A Pixel Design of a Branching Ultra-Highspeed Image Sensor
Abstract
1. Introduction
- (1)
- fundamental structure and operation schemes,
- (2)
- design conditions and criteria to evaluate basic performance such as frame rate, spatio-temporal crosstalk, and collision rate against walls of the guide pipe which is explained later.
- (3)
- evaluation of the basic performance related to the guide pipe and the front-side circuit layer, separately, by potential and Monte Carlo simulations,
- (4)
- overall performance for the combined structure of the guide pipe and the circuit layer.
2. Overview of Branching Image Sensor
2.1. Structure
2.1.1. Guide Pipe and Circuit Layer
- (1)
- the hexagonal branching gates allow design of many storage elements in a proper balance of the areas of the gates, and
- (2)
- when the crystal orientation of the backside surface is (100), proper etching creates (100) surfaces on each of the walls of the square guide pipe.
- (1)
- a burst image sensor which achieved the frame interval of 10 ns, and
- (2)
- an image signal accumulation image sensor (ISAS) which captures 1220 consecutive images at the frame interval of 40 ns, and can accumulate image signals by repeating image capturing of reversible events with very low incident light [20].
- (1)
- a thin boron-doped layer over the walls of the guide pipe,
- (2)
- a low voltage applied to the outside of the guide pipe, and,
- (3)
- a negatively charged thin layer over the insulation layer, made with Al2O3.
2.1.2. Equivalent Travel Routes of Signal Electrons
- (1)
- from the upstream SGs to GG: there are three representative routes, RA, RB and RC for electrons to converge to GG, as color-coded in Figure 3b; for example, the green routes from SG21 (RB), SG32, SG51 and SG62 to GG are equivalent, since all these routes start from the corner of the guide gate, where the numbers of the gates are shown on FDs in Figure 3a, and
- (2)
- from GG to FDC through an FG and an SG downstream: there are three representative routes, RD, RE and RF, for the collected electrons to verge, as shown in Figure 3c.
2.2. Operation Schemes
- (1)
- when the sensor is cooled, the buried CCD channels theoretically enable a perfect and noiseless signal transfer even at ultrafast signal transfer, if the field is less than the critical field at which the drift velocity is saturated, and
- (2)
- noiseless signal accumulation is possible for repetitive burst imaging of reproducible events emitting very weak light:
- (1)
- a large frame count, and
- (2)
- the transfer rate of signal electrons from each FD to in-situ storage on the stacked chip can be reduced by 1/12 of that of an image sensor with one FD per pixel, reducing the transfer noise by 1/.
2.3. Design Conditions
2.3.1. Theoretical and Practical Temporal Resolutions
2.3.2. Wavelengths of Incident Light and Fundamental Shape Parameters
2.3.3. Design Targets
- (1)
- Temporal resolution: the theoretical limit for silicon image sensors is 11.1 ps; however, as the existing highest temporal resolution of image sensors for visible light is about 10 ns, the resolution of 1 ns may be acceptable for a provisional target; in the case, the readout rate from each FD to a stacked memory chip is 6 ns (=1/122) for a correlated double sampling (CDS) operation, which may be achieved in the near future,
- (2)
- Frame count: fifty frames enable a replay of images at 10 fps for 5 s; the replay at 10 fps looks smoothly due to a saccade motion of our eyes with the lowest frequency less than 10 Hz; the duration of 5 s is at least necessary to activate dynamic recognition of our eyes; on the other hand, as televisions replay images at 30 fps (or 25 fps), a sequence of 300 frames enables replay for 10 (12) seconds for a standard TV,
- (3)
- Pixel count: the acceptable level may be 256256 pixels (), which is rounded to 100,000 pixels; the pixel count for 1000 1000 is sufficient for most scientific researches,
- (4)
- E-field: the critical field, 25 kV/c is ideal, at which the drift velocity is 95% of the saturation drift velocity as shown in Figure 5 [9]; up to about 100 kV/cm, the drift velocity is almost constant, and dark current increases little, because excessive photon energy is mostly converted to a lattice vibration (generation of phonon or heat); on the other hand, at 5 kV/cm, the drift velocity reduces only to the half of the saturation drift velocity.
