Sensor Screening Methodology for Virtually Sensing Transmission Input Loads of a Wind Turbine Using Machine Learning Techniques and Drivetrain Simulations
Abstract
:1. Introduction
2. Data and Methodology
2.1. Data Description
2.2. Methodology Overview
2.2.1. Random Forests
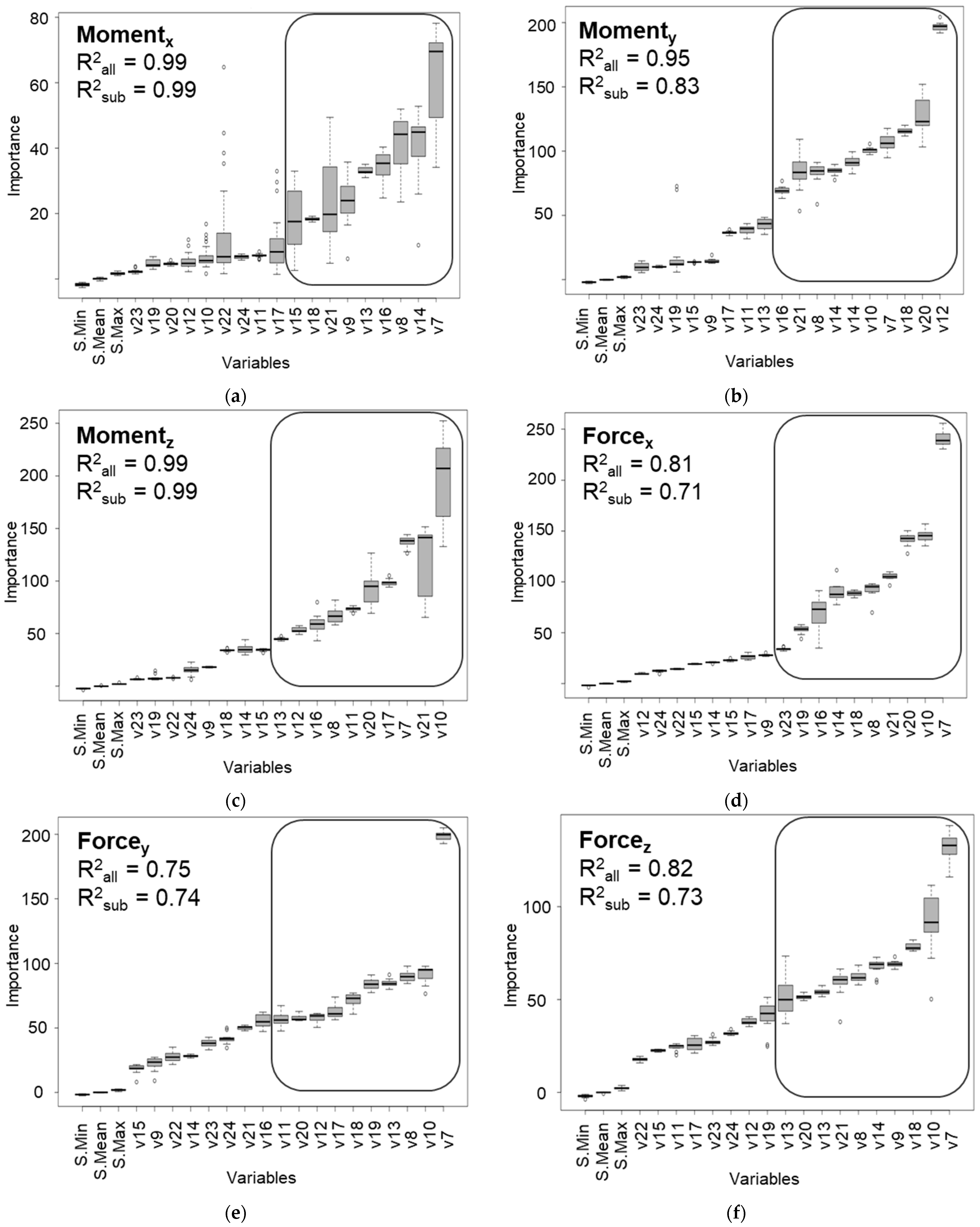
2.2.2. Identification of Influential Predictor Variables Using the Boruta Algorithm
2.3. Data Preprocessing
2.4. Error Estimation
2.5. Considerations and Challenges in Practical Implementation
3. Results
4. Discussion
5. Conclusions
- The results demonstrate the possibility of learning patterns between the predictor and target variables of the envisaged virtual sensor system using RF regression models and simulated WT operational data prior to real-world tests.
