Clustering Users to Determine the Most Suitable Gamification Elements
Abstract
:1. Introduction
- Mechanics–Dynamics–Aesthetics (MDA) by [11] is a model composed of three elements: (1) game mechanics are the basic actions that players can undertake in a game, responses, algorithms, stored data, etc.; (2) game dynamics are the run-time behavior of the previously defined mechanics in response to the player input and to the interaction among other types of mechanics; lastly, (3) game aesthetics are the emotional responses produced in the player.
- Six D’s (Six Steps to Gamification) by [12] is a model based on six points: (1) define the objectives that you want to achieve; (2) delineate the target behaviors that you expect from the users; (3) describe your players’ profile (interest, what drives them); (4) devise activity loops (the process that the users have to follow); (5) do not forget the fun (think what makes your users return); and (6) deploy the appropriate tools (how the interaction will be measured, score systems, badge assignations, etc.).
- GAME by [13] is a framework with four components: (1) gather what information will be collected; (2) design the best solution for your goals and the experience of your users based on the information that you have; (3) monitor user activity and goals, iterate improvements; and (4) enrich your solution over time to match the changes in society. This methodology evolved into the RAMPS motivation model and, later, into the User Types Hexad Scale, which is used to identify the types of users.
- Octalysis by [14] is a framework that focuses on human design rather than functional design. This framework is depicted in an octagon shape determined by the core drivers of motivation. According to the author, the right side of the octagon reflects intrinsic motivation factors, and the left side reflects the extrinsic motivation.
- Gamification Model Canvas by [15]: this model is based on the Business Model Canvas and the MDA mentioned previously, and it is another relevant, flexible, and agile tool that enables representing in a single page all the necessary elements, tasks, and expected results of the gamified environment.
- What is the relationship between the genre of the game and the element of gamification?
- Different user groups (profiles) for each gamification element?
2. Materials and Methods
2.1. Data Collection and Processing
2.2. Determine the Key Questions
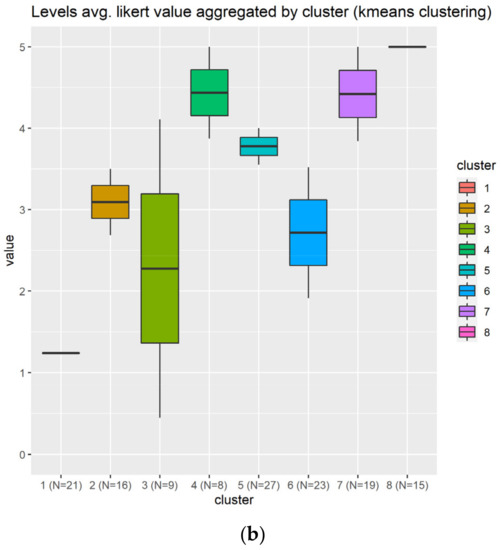
2.3. Determining the Groups of Users
- The first time, the K central points (centroids), indicated at the Figure 2 in black, are set in a random position.
- For each dot (individual) the Euclidian distance is calculated to each centroid of each cluster, determined in step 1, then the dot cluster (color) is set in concordance to the nearest centroid (smallest Euclidian distance).
- Recalculate the centroids based on the dots (individuals) that are clustered to each centroid. The calculation is performed by taking the average position between all the members of the current centroid-cluster
- Repeat from step 2.
2.4. Determining the Game Genre Related to Each Gamification Element
3. Results
3.1. Determine the Key Questions
3.2. Determining the Groups of Users
3.2.1. Teamwork
- Q6_enjoy_woking_with_others: Collaborating with two or more players to achieve a common goal (cooperation and teamwork, co-op missions)?
- Q22_helping_other: Helping other players
- Q28_part_casual_guild: Being part of a friendly, casual guild
- Q25_player_vs._player: Competing with other players
- Q23_getting_know_other: Getting to know other players
3.2.2. Social
- Q24_chatting: Chatting with other players
- Q23_getting_know_other: Getting to know other players
- Q32_meaningful_conversations: How often do you find yourself having conversations with other players?