- (5)
- Other performance parameters: 10% may be acceptable.
2.4. Destinations of Photo-Electrons
3. Potential Simulations
3.1. Guide Pipe
- (1)
- with no wall boron doping, the contours in the guide pipe are parallel, and the vertical potential profile is almost linear with the field close to the average 25 kV/cm,
- (2)
- with the boron doping, the contours near the walls bend upward so that the field is directed to the center to reduce the collision probability of electrons; the vertical potentials bend upward, decreasing the fields in the backside layer, and increasing those in the front-side layer,
- (3)
- for Model M with a high boron concentration of , the fields in the backside layer and the front-side layer are respectivelyand which are still within the acceptable range shown in Table 2,
- (4)
- for Model L for the same boron concentration, the field in the backside layer is which is too small, resulting in a high backside returning rate, and the field in the front-side layer , which is significantly large, resulting in a slight increase of dark current, and
- (5)
- a higher boron concentration for Model L loops the contours in the circuit layer as shown in circles in Figure 6(b-2),(b-3), hampering delivery of signal electrons to the storage areas, which requires detailed modifications in the design.
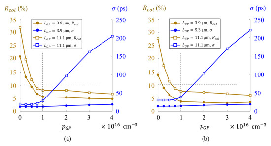
- (1)
- the collision rate efficiently decreases for the wall boron concentrationfrom 0 to , and slightly reduces and stays less than 8% for both green and red light, which satisfies the acceptable level of 10%,
- (2)
- for Model M, the standard deviations is less than 20.0 ps; for Model L, is less than 30 ps for , but, suddenly increases to more than 200 ps at , and
- (3)
- therefore, the optimum boron doping on the wall of the guide pipe is .
3.2. Branching Channels
3.2.1. Modulation Functions
3.2.2. Gate Voltages and Potentials of the Channels
- (1)
- assume the amplitude of the SG voltage is 3 V, and the pinning voltage is −6 V, and, then, the low and high voltages of the SG are −6 V–3 V,
- (2)
- from the modulation function of SG, the channel potentials at an upstream SG and a downstream SG are −3.73 V and −1.78 V,
- (3)
- the gate voltages of GG and upstream and downstream FGs are interpolated from Figure 10a as −5.19 V and −3.84 V, and, then, the amplitude of FG is 1.35 V.
3.3. Local Potential Adjustment
3.3.1. Voltage Adjustment
- (1)
- the average field is 3.05 kV/cm as calculated from the potential line in the figure, which is about 1/10 of the ideal field, 25 kV/cm, which reduces the drift velocity of electrons to 1/3 of the saturation drift velocity as shown in Figure 5,
- (2)
- the potential profiles at the centers of the gates are rather flat, further decreasing the field and increasing the travel time, and
- (3)
- at the downstream FG, there is a slight potential dip as shown with a red circle, which seriously increases the travel time of electrons passing through the area.
- (1)
- a fine semiconductor process: if the same voltage amplitude is applied, a fine process increases the average field inversely proportional to the pixel size, and, in addition, portions of a steep fringe field erode the flat portions, and
- (2)
- voltage modifications: if the potentials at the downstream FG is slightly lowered, and SG is raised, the small potential dip may disappear; for the decrease for the FG and increase for the SG, the modulation functions suggest that gate voltages must be shifted by for the FG, and for the SG.
3.3.2. Detailed Adjustment of Temporal Resolution for Potential Barrier
4. Overall Evaluation
4.1. Fundamental Performance
- (1)
- all major performance indices satisfy the acceptable values listed in Table 2; except the frame count,
- (2)
- for example, the temporal resolution is about 386 ps, which is much shorter than the acceptable level, 1 ns;
- (3)
- about 88% of electrons are collected by a collecting FDC; actually, some portions of electrons colliding against the walls of the guide pipe and the backside are reflected and join the collected electrons; therefore, the real collection rate increases to more than 90%.