- The developed RF models demonstrated a higher accuracy in virtually sensing WT transmission input moments as compared to transmission input forces. The performance of the RF model developed for virtually sensing torque resulted in the highest R2 score. Performance may vary when using real measurement data to train and test the models due to the presence of noise and other deviations. However, the results obtained using simulated data provide insights into the challenges ahead in virtually sensing the 6-DOF transmission input loads, given the design of the drivetrain under investigation.
- The presented methodology is able to screen candidate sensors in the data-scarce design phase of sensor sets to be instrumented for subsequent real-world testing for virtually sensing 6-DOF transmission input loads.
Author Contributions
Funding
Data Availability Statement
Acknowledgments
Conflicts of Interest
References
- Fraunhofer IEE. Windenergie Report Deutschland 2018; Fraunhofer Verlag: Stuttgart, Germany, 2018. [Google Scholar]
- Wiser, R.; Millstein, D.; Bolinger, M.; Jeong, S.; Mills, A. The hidden value of large-rotor, tall-tower wind turbines in the United States. Wind Eng. 2020, 45, 857–871. [Google Scholar] [CrossRef]
- McKenna, R.; vd Leye, P.O.; Fichtner, W. Key challenges and prospects for large wind turbines. Renew. Sustain. Energy Rev. 2016, 53, 1212–1221. [Google Scholar] [CrossRef]
- Roscher, B.; Werkmeister, A.; Jacobs, G.; Schelenz, R. Modelling of Wind Turbine Loads nearby a Wind Farm. J. Phys. Conf. Ser. 2017, 854, 12038. [Google Scholar] [CrossRef] [Green Version]
- Cardaun, M.; Roscher, B.; Schelenz, R.; Jacobs, G. Analysis of Wind-Turbine Main Bearing Loads Due to Constant Yaw Misalignments over a 20 Years Timespan. Energies 2019, 12, 1768. [Google Scholar] [CrossRef] [Green Version]
- Kotzalas, M.; Doll, G. Tribological advancements for reliable wind turbine performance. Philos. Trans. Math. Phys. Eng. Sci. 2010, 368, 4829–4850. [Google Scholar] [CrossRef] [Green Version]
- Kim, K.; Parthasarathy, G.; Uluyol, O.; Foslien, W.; Sheng, S.; Fleming, P. Use of SCADA data for failure detection in wind turbines. In Proceedings of the ASME 2011 5th International Conference on Energy Sustainability, Washington, DC, USA, 7–10 August 2011. [Google Scholar]
- Perišić, N.; Kirkegaard, P.; Pedersen, B. Cost-Effective Shaft Torque Observer for Condition Monitoring of Wind Turbines. Wind Energy 2015, 18, 1–19. [Google Scholar] [CrossRef]
- Azzam, B.; Schelenz, R.; Roscher, B.; Baseer, A.; Jacobs, G. Development of a wind turbine gearbox virtual load sensor using multibody simulation and artificial neural networks. Forsch. Ing. 2021, 85, 241–250. [Google Scholar] [CrossRef]
- Heaton, J.; Polson, N.; Witte, J. Deep learning for finance: Deep portfolios. Appl. Stoch. Models Bus. Ind. 2017, 33, 3–12. [Google Scholar] [CrossRef]
- Banerji, M.; Lahav, O.; Lintott, C.; Abdalla, F.; Schawinski, K.; Bamford, S.; Andreescu, D.; Murray, P.; Raddick, M.; Slosar, A.; et al. Galaxy zoo: Reproducing galaxy morphologies via machine learning. Mon. Not. R. Astron. Soc. 2010, 406, 342–353. [Google Scholar] [CrossRef] [Green Version]