- Q28_part_casual_guild: Being part of a friendly, casual guild
- Q22_helping_other: Helping other players
- Q33_talk_personal_issues: How often do you talk to your online friends about your personal issues?
- Q29_part_serious_guild: Being part of a serious, raid/loot-oriented guild
- Q25_player_vs._player: Competing with other players
- Q39_try_to_provoke_others: How often do you purposefully try to provoke or irritate other players?
3.2.3. Rules
- Q18_game_mechanics_rules: Knowing as much about the game mechanics and rules as possible
- Q1_precise_game_mechanics: How interested are you in the precise numbers and percentages underlying the game mechanics?
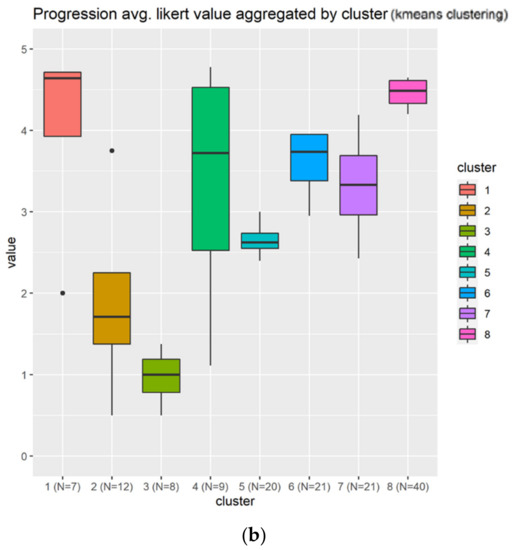
3.2.4. Progression
- Q16_becoming_powerful: Becoming powerful
- Q17_accumulate_resources: Accumulating resources and items
- Q14_leveling_character_fast: Leveling up your character as fast as possible
- Q19_self_sufficient_character: Having a self-sufficient character
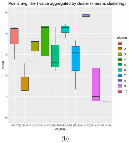
3.2.5. Points
- Q17_accumulate_resources: Accumulating resources and items
- Q16_becoming_powerful: Becoming powerful
- Q15_acquiring_rare_items: Acquiring rare items that most players will never have
3.2.6. Narrative
- Q21_escaping_real_world
- Q20_immersed_fantasy_world
3.2.7. Missions
- Q6_enjoy_woking_with_others: Collaborating with two or more players to achieve a common goal (cooperation and teamwork, co-op missions)?
- Q22_helping_other: Helping other players
- Q28_part_casual_guild: Being part of a friendly, casual guild
- Q25_player_vs._player: Competing with other players
- Q23_getting_know_other: Getting to know other players
3.2.8. Level
- Q14_leveling_character_fast: Leveling up your character as fast as possible
- Q16_becoming_powerful: Becoming powerful
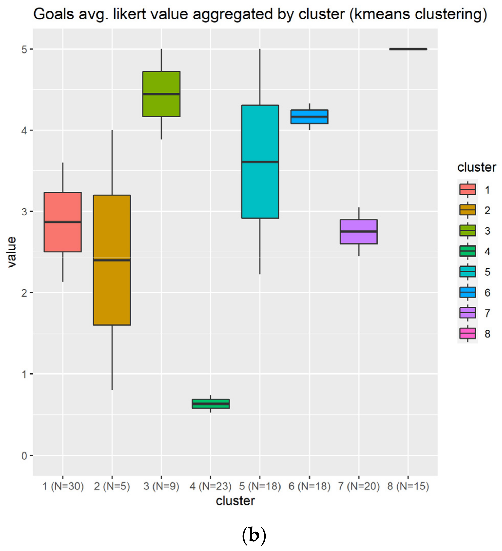
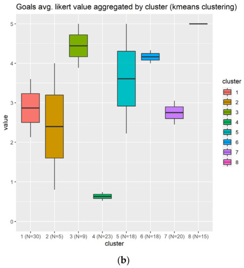
3.2.9. Goals
- Q13_collecting_distinctive_objects: How much do you enjoy collecting distinctive objects or clothing that have no functional value in the game?