4.2. Visual Diagonosis with MC Simulations
- (1)
- as shown in Figure 12a, most of signal electrons generated by incident light forms a bundle, which is effectively squeezed to the center of guide pipe to minimize the collision rate,
- (2)
- most of them fall onto the guide gate and transferred to FDC,
- (3)
- however, some electrons take extraordinary long travel times to increase the temporal resolution, as shown with A and B, and
- (4)
- few of them migrate to FDW as shown with C.
4.3. Further Confirmation and Evolution
4.3.1. Metal Wiring and 3D Stacking of Driver Chip
4.3.2. Higher Frame Rate: Toward Super Temporal Resolution
- (1)
- as shown in Figure 10b, the horizontal potential profile on the front side consists of flat parts in the middle of the gates, and high-field parts at the gate boudaries due to the fringing effect; the flat parts seriously elongate the standard deviation of the arrival time, and
- (2)
- as shown in Figure 12a, most electrons fall on the guide gate, and move horizontally; the different horizontal travel distance over the guide gate causes horizontal mixing.
- (1)
- for shorter gates, the high-field portions erode the flat parts, linealizing the whole horizontal potential profile, and
- (2)
- for a narrower guide gate, the horizontal mixing effect reduces in proportion to the size.
- (1)
- 29.2 ps (the standard deviation in the upper silicon guide pipe).
- (2)
- the theoretical temporal resolution for the horizontal motion on the front side is which is close to the theoretical temporal resolution limit of the silicon photodiode 11.1 ps [8].
5. Conclusions
Author Contributions
Funding
Institutional Review Board Statement
Informed Consent Statement
Data Availability Statement
Acknowledgments
Conflicts of Interest
References
- Etoh, T.G. A high-speed video camera operating at 4,500 fps. J. Inst. Telev. Eng. Jpn. 1992, 46, 543–545. (In Japanese) [Google Scholar]
- Etoh, T.G.; Takehara, K. Ultrahigh-speed multiframing camera with an automatic trigger. In Proceedings of the Ultrahigh- and High-Speed Photography, Videography, and Photonics, San Diego, CA, USA, 19 January 1992. Proc. SPIE 1992, 1757, 53–57. [Google Scholar] [CrossRef]
- Kosonocky, W.F.; Yang, G.; Ye, C.; Kabra, R.K.; Xie, L.; Lawrence, J.L.; Mastrocolla, V.; Shallcross, F.V.; Patel, V. 360×360-element very-high-frame-rate burst image sensor. In Proceedings of the 1996 IEEE International Solid-State Circuits Conference. Digest of Technical Papers, ISSCC, San Fransisco, CA, USA, 10 February 1996; pp. 182–183. [Google Scholar] [CrossRef]
- Etoh, T.G.; Poggemann, D.; Ruckelshausen, A.; Theuwissen, A.; Kreider, G.; Folkerts, H.-O.; Mutoh, H.; Kondo, Y.; Maruno, H.; Takubo, K.; et al. CCD image sensor of 1 Mframes/s for continuous image capturing 103 frames. In Proceedings of the 2002 IEEE International Solid-State Circuits Conference, Digest of Technical Papers (Cat. No.02CH37315), San Francisco, CA, USA, 7 February 2002; Volume 443, pp. 46–47. [Google Scholar] [CrossRef]
- Etoh, T.G.; Okinaka, T.; Takano, Y.; Takehara, K.; Nakano, H.; Shimonomura, K.; Ando, T.; Ngo, N.; Kamakura, Y.; Dao, V.T.S.; et al. Light-in-flight imaging by a silicon image sensor: Toward the theoretical highest frame rate. Sensors 2019, 19, 2247. [Google Scholar] [CrossRef] [PubMed]
