Opto-Thermal Investigation of Additively Manufactured Steel Samples as a Function of the Hatch Distance
Abstract
:1. Introduction
2. Materials and Methods
3. Results
3.1. Presenting Data
3.1.1. Overall
3.1.2. Relative Density
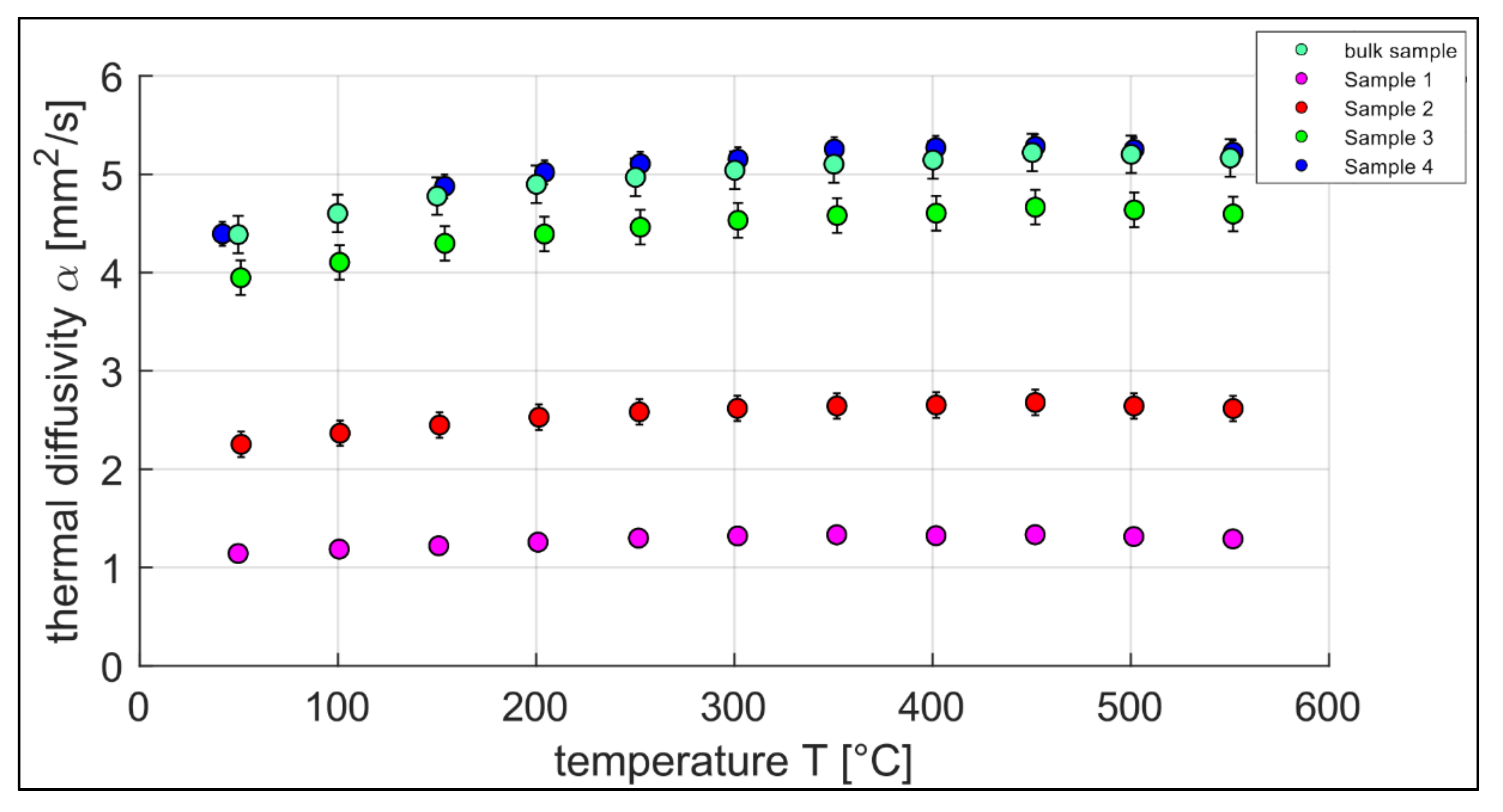
3.1.3. Thermal Diffusivity
3.1.4. Process Emission
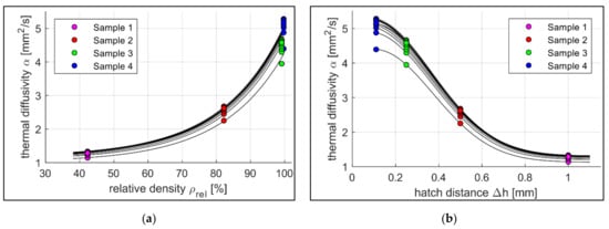
3.2. Visualisation and Fitting Models
3.3. Interpretation
3.3.1. Statistics
3.3.2. Effect Interpretation
4. Discussion
5. Conclusions
- Relative density and thermal diffusivity decrease with increasing hatch distance.