- Q15_acquiring_rare_items: Acquiring rare items that most players will never have
3.2.10. Badges
- Q13_collecting_distinctive_objects: How much do you enjoy collecting distinctive objects or clothing that have no functional value in the game?
- Q15_acquiring_rare_items: Acquiring rare items that most players will never have
- Q17_accumulate_resources: Accumulating resources and items
3.2.11. Competition
- Q25_player_vs._player: Competing with other players
- Q26_dominate_kill_others: Dominating/killing other players
- Q23_getting_know_other: Getting to know other players
- Q29_part_serious_guild: Being part of a serious, raid/loot-oriented guild
- Q24_chatting: Chatting with other players
- Q6_enjoy_woking_with_others: Collaborating with two or more players to achieve a common goal (cooperation and teamwork, co-op missions)?
- Q31_annoying_others: Doing things that annoy other players
3.2.12. Customization
- Q8_time_customizing_character: How much time do you spend customizing your character during character creation?
- Q3_use_character_builder: How often do you use a character builder? (0 never, 5 always)
- Q9_character_outfit_matches_style: How important is it to you that your character’s outfit matches in color and style?
3.3. Determining the Game Genre Related to Each Gamification Element
4. Discussion
- Teamwork: *action > shooter = strategy > adventure
- Social: *strategy > *shooter > action
- Rules: *adventure > *strategy > action
- Missions: *action > strategy = shooter > adventure
- Competition: *strategy >action = massive multiplayer = shooter
- Customization: *action > adventure = strategy > shooter
5. Conclusions
Author Contributions
Funding
Institutional Review Board Statement
Informed Consent Statement
Data Availability Statement
Conflicts of Interest
References
- Nicholson, S. A recipe for meaningful gamification. In Gamification in Education and Business; Springer International Publishing: Berlin/Heidelberg, Germany, 2015; pp. 1–20. [Google Scholar]
- Hollebeek, L. Exploring customer brand engagement: Definition and themes. J. Strat. Mark. 2011, 19, 555–573. [Google Scholar] [CrossRef]
- Peng, W.; Lin, J.H.; Pfeiffer, K.A. Need satisfaction supportive game features as motivational determinants: An experimental study of a self-determination theory guided exergame. Media Psychol. 2012, 15, 175–196. [Google Scholar] [CrossRef]
- Hamari, J.; Tuunanen, J. Player types: A meta-synthesis. Trans. Digit. Games Res. Assoc. 2014, 1, 29–53. [Google Scholar] [CrossRef]
- Hutter, K.; Füller, J.; Koch, G. Why Citizens Engage in Open Government Platforms? GI-Jahrestagung. 2012. Available online: https://dl.gi.de/handle/20.500.12116/18594;jsessionid=0E479297D4529F0447DEBB75509321CB (accessed on 6 December 2021).