- Zhang, C.; Dao, V.T.S.; Etoh, T.G.; Charbon, E. Pixel parallel localized driver design for a 128 × 256 pixel array 3D 1 Gfps image sensor. In Proceedings of the Selected Papers from the 31st International Congress on High-Speed Imaging and Photonics, Osaka, Japan, 7–10 November 2016. [Google Scholar] [CrossRef]
- Kuroda, R.; Suzuki, M.; Sugawa, S. Over 100 million frames per second high speed global shutter CMOS image sensor. In Proceedings of the 32nd International Congress on High-Speed Imaging and Photonics, Enschede, The Netherlands, 28 January 2019. [Google Scholar] [CrossRef]
- Etoh, T.G.; Nguyen, A.Q.; Kamakura, Y.; Shimonomura, K.; Le, T.Y.; Mori, N. The theoretical highest frame rate of silicon image sensors. Sensors 2017, 17, 483. [Google Scholar] [CrossRef] [PubMed]
- Ngo, N.H.; Nguyen, A.Q.; Bufler, F.M.; Kamakura, Y.; Mutoh, H.; Shimura, T.; Hosoi, T.; Watanabe, H.; Matagne, P.; Shimonomura, K.; et al. Toward the Super Temporal Resolution Image Sensor with a Germanium Photodiode for Visible Light. Sensors 2020, 20, 6895. [Google Scholar] [CrossRef] [PubMed]
- Tsuji, K. The Micro-World Observed by Ultra High-Speed Cameras: We See What You Don’t See, 1st ed.; Springer International Publishing: Berlin/Heildelberg, Germany, 2018. [Google Scholar] [CrossRef]
- 31st International Congress of High-Speed Imaging and Photonics. Available online: https://www.ile.osaka-u.ac.jp/research/fps/ichsip-31/invited/index.html (accessed on 29 January 2021).
- Liang, J.; Ma, C.; Zhu, L.; Chen, Y.; Gao, L.; Wang, L. V Single-shot real-time video recording of a photonic Mach cone induced by a scattered light pulse. Sci. Adv. 2017, 3, e1601814. [Google Scholar] [CrossRef] [PubMed]
- Claus, L.; Fang, L.; Kay, R.; Kimmel, M.; Long, J.; Robertson, G.; Sanchez, M.; Stahoviak, J.; Trotter, D.; Porter, J.L. An overview of the Ultrafast X-ray Imager (UXI) program at Sandia Labs. In Proceedings of the Target Diagnostics Physics and Engineering for Inertial Confinement Fusion IV, San Diego, CA, USA, 31 August 2015. Proc. SPIE 2015, 9591. [Google Scholar] [CrossRef]
- Abramson, N. Light-in-flight recording by holography. Opt. Lett. 1978, 3, 121–123. [Google Scholar] [CrossRef] [PubMed]
- Kubota, T.; Awatsuji, Y. Observation of light propagation by holography with a picosecond pulsed laser. Opt. Lett. 2002, 27, 815–817. [Google Scholar] [CrossRef] [PubMed]
- Gao, L.; Liang, J.; Li, C.; Wang, L. V Single-shot compressed ultrafast photography at one hundred billion frames per second. Nature 2014, 516, 74–77. [Google Scholar] [CrossRef] [PubMed]
- Mochizuki, F.; Kagawa, K.; Okihara, S.; Seo, M.; Zhang, B.; Takasawa, T.; Yasutomi, K.; Kawahito, S. Single-shot 200Mfps 5×3-aperture compressive CMOS imager. In Proceedings of the 2015 IEEE International Solid-State Circuits Conference—(ISSCC) Digest of Technical Papers, San Francisco, CA, USA, 22–26 February 2015; pp. 1–3. [Google Scholar] [CrossRef]
- Shiraga, H.; Miyanaga, N.; Heya, M.; Nakasuji, M.; Aoki, Y.; Azechi, H.; Yamanaka, T.; Mima, K. Ultrafast two-dimensional X-ray imaging with X-ray streak cameras for laser fusion research (invited). Rev. Sci. Instrum. 1997, 68, 745–749. [Google Scholar] [CrossRef]