- LeCun, Y.; Bottou, L.; Bengio, Y.; Haffner, P. Gradient-based learning applied to document recognition. Proc. IEEE 1998, 86, 2278–2324. [Google Scholar] [CrossRef] [Green Version]
- Deng, L.; Li, J.; Huang, J.; Yao, K.; Yu, D.; Seide, F.; Seltzer, M.; Zweig, G.; He, X.; Williams, J.; et al. Recent advances in deep learning for speech research at Microsoft. In Proceedings of the 2013 IEEE International Conference on Acoustics, Speech and Signal Processing (ICASSP), Vancouver, BC, Canada, 26–31 May 2013. [Google Scholar]
- Dahl, G.; Yu, D.; Deng, L.; Acero, A. Large vocabulary continuous speech recognition with context-dependent DBN-HMMS. In Proceedings of the 2011 IEEE International Conference on Acoustics, Speech and Signal Processing (ICASSP), Prague, Czech Republic, 22–27 May 2011. [Google Scholar]
- Andulkar, M.; Hodapp, J.; Reichling, T.; Reichenbach, M.; Berger, U. Training CNNs from Synthetic Data for Part Handling in Industrial Environments. In Proceedings of the IEEE 14th International Conference on Automation Science and Engineering (CASE), Munich, Germany, 20–24 August 2018. [Google Scholar]
- Fang, K.; Bai, Y.; Hinterstoisser, S.; Savarese, S.; Kalakrishnan, M. Multi-Task Domain Adaptation for Deep Learning of Instance Grasping from Simulation. In Proceedings of the IEEE International Conference on Robotics and Automation (ICRA), Brisbane, Australia, 21–26 May 2018. [Google Scholar]
- Bousmalis, K.; Irpan, A.; Wohlhart, P.; Bai, Y.; Kelcey, M.; Kalakrishnan, M.; Downs, L.; Ibarz, J.; Pastor, P.; Konolige, K.; et al. Using Simulation and Domain Adaptation to Improve Efficiency of Deep Robotic Grasping. In Proceedings of the IEEE International Conference on Robotics and Automation (ICRA), Brisbane, Australia, 21–25 May 2018. [Google Scholar]
- Thomas, G.; Chien, M.; Tamar, A.; Ojea, J.; Abbeel, P. Learning Robotic Assembly from CAD. In Proceedings of the 2018 IEEE International Conference on Robotics and Automation (ICRA), Brisbane, Australia, 21–25 May 2018. [Google Scholar]
- Chesney, B.; Citron, D. Deep fakes: A looming challenge for privacy, democracy, and national security. Calif. Law Rev. 2019, 107, 1753. [Google Scholar] [CrossRef] [Green Version]
- Kano, M.; Fujiwara, K. Virtual sensing technology in process industries: Trends and challenges revealed by recent industrial applications. J. Chem. Eng. Jpn. 2013, 46, 1–17. [Google Scholar] [CrossRef] [Green Version]
- Berroth, J. Einfluss der Stelldynamik der Rotorblätter auf die Lasten der Blattverstellsysteme von Windenergieanlagen [Impact of Rotor Blades Pitch Dynamics on the Loads of Pitch Systems of Wind Turbines]; Verlagsgruppe Mainz GmbH: Aachen, Germany, 2017. [Google Scholar]
- Craig, R.; Bampton, M. Coupling of Substructures for Dynamic Analysis. AIAA J. 1968, 6, 1313–1319. [Google Scholar] [CrossRef] [Green Version]
- Jonkman, B. Turbsim User’s Guide: Version 1.50; Technical Report No. NREL/EL-500-38230; National Renewable Energy Laboratory: Golden, CO, USA, 2009.
