 | same | 34001 | 3200128 |
| Conv2 | 64 | 32 | 12 | same | 3200128 | 310064 |
| Conv3 | 32 | 32 | 12 | same | 310064 | 35032 |
| Conv4 | 16 | 32 | 12 | same | 35032 | 32516 |
| Decoder | ||||||
| Deconv1 | 32 | 32 | 12 | same | 32516 | 35032 |
| Deconv2 | 64 | 32 | 12 | same | 35032 | 310064 |
| Deconv3 | 128 | 32 | 12 | same | 310064 | 3200128 |
| Deconv4 | 1 | 32 | 12 | same | 3200128 | 34001 |
| Skip connection (Deconvolutional layers) | ||||||
| Skip1 | 128 | 32 | 12 | same | 3200128 | 3200128 |
| Skip2 | 64 | 32 | 12 | same | 310064 | 310064 |
| Skip3 | 32 | 32 | 12 | same | 35032 | 35032 |
Publisher’s Note: MDPI stays neutral with regard to jurisdictional claims in published maps and institutional affiliations. |
© 2022 by the authors. Licensee MDPI, Basel, Switzerland. This article is an open access article distributed under the terms and conditions of the Creative Commons Attribution (CC BY) license (https://creativecommons.org/licenses/by/4.0/).
Share and Cite
Ni, P.; Sun, L.; Yang, J.; Li, Y. Multi-End Physics-Informed Deep Learning for Seismic Response Estimation. Sensors 2022, 22, 3697. https://doi.org/10.3390/s22103697
Ni P, Sun L, Yang J, Li Y. Multi-End Physics-Informed Deep Learning for Seismic Response Estimation. Sensors. 2022; 22(10):3697. https://doi.org/10.3390/s22103697
Chicago/Turabian StyleNi, Peng, Limin Sun, Jipeng Yang, and Yixian Li. 2022. "Multi-End Physics-Informed Deep Learning for Seismic Response Estimation" Sensors 22, no. 10: 3697. https://doi.org/10.3390/s22103697
APA StyleNi, P., Sun, L., Yang, J., & Li, Y. (2022). Multi-End Physics-Informed Deep Learning for Seismic Response Estimation. Sensors, 22(10), 3697. https://doi.org/10.3390/s22103697