- Nakagawa, K.; Iwasaki, A.; Oishi, Y.; Horisaki, R.; Tsukamoto, A.; Nakamura, A.; Hirosawa, K.; Liao, H.; Ushida, T.; Goda, K.; et al. Sequentially timed all-optical mapping photography (STAMP). Nat. Photonics 2014, 8, 695–700. [Google Scholar] [CrossRef]
- Dao, V.T.S.; Ngo, N.; Nguyen, A.Q.; Morimoto, K.; Shimonomura, K.; Goetschalckx, P.; Haspeslagh, L.; De Moor, P.; Takehara, K.; Etoh, T.G. An image signal accumulation multi-collection-gate image sensor operating at 25 Mfps with 32 × 32 pixels and 1220 in-pixel frame memory. Sensors 2018, 18, 3112. [Google Scholar] [CrossRef] [PubMed]
- Jacoboni, C.; Canali, C.; Ottaviani, G.; Quaranta, A. A review of some charge transport properties of silicon. Solid-State Electron. 1977, 20, 77–89. [Google Scholar] [CrossRef]
- Jacoboni, C.; Nava, F.; Canali, C.; Ottaviani, G. Electron drift velocity and diffusivity in germanium. Phys. Rev. B 1981, 24, 1014–1026. [Google Scholar] [CrossRef]
- Shimura, T.; Matsue, M.; Tominaga, K.; Kajimura, K.; Amamoto, T.; Hosoi, T.; Watanabe, H. Enhancement of photoluminescence from n-type tensile-strained GeSn wires on an insulator fabricated by lateral liquid-phase epitaxy. Appl. Phys. Lett. 2015, 107, 221109. [Google Scholar] [CrossRef]
- Oka, H.; Tomita, T.; Hosoi, T.; Shimura, T.; Watanabe, H. Lightly doped n-type tensile-strained single-crystalline GeSn-on-insulator structures formed by lateral liquid-phase crystallization. Appl. Phys. Express 2017, 11, 011304. [Google Scholar] [CrossRef]
- Wada, Y.; Inoue, K.; Hosoi, T.; Shimura, T.; Watanabe, H. Demonstration of mm long nearly intrinsic GeSn single-crystalline wires on quartz substrate fabricated by nucleation-controlled liquid-phase crystallization. Jpn. J. Appl. Phys. 2019, 58, 1. [Google Scholar] [CrossRef]
- Kunikiyo, T.; Takenaka, M.; Kamakura, Y.; Yamaji, M.; Mizuno, H.; Morifuji, M.; Taniguchi, K.; Hamaguchi, C. A Monte Carlo simulation of anisotropic electron transport in silicon including full band structure and anisotropic impact ionization model. J. Appl. Phys. 1994, 75, 297. [Google Scholar] [CrossRef]












| Color | Model | Wavelength | Penetration | |||
|---|---|---|---|---|---|---|
| Total * | Guide Pipe | Circuit Layer | ||||
| Blue | 450 | 0.49 | ||||
| Green | M | 550 | 1.73 | 5.3 | 3.9 | 1.4 |
| Red | L | 650 | 4.00 | 12.1 | 11.1 | 1.0 |
| Pixel size and pitch | 11.4 × 11.4 | |||||
| Guide pipe width/Fill factor | 5 × 5 /19.2% | |||||
| Thickness/concentration of p+ layer over the guide pipe | 0.1 0–4cm−3 | |||||
| Parameters | Target | |
|---|---|---|
| Acceptable Level | Ideal Level | |
| Temporal resolution | 1 ns | 11.1 ps |
| (Frame rate) | (1 Gfps) | (90.1 Gfps) |
| Frame count | 50 | 300 |
| Pixel count | 100,000 | 1,000,000 |
| E-field | 5 kV/cm to 100 kV/cm | 25 kV/cm |
| Temporal crosstalk | 10% | 0% |
| Spatial crosstalk | 10% | 0% |
| Fill factor | 10% * | 100% |
| Collision rate to guide pipe | 10% | 0% |
| Backside returning rate | 10% | 0% |
| Factors | Symbols | Destinations |
|---|---|---|
| Collection rate | R c | collecting FDC |
| Migration rate | R mg | waiting FDWs |
| Backside returning rate | R back | backside |