- Bi, L.; Schelenz, R.; Jacobs, G. Dynamic simulation of full-scale nacelle test rig with focus on drivetrain response under emulated loads. In Proceedings of the Conference for Wind Power Drives, Aachen, Germany, 3–4 March 2015. [Google Scholar]
- Matzke, D.; Schelenz, R.; Reisch, S.; Roscher, B.; Jacobs, G.; Theling, J.; Schroers, M.; Löpenhaus, C.; Brecher, C. Validation of the gearbox load calculation of a wind turbine MBS model. J. Phys. Conf. Ser. 2018, 1037, 62025. [Google Scholar] [CrossRef] [Green Version]
- Matzke, D.; Jacobs, G.; Schelenz, R. Validation of MBS modeling methods to calculate bearing and tooth loads in the planetary gear stage of a wind turbine. In Proceedings of the Conference for Wind Power Drives (CWD), Aachen, Germany, 12–13 March 2019. [Google Scholar]
- Ren, Y.; Zhang, L.; Suganthan, P. Ensemble Classification and Regression-Recent Developments, Applications and Future Directions. IEEE Comput. Intell. Mag. 2016, 11, 41–53. [Google Scholar] [CrossRef]
- Kuncheva, L.; Whitaker, C. Measures of diversity in classifier ensembles and their relationship with the ensemble accuracy. Mach. Learn. 2003, 51, 181–207. [Google Scholar] [CrossRef]
- Polikar, R. Ensemble based systems in decision making. IEEE Circuits Syst. Mag. 2006, 6, 21–45. [Google Scholar] [CrossRef]
- Mendes-Moreira, J.; Soares, C.; Jorge, A.; de Sousa, J. Ensemble approaches for regression: A survey. ACM Comput. Surv. 2012, 45, 1–40. [Google Scholar] [CrossRef]
- Dietterich, T. Ensemble methods in machine learning. In Proceedings of the Multiple Classifier Systems (MCS), Cagliari, Italy, 21–23 June 2000. [Google Scholar]
- Kleinberg, E. Stochastic discrimination. Ann. Math. Artif. Intell. 1990, 1, 207–239. [Google Scholar] [CrossRef]
- Breiman, L. Random Forests. Mach. Learn. 2001, 45, 5–32. [Google Scholar] [CrossRef] [Green Version]
- Bartlett, P.; Freund, Y.; Lee, W.; Schapire, R. Boosting the margin: A new explanation for the effectiveness of voting methods. Ann. Stat. 1998, 26, 1651–1686. [Google Scholar] [CrossRef]
- Pisetta, V. New Insights into Decision Tree Ensembles. Ph.D. Dissertation, Université Lumière Lyon 2, Lyon, France, 2012. [Google Scholar]
- Fawagreh, K.; Gaber, M.; Elyan, E. Random Forests: From Early Developments to Recent Advancements. Syst. Sci. Control Eng. 2014, 2, 602–609. [Google Scholar] [CrossRef] [Green Version]
- Dietterich, T. An experimental comparison of three methods for constructing ensembles of decision trees: Bagging, boosting, and randomization. Mach. Learn. 2000, 40, 139–157. [Google Scholar] [CrossRef]
- Hawkins, D. The Problem of Overfitting. J. Chem. Inf. Comput. Sci. 2004, 44, 1–12. [Google Scholar] [CrossRef] [PubMed]
- Breiman, L. Bagging predictors. Mach. Learn. 1996, 24, 123–140. [Google Scholar] [CrossRef] [Green Version]
- Ho, T.K. Random decision forests. In Proceedings of the Third International Conference on Document Analysis and Recognition, Montreal, QC, Canada, 14–16 August 1995. [Google Scholar]
- Ho, T.K. The random subspace method for constructing decision forests. IEEE Trans. Pattern Anal. Mach. Intell. 1998, 20, 832–844. [Google Scholar]
- Amit, Y.; Geman, D. Shape quantization and recognition with randomized trees. Neural Comput. 1997, 9, 1545–1588. [Google Scholar] [CrossRef] [Green Version]
- Breiman, L.; Friedman, J.; Olshen, R.; Stone, C. Classification and Regression Trees; Routledge: New York, NY, USA, 1984. [Google Scholar]
- Loh, W.-Y. Fifty years of classification and regression trees. Int. Stat. Rev. 2014, 82, 329–348. [Google Scholar] [CrossRef] [Green Version]
- Iannace, G.; Ciaburro, G.; Trematerra, A. Wind Turbine Noise Prediction Using Random Forest Regression. Machines 2019, 7, 69. [Google Scholar] [CrossRef] [Green Version]
- Fezai, R.; Dhibi, K.; Mansouri, M.; Trabelsi, M.; Hajji, M.; Bouzrara, K.; Nounou, H.; Nounou, M. Effective Random Forest-Based Fault Detection and Diagnosis for Wind Energy Conversion Systems. IEEE Sens. J. 2021, 21, 6914–6921. [Google Scholar] [CrossRef]
- Lang, L.; Tiancai, L.; Shan, A.; Xiangyan, T. An improved random forest algorithm and its application to wind pressure prediction. Int. J. Intell. Syst. 2021, 36, 4016–4032. [Google Scholar] [CrossRef]
- Zhang, L.; Liu, K.; Wang, Y.; Omariba, Z. Ice Detection Model of Wind Turbine Blades Based on Random Forest Classifier. Energies 2018, 11, 2548. [Google Scholar] [CrossRef] [Green Version]
- Ren, Y.; Suganthan, P.; Srikanth, N. Ensemble methods for wind and solar power forecasting—A state-of-the-art review. Renew. Sustain. Energy Rev. 2015, 50, 82–91. [Google Scholar] [CrossRef]
- IEC 61400-1; Wind Turbines—Part 1: Design Requirements. International Electrotechnical Commission: Geneva, Switzerland, 2019.