- Thermal diffusivity increases with increasing relative density.
- The correlations of the detected process emissions with respect to the hatch distance as well as description approaches of superimposed interaction effects of the heat transfer and component properties are presented. The normalised mean grey values follow a bathtub curve-like course, which is created by overlapping effects.
Author Contributions
Funding
Data Availability Statement
Conflicts of Interest
Nomenclature
| Symbol | Property | Units |
| α | Thermal diffusivity | |
| Δh | Hatch distance | mm |
| d | Sample thickness | mm |
| t0,5 | Time to half maximum | s |
| tSample,n | Laser working time | s |
| ΔT | Temperature difference | K |
| cp | Specific heat capacity | |
| ρ | Specific density | |
| ρrel | Relative density | % |
| r | Residuum | - |
| R2 | Coefficient of determination | % |
References
- Shamsaei, N.; Yadollahi, A.; Bian, L.; Thompson, S.M. An overview of Direct Laser Deposition for additive manufacturing; Part II: Mechanical behavior, process parameter optimization and control. Addit. Manuf. 2015, 8, 12–35. [Google Scholar] [CrossRef]
- Kempen, K.; Yasa, E.; Thijs, L.; Kruth, J.P.; Van Humbeeck, J. Microstructure and mechanical properties of Selective Laser Melted 18Ni-300 steel. Phys. Procedia 2011, 12, 255–263. [Google Scholar] [CrossRef] [Green Version]
- Koch, C. 3. Normung für neue Technologien am Beispiel Additiver Fertigung. In Normen und Standards für die Digitale Transformation; Mangelsdorf, A., Weiler, P., Eds.; De Gruyter Oldenbourg: Berlin, Germany; Boston, MA, USA, 2019; pp. 18–36. [Google Scholar]
- Li, Z.; Liu, X.; Wen, S.; He, P.; Zhong, K.; Wei, Q.; Shi, Y.; Liu, S. In situ 3D monitoring of geometric signatures in the powder-bed-fusion additive manufacturing process via vision sensing methods. Sensors 2018, 18, 1180. [Google Scholar] [CrossRef] [PubMed] [Green Version]
- Krauss, H. Qualitätssicherung beim Laserstrahlschmelzen Durch Schichtweise Thermografische In-Process-Überwachung; Herbert Utz Verlag: München, Germany, 2017; Volume 325. [Google Scholar]
- Zhou, Y.H.; Li, W.P.; Zhang, L.; Zhou, S.Y.; Jia, X.; Wang, D.W.; Yan, M. Selective laser melting of Ti–22Al–25Nb intermetallic: Significant effects of hatch distance on microstructural features and mechanical properties. J. Mater. Process. Technol. 2020, 276, 116398. [Google Scholar] [CrossRef]
- Ali, H.; Ma, L.; Ghadbeigi, H.; Mumtaz, K. In-situ residual stress reduction, martensitic decomposition and mechanical properties enhancement through high temperature powder bed pre-heating of Selective Laser Melted Ti6Al4V. Mater. Sci. Eng. A 2017, 695, 211–220. [Google Scholar] [CrossRef]