- Wijnhoven, F.; Ehrenhard, M.; Kuhn, J. Open government objectives and participation motivations. Gov. Inf. Q. 2015, 32, 30–42. [Google Scholar] [CrossRef]
- Miller, K.A.; Deci, E.L.; Ryan, R.M. Intrinsic motivation and self-determination in human behaviour. Contemp. Sociol. 1988, 17, 253. [Google Scholar] [CrossRef]
- Wirtz, B.W.; Göttel, V. Technology acceptance in social media: Review, synthesis and directions for future empirical research. J. Electron. Commer. Res. 2016, 17, 97–115. [Google Scholar]
- Zichermann, G.; Cunningham, C. Gamification by Design: ProQuest Tech Books; O’Reilly Media, Inc.: Sebastopol, CA, USA, 2011. [Google Scholar]
- Fadel, L.M.; Ulbricht, V.R.; Batista, C.R.; Tarcísio, V. Gamificação na Educação; Pimenta Cultural: São Paulo, Brasil, 2014; p. 300. [Google Scholar]
- Hunicke, R.; Leblanc, M.; Zubek, R. MDA: A formal approach to game design and game research. In Proceedings of the Challenges in Games AI Workshop, Nineteenth National Conference of Artificial Intelligence, San Jose, CA, USA, 25–29 July 2004. [Google Scholar]
- Werbach, K.; Hunter, D. For the Win: How Game Thinking Can Revolutionize Your Business; Wharton Digital Press: Philadelphia, PA, USA, 2012. [Google Scholar]
- Marczewski, A. Gamification: A Simple Introduction; Lulu: Raleigh, NC, USA, 2013. [Google Scholar]
- Chou, Y.-k. Actionable Gamification: Beyond Points, Badges, and Leaderboards; Octalysis Media: Fremont, CA, USA, 2015. [Google Scholar]
- Escribano, F. Gamification Model Canvas. 2013. Available online: https://gecon.es/wp-content/uploads/2017/07/GMC-Evolution_vDef.pdf (accessed on 10 December 2021).
- Yee, N. Motivations for play in online games. CyberPsychol. Behav. 2006, 9, 772–775. [Google Scholar] [CrossRef] [PubMed]
- Contreras-Espinosa, R.S.; Blanco-M, A. A Literature Review of E-government Services with Gamification Elements. Int. J. Public Adm. 2021, 1–17. [Google Scholar] [CrossRef]
- Yee, N.; Ducheneaut, N.; Nelson, L. Online gaming motivations scale: Development and validation in HI ’12. In Proceedings of the SIGCHI Conference on Human Factors in Computing Systems, Austin, TX, USA, 5–10 May 2012. [Google Scholar]
- Allaire, J. RStudio: Integrated Development Environment for R; RStudio, PBC: Boston, MA, USA, 2012; Volume 770, p. 394. [Google Scholar]
- Krishna, K.; Murty, M.N. Genetic K-means algorithm. IEEE Trans. Syst. Man Cybern. Part B (Cybern.) 1999, 29, 433–439. [Google Scholar] [CrossRef] [PubMed] [Green Version]
- Syakur, M.; Khotimah, B.; Rochman, E.; Satoto, B. Integration k-means clustering method and elbow method for identification of the best customer profile cluster. IOP Conf. Ser. Mater. Sci. Eng. 2018, 336, 012017. [Google Scholar] [CrossRef] [Green Version]
- Nawrin, S.; Rahman, R.; Akhter, S. Exploreing K-means with internal validity indexes for data clustering in traffic management system. Int. J. Adv. Comput. Sci. Appl. 2017, 8, 264–272. [Google Scholar] [CrossRef] [Green Version]
- Williamson, D.F.; Parker, R.A.; Kendrick, J.S. The box plot: A simple visual method to interpret data. Ann. Intern. Med. 1989, 110, 916–921. [Google Scholar] [CrossRef] [PubMed]
































| GE | Description |
|---|---|
| Teamwork | Combined action of a group of players, especially when efficient and effective. |
| Social | Related to the interaction with other players, especially for pleasure. |
| Rules | Statements that tell players what is or is not allowed in a particular situation. |
| Progression | Allows players to locate themselves (and their progress) within a game. Examples: progress bars, maps, steps. |
| Points | Unit used to measure player performance. Examples: scores, number of kills, experience points. |
| Narrative | Order of events happening in a game, i.e., choices influenced by player actions. Examples: strategies the player uses to go through a level (stealth or action), which also influence the ending. |
| Missions | An important assignment given to a player or group of players, typically involving doing something. |