- Kursa, M.B.; Rudnicki, W.R. Feature Selection with the Boruta Package. J. Stat. Softw. 2010, 1, 1–13. [Google Scholar]
- Probst, P.; Wright, M.; Boulesteix, A.-L. Hyperparameters and Tuning Strategies for Random Forest. WIREs Data Min. Knowl. Discov. 2019, 9, e1301. [Google Scholar] [CrossRef] [Green Version]
- Probst, P.; Boulesteix, A.-L. To tune or not to tune the number of trees in random forest? J. Mach. Learn. Res. 2018, 18, 1–18. [Google Scholar]
- Azzam, B.; Harzendorf, F.; Schelenz, R.; Holweger, W.; Jacobs, G. Pattern Discovery in White Etching Crack Experimental Data using Machine Learning Techniques. Appl. Sci. 2019, 9, 5502. [Google Scholar] [CrossRef] [Green Version]
- Strobl, C.; Boulesteix, A.L.; Zeileis, A.; Hothorn, T. Bias in random forest variable importance measures: Illustrations, sources and a solution. BMC Bioinform. 2007, 8, 25. [Google Scholar] [CrossRef] [Green Version]
- Nagelkerke, N. A note on a general definition of the coefficient of determination. Biometrika 1991, 78, 691–692. [Google Scholar] [CrossRef]
- Sammut, C.; Webb, G. Encyclopedia of Machine Learning; Springer: Boston, MA, USA, 2010. [Google Scholar]
- Sargent, R. Verification and validation of simulation models. In Proceedings of the 2010 Winter Simulation Conference, Baltimore, MD, USA, 5–8 December 2010. [Google Scholar]
- Babuska, I.; Oden, T. Verification and validation in computational engineering and science: Basic concepts. Comput. Methods Appl. Mech. Eng. 2004, 193, 4057–4066. [Google Scholar] [CrossRef]
- Law, A. Simulation Modeling and Analysis; McGraw-Hill: New York, NY, USA, 2007. [Google Scholar]
- Logan, R.; Nitta, C. Verification & Validation: Process and Levels Leading to Qualitative or Quantitative Validation Statements. SAE Trans. 2004, 113, 804–816. [Google Scholar]
- Kutluay, K.; Winner, H. Validation of vehicle dynamics simulation models—A review. Veh. Syst. Dyn. 2014, 52, 186–200. [Google Scholar] [CrossRef]
- Misra, P.; Yadav, A. Impact of Preprocessing Methods on Healthcare Predictions. In Proceedings of the 2nd International Conference on Advanced Computing and Software Engineering (ICACSE), Sultanpur, India, 8–9 February 2019. [Google Scholar]
- Ahsan, M.M.; Mahmud, M.A.; Saha, P.K.; Gupta, K.D.; Siddique, Z. Effect of Data Scaling Methods on Machine Learning Algorithms and Model Performance. Technologies 2021, 9, 52. [Google Scholar] [CrossRef]
- Elkan, C. Log-linear models and conditional random fields. Tutor. Notes CIKM 2008, 8, 1–12. [Google Scholar]
- Krick, J.E.; Fraine, J.; Ingalls, J.; Deger, S. Random Forests Applied to High-precision Photometry Analysis with Spitzer IRAC. Astron. J. 2020, 160, 99–112. [Google Scholar]
- Cao, X.H.; Stojkovic, I.; Obradovic, Z. A robust data scaling algorithm to improve classification accuracies in biomedical data. BMC Bioinform. 2016, 17, 359. [Google Scholar] [CrossRef] [Green Version]