- Eucken, A. Allgemeine gesetzmäßigkeiten für das wärmeleitvermögen verschiedener stoffarten und aggregatzustände. Forsch. Gebiet. Ing. A 1940, 11, 6–20. [Google Scholar] [CrossRef]
- Velinov, T.S.; Bransalov, K.; Mihovski, M. A thermal diffusivity study of the solid phase of porous samples. Meas. Sci. Technol. 1993, 4, 1266. [Google Scholar] [CrossRef]
- Bocchini, G.F.; Bovesecchi, G.; Coppa, P.; Corasaniti, S.; Montanari, R.; Varone, A. Thermal diffusivity of sintered steels with flash method at ambient temperature. Int. J. Thermophys. 2017, 37, 38. [Google Scholar] [CrossRef]
- Bamberg, J.; Zenzinger, G.; Ladewig, A. In-process control of selective laser melting by quantitative optical tomography. In Proceedings of the 19th World Conference on Non-Destructive Testing, Munich, Germany, 13–17 June 2016. [Google Scholar]
- Volpp, J.; Hohenäcker, V.; Tyralla, D.; Freisse, H.; Brocke, N.; Silze, F.; Schnick, M.; Thomy, C. Observing melt pool temperature fields for process characterization. Lasers Manuf. (LIM17) 2017, 1–10. Available online: https://scholar.google.de/scholarcluster=17567912971287418535&hl=de&as_sdt=0,5 (accessed on 16 December 2021).
- EOS GmbH. Materialdatenblatt EOS MaragingSteel MS1; EOS GmbH: Krailling, Germany, 2011. [Google Scholar]
- Fuchs, L.; Eischer, C. In-Process Monitoring Systems for Metal Additive Manufacturing; EOS Optical Systems: Krailling, Germany, 2018; Available online: https://scholar.google.de/scholar?hl=de&as_sdt=0%2C5&q=&+In-process+monitoring+systems+for+metal+additive+manufacturing&+White+paper+&btnG= (accessed on 16 December 2021).
- Hartmann, J.; Manara, J.; Zipf, M.; Stark, T.; Knopp, K.; Zänglein, M.; Lenski, P.; Schreiber, E.; Schmidt, F.; Brunner, M.; et al. Thermophysical property measurements at high-temperatures for power engineering and additive manufacturing processes. In Proceedings of the 14th Quantitative InfraRed Thermography Conference, Berlin, Germany, 25–29 June 2018. [Google Scholar]
- Parker, W.J.; Jenkins, R.J.; Butler, C.P.; Abbott, G.L. Flash method of determining thermal diffusivity, heat capacity, and thermal conductivity. J. Appl. Phys. 1961, 32, 1679–1684. [Google Scholar] [CrossRef]
- Wilzer, J.; Weber, S.; Escher, C.; Theisen, W. On the relationship of heat treatment, microstructure, mechanical properties, and thermal conductivity of tool steels. TOOL 2012, 143–152. Available online: https://scholar.google.de/scholar?hl=de&as_sdt=0%2C5&q=On+the+relationship+of+heat+treatment%2C+microstructure%2C+mechanical+properties%2C+and+thermal+conductivity+of+tool+steels&btnG= (accessed on 16 December 2021).