| Levels | Hierarchical game layers, providing a gradual way for players to obtain new advantages upon advancing. Examples: character levels, skill level. |
| Goals | The object of a person’s ambition or effort; an aim or desired result. |
| Customization | The action of modifying something to suit a particular individual or task. |
| Competition | When two or more players compete against each other to achieve a certain common goal. Examples: Player vs. Player, scoreboards, conflict. |
| Badges | Symbolic rewards given to players for their achievements, such as acing a skill. Badges help players feel recognized for their efforts. |
| Gamif. Element | Key Question | Related Question | Correlation |
|---|---|---|---|
| Teamwork | Q6_enjoy_woking_with_others | Q22_helping_other | 0.575 |
| Q28_part_casual_guild | 0.524 | ||
| Q25_player_vs._player | 0.518 | ||
| Q23_getting_know_other | 0.516 | ||
| Social | Q24_chatting | Q23_getting_know_other | 0.851 |
| Q32_meaningful_conversations | 0.671 | ||
| Q28_part_casual_guild | 0.66 | ||
| Q22_helping_other | 0.549 | ||
| Q33_talk_personal_issues | 0.545 | ||
| Q29_part_serious_guild | 0.542 | ||
| Q25_player_vs._player | 0.533 | ||
| Q39_try_to_provoke_others | 0.524 | ||
| Rules | Q18_game_mechanics_rules | Q1_precise_game_mechanics | 0.541 |
| Progression | Q16_becoming_powerful | Q17_accumulate_resources | 0.575 |
| Q14_leveling_character_fast | 0.535 | ||
| Q19_self_sufficient_character | 0.502 | ||
| Points | Q17_accumulate_resources | Q16_becoming_powerful | 0.575 |
| Q15_acquiring_rare_items | 0.575 | ||
| Narrative | Q21_escaping_real_world | Q20_immersed_fantasy_world | 0.544 |
| Missions | Q6_enjoy_woking_with_others | Q22_helping_other | 0.575 |
| Q28_part_casual_guild | 0.524 | ||
| Q25_player_vs._player | 0.518 | ||
| Q23_getting_know_other | 0.516 | ||
| Levels | Q14_leveling_character_fast | Q16_becoming_powerful | 0.535 |
| Goals | Q13_collecting_distinctive_objects | Q15_acquiring_rare_items | 0.554 |
| Customization | Q8_time_customizing_character | Q3_use_character_builder | 0.588 |
| Q9_character_outfit_matches_style | 0.513 | ||
| Competition | Q25_player_vs._player | Q26_dominate_kill_others | 0.811 |
| Q23_getting_know_other | 0.617 | ||
| Q29_part_serious_guild | 0.614 | ||
| Q24_chatting | 0.533 | ||
| Q6_enjoy_woking_with_others | 0.518 | ||
| Q31_annoying_others | 0.516 | ||
| Badges | Q15_acquiring_rare_items | Q17_accumulate_resources | 0.575 |
| Q13_collecting_distinctive_objects | 0.554 |
| Short Title | Title |
|---|---|
| Q1_precise_game_mechanics | How interested are you in the precise numbers and percentages underlying the game mechanics? |
| Q2_character_optimized | How important is it to you that your character is as optimized as possible for their profession/role? |
| Q3_use_character_builder | How often do you use a character builder? (0 never, 5 always) |
| Q4_grouped_soloing | Would you rather be grouped (0) or soloing (5)? |
| Q5_character_solo_well | How important is it to you that your character can solo well? |
| Q6_enjoy_woking_with_others | Collaborating with two or more players to achieve a common goal (cooperation and teamwork, co-op missions)? |
| Q7_wellknown_in_game | How important is it to you to be well-known in the game? |
| Q8_time_customizing_character | How much time do you spend customizing your character during character creation? |
| Q9_character_outfit_matches_style | How important is it to you that your character’s outfit matches in color and style? |
| Q10_character_looks_different | How important is it to you that your character looks different from other characters? |
| Q11_explore_to_complete_the_world | How much do you enjoy exploring the world just for the sake of exploring it? |
| Q12_finding_uncommon_quests_locations | How much do you enjoy finding quests, or locations that most people do not know about? |