- Jain, A.; Nandakumar, K.; Ross, A. Score normalization in multimodal biometric systems. Pattern Recognit. 2005, 38, 2270–2285. [Google Scholar] [CrossRef]
- Thudumu, S.; Branch, P.; Jin, J.; Singh, J.J. A comprehensive survey of anomaly detection techniques for high dimensional big data. J. Big Data 2020, 7, 42. [Google Scholar] [CrossRef]








| ID | Subject(s) | Measurement | Axis of Measurement | Predictor/Target |
|---|---|---|---|---|
| v1 | GB input load | Moment | x | T |
| v2 | y | |||
| v3 | z | |||
| v4 | GB input load | Force | x | T |
| v5 | y | |||
| v6 | z | |||
| v7 | GB torque arm (right) | Displacement | x | P |
| v8 | y | |||
| v9 | z | |||
| v10 | GB torque arm (right) | Angular misalignment | x | P |
| v11 | y | |||
| v12 | z | |||
| v13 | GB torque arm (left) | Displacement | x | P |
| v14 | y | |||
| v15 | z | |||
| v16 | GB torque arm (left) | Angular misalignment | x | P |
| v17 | y | |||
| v18 | z | |||
| v19 | Generator mount (left) | Displacement | z | P |
| v20 | Generator mount (right) | |||
| v21 | Wind | Direction | Nacelle axis of rotation | P |
| v22 | speed | x | ||
| v23 | Generator | Rotational speed | x | P |
| v24 | Blade 1 | Pitch angle | Blade axis of rotation | P |
| Simulated Load Statistics at Rated Wind Speed (Units: N, Nm) | ||
|---|---|---|
| Min. | Max. | Avg. |
| −7898 | 1050 | −3222 |
| −17,972 | 15,556 | −81 |
| −53,850 | −26,380 | −41,074 |
| −380,056 | −41,669 | −257,847 |
| 22,881 | 32,429 | 27,368 |
| 4555 | 45,827 | 30,124 |
Publisher’s Note: MDPI stays neutral with regard to jurisdictional claims in published maps and institutional affiliations. |
© 2022 by the authors. Licensee MDPI, Basel, Switzerland. This article is an open access article distributed under the terms and conditions of the Creative Commons Attribution (CC BY) license (https://creativecommons.org/licenses/by/4.0/).
Share and Cite
Azzam, B.; Schelenz, R.; Jacobs, G. Sensor Screening Methodology for Virtually Sensing Transmission Input Loads of a Wind Turbine Using Machine Learning Techniques and Drivetrain Simulations. Sensors 2022, 22, 3659. https://doi.org/10.3390/s22103659
Azzam B, Schelenz R, Jacobs G. Sensor Screening Methodology for Virtually Sensing Transmission Input Loads of a Wind Turbine Using Machine Learning Techniques and Drivetrain Simulations. Sensors. 2022; 22(10):3659. https://doi.org/10.3390/s22103659
Chicago/Turabian StyleAzzam, Baher, Ralf Schelenz, and Georg Jacobs. 2022. "Sensor Screening Methodology for Virtually Sensing Transmission Input Loads of a Wind Turbine Using Machine Learning Techniques and Drivetrain Simulations" Sensors 22, no. 10: 3659. https://doi.org/10.3390/s22103659
APA StyleAzzam, B., Schelenz, R., & Jacobs, G. (2022). Sensor Screening Methodology for Virtually Sensing Transmission Input Loads of a Wind Turbine Using Machine Learning Techniques and Drivetrain Simulations. Sensors, 22(10), 3659. https://doi.org/10.3390/s22103659