- Jarfors, A.E.; Matsushita, T.; Siafakas, D.; Stolt, R. On the nature of the anisotropy of Maraging steel (1.2709) in additive manufacturing through powder bed laser-based fusion processing. Mater. Des. 2021, 204, 109608. [Google Scholar] [CrossRef]
- Beiss, P.; Kutsch, U.; Jager, H.J.; Schmitz, F.; Maier, H. Thermal Conductivity of Sintered Stainless Steel 316 L. In Proceedings of the PM 98: 1998 Powder Metallurgy World Congress & Exhibition, Granada, Spain, 18–22 October 1998; European Powder Metallurgy Association: Brussels, Belgium, 1998; pp. 425–434. [Google Scholar]
- Huang, J.; Li, M.; Wang, J.; Pei, Z.; Mclntyre, P.; Ma, C. Selective laser melting of tungsten: Effects of hatch distance and point distance on pore formation. J. Manuf. Process. 2021, 61, 296–302. [Google Scholar] [CrossRef]











| Sample Designation | Hatch Distance Δh [mm] | Volumetric Energy Density [J/mm3] |
|---|---|---|
| Sample 1 | 1 | 7.42 |
| Sample 2 | 0.5 | 14.84 |
| Sample 3 | 0.25 | 26.69 |
| Sample 4 | 0.11 | 67.47 |
| Alloying Element | Fe | Ni | Co | Mo | Ti | Al | Cr | C | Mn, Si | P, S |
|---|---|---|---|---|---|---|---|---|---|---|
| wt% | rest | 17–19 | 8.5–9.5 | 4.5–5.2 | 0.6–0.8 | 0.05–0.15 | ≤0.5 | ≤0.03 | ≤0.1 | ≤0.01 |
| Sample Designation | Hatch Distance Δh [mm] | Volumetric Energy Density [J/mm3] | Relative Density ρrel [%] | Mean Grey Value [—] | Thermal Diffusivity α at 300 °C [mm2/s] |
|---|---|---|---|---|---|
| Sample 1 | 1 | 7.42 | 42.3 | 1967 | 1.321 |
| Sample 2 | 0.5 | 14.84 | 82.2 | 3317 | 2.619 |
| Sample 3 | 0.25 | 26.69 | 99.1 | 8219 | 4.532 |
| Sample 4 | 0.11 | 67.47 | 99.7 | 26,134 | 5.256 |
| Conv. sample | - | - | 100 | - | 5.041 |
| Sample Designation | Relative Density ρrel [%] | Normalised Mean Grey Value | Thermal Diffusivity α [mm2/s] at 300 °C |
|---|---|---|---|
| Sample 1 | 42.3 | 1967 | 1.321 |
| Sample 2 | 82.2 | 1660 | 2.619 |
| Sample 3 | 99.1 | 2056 | 4.532 |
| Sample 4 | 99.7 | 2886 | 5.256 |
Publisher’s Note: MDPI stays neutral with regard to jurisdictional claims in published maps and institutional affiliations. |
© 2021 by the authors. Licensee MDPI, Basel, Switzerland. This article is an open access article distributed under the terms and conditions of the Creative Commons Attribution (CC BY) license (https://creativecommons.org/licenses/by/4.0/).
Share and Cite
Höfflin, D.; Rosilius, M.; Seitz, P.; Schiffler, A.; Hartmann, J. Opto-Thermal Investigation of Additively Manufactured Steel Samples as a Function of the Hatch Distance. Sensors 2022, 22, 46. https://doi.org/10.3390/s22010046
Höfflin D, Rosilius M, Seitz P, Schiffler A, Hartmann J. Opto-Thermal Investigation of Additively Manufactured Steel Samples as a Function of the Hatch Distance. Sensors. 2022; 22(1):46. https://doi.org/10.3390/s22010046
Chicago/Turabian StyleHöfflin, Dennis, Maximilian Rosilius, Philipp Seitz, Andreas Schiffler, and Jürgen Hartmann. 2022. "Opto-Thermal Investigation of Additively Manufactured Steel Samples as a Function of the Hatch Distance" Sensors 22, no. 1: 46. https://doi.org/10.3390/s22010046
APA StyleHöfflin, D., Rosilius, M., Seitz, P., Schiffler, A., & Hartmann, J. (2022). Opto-Thermal Investigation of Additively Manufactured Steel Samples as a Function of the Hatch Distance. Sensors, 22(1), 46. https://doi.org/10.3390/s22010046