| Q13_collecting_distinctive_objects | How much do you enjoy collecting distinctive objects or clothing that have no functional value in the game? |
| Q14_leveling_character_fast | Leveling up your character as fast as possible |
| Q15_acquiring_rare_items | Acquiring rare items that most players will never have |
| Q16_becoming_powerful | Becoming powerful |
| Q17_accumulate_resources | Accumulating resources and items |
| Q18_game_mechanics_rules | Knowing as much about the game mechanics and rules as possible |
| Q19_self_sufficient_character | Having a self-sufficient character |
| Q20_immersed_fantasy_world | Being immersed in a fantasy world |
| Q21_escaping_real_world | Escaping from the real world |
| Q22_helping_other | Helping other players |
| Q23_getting_know_other | Getting to know other players |
| Q24_chatting | Chatting with other players |
| Q25_player_vs._player | Competing with other players |
| Q26_dominate_kill_others | Dominating/killing other players |
| Q27_explore_map_zone_world | Exploring every map or zone in the world |
| Q28_part_casual_guild | Being part of a friendly, casual guild |
| Q29_part_serious_guild | Being part of a serious, raid/loot oriented guild |
| Q30_trying_new_roles | Trying out new roles and personalities with your characters |
| Q31_annoying_others | Doing things that annoy other players |
| Q32_meaningful_conversations | How often do you find yourself having conversations with other players? |
| Q33_talk_personal_issues | How often do you talk to your online friends about your personal issues? |
| Q34_receive_support_reallife_problems | How often have your online friends offered you support when you had a real life problem? |
| Q35_make_stories_for_your_character | How often do you make up stories and histories for your characters? |
| Q36_role_play_characters | How often do you role-play your character? |
| Q37_play_to_avoid_reallife_problems | How often do you play so you can avoid thinking about some of your real-life problems or worries? |
| Q38_play_to_relax | How often do you play to relax from the day’s work? |
| Q39_try_to_provoke_others | How often do you purposefully try to provoke or irritate other players? |
| U1_economy_accumulate_money | Accumulating money |
| U2_economy_transactions_exchanges_within_the_game | Acquiring transactions or exchange within the game |
| U3_imposed_choice_advance_in_the_game | Do you like take obliged decisions in order to advance in the game? |
| U4_imposed_choice_judgements_different_narrative | How important is it to you take judgements, forced choices (different from Narrative) in the game. |
| U5_time_pressure_countdowns_timer | How important is it to you have pressure through time in-game (countdowns, timer)? |
| U6_social_pressure | You enjoy peer pressure through social interactions with another players? |
Publisher’s Note: MDPI stays neutral with regard to jurisdictional claims in published maps and institutional affiliations. |
© 2021 by the authors. Licensee MDPI, Basel, Switzerland. This article is an open access article distributed under the terms and conditions of the Creative Commons Attribution (CC BY) license (https://creativecommons.org/licenses/by/4.0/).
Share and Cite
Blanco-M, A.; Contreras-Espinosa, R.S.; Solé-Casals, J. Clustering Users to Determine the Most Suitable Gamification Elements. Sensors 2022, 22, 308. https://doi.org/10.3390/s22010308
Blanco-M A, Contreras-Espinosa RS, Solé-Casals J. Clustering Users to Determine the Most Suitable Gamification Elements. Sensors. 2022; 22(1):308. https://doi.org/10.3390/s22010308
Chicago/Turabian StyleBlanco-M, Alejandro, Ruth S. Contreras-Espinosa, and Jordi Solé-Casals. 2022. "Clustering Users to Determine the Most Suitable Gamification Elements" Sensors 22, no. 1: 308. https://doi.org/10.3390/s22010308
APA StyleBlanco-M, A., Contreras-Espinosa, R. S., & Solé-Casals, J. (2022). Clustering Users to Determine the Most Suitable Gamification Elements. Sensors, 22(1), 308. https://doi.org/10.3390/s22010308