| Collision rate | R col | walls of the guide pipe |
| Waste rate | Rw | passing through the front side |
| Spatial crosstalk rate | Rsc | neighboring pixels |
| Incident Light | Model | Standard Deviation of Arrival Time (ps) | Practical Temporal Resolution | Collision Rate to Guide Gate Walls (%) | ||
|---|---|---|---|---|---|---|
| Wavelength (nm) | Guide Pipe Length | |||||
| Green | 550 | M | 3.9 | 13.0 | 42.9 | 5.6 |
| L | 11.1 | 29.2 * | 96.4 | 8.0 | ||
| Red | 650 | M | 3.9 | 14.3 | 47.2 | 3.7 |
| L | 11.1 | 38.3 | 126.4 | 7.6 | ||
| Position | Modulation Function (V) | Pinned Channel Potential (V) |
|---|---|---|
| GG | −3.93 | |
| FG | −3.95 | |
| SG | −3.73 |
| Methods | GG | FG | SG | |||||
|---|---|---|---|---|---|---|---|---|
| Low | High | Amplitude | Low | High | Amplitude | |||
| Voltage (V) | Proposed method | −4.66 | −5.19 | −3.84 | 1.35 | −6.00 | −3.00 | 3.00 |
| Potential (V) | −2.79 | −3.30 | −2.16 | 1.14 | −3.73 | −1.78 | 1.95 | |
| Simulation | −2.86 | −3.33 | −2.50 | 0.83 | −3.61 | −1.66 | 1.95 | |
| Error (%) | 2.71 | 0.91 | 13.8 | 3.28 | 7.10 | |||
| Temporal Criteria | Before Modification | After Modification | ||||
|---|---|---|---|---|---|---|
| RD | RE | RF | RD | RE | RF | |
| Average (ps) | 231 | 838 | 452 | 222 | 231 | 212 |
| (ps) | 111 | 710 | 317 | 106 | 99 | 113 * |
| Fundamental Performance | |||
|---|---|---|---|
| Pixel | Size & thickness | ||
| Guide pipe | Width & length | ||
| Incident light: green | 550 nm | ||
| Frame rate * | 2.59 Gfps | ||
| Frame count ** | 12–48 | ||
| Pixel count | 1,000,000 | ||
| Noise *** | Very small | ||
| Fill factor | 19.2% | ||
| E-field | Guide pipe | 25 kV/cm | |
| Circuit layer | 2.4 kV/cm | ||
| Destinations of electrons ※ (%)FIGURE | Rc | 87.8–88.5 | |
| Rmg | 0.11–0.12 | ||
| Rcol | 8.12–8.85 | ||
| Rback | 3.05–3.26 | ||
| Rw | 0.05–0.2 (0.09) ※※ | ||
| Rsc | 0 | ||
| Temporal indices ※ (ps) | Mean | 322–340 | |
| 109–125 * | |||
| 360–413 | |||
Publisher’s Note: MDPI stays neutral with regard to jurisdictional claims in published maps and institutional affiliations. |
© 2021 by the authors. Licensee MDPI, Basel, Switzerland. This article is an open access article distributed under the terms and conditions of the Creative Commons Attribution (CC BY) license (https://creativecommons.org/licenses/by/4.0/).
Share and Cite
Ngo, N.H.; Shimonomura, K.; Ando, T.; Shimura, T.; Watanabe, H.; Takehara, K.; Nguyen, A.Q.; Charbon, E.; Etoh, T.G. A Pixel Design of a Branching Ultra-Highspeed Image Sensor. Sensors 2021, 21, 2506. https://doi.org/10.3390/s21072506
Ngo NH, Shimonomura K, Ando T, Shimura T, Watanabe H, Takehara K, Nguyen AQ, Charbon E, Etoh TG. A Pixel Design of a Branching Ultra-Highspeed Image Sensor. Sensors. 2021; 21(7):2506. https://doi.org/10.3390/s21072506
Chicago/Turabian StyleNgo, Nguyen Hoai, Kazuhiro Shimonomura, Taeko Ando, Takayoshi Shimura, Heiji Watanabe, Kohsei Takehara, Anh Quang Nguyen, Edoardo Charbon, and Takeharu Goji Etoh. 2021. "A Pixel Design of a Branching Ultra-Highspeed Image Sensor" Sensors 21, no. 7: 2506. https://doi.org/10.3390/s21072506
APA StyleNgo, N. H., Shimonomura, K., Ando, T., Shimura, T., Watanabe, H., Takehara, K., Nguyen, A. Q., Charbon, E., & Etoh, T. G. (2021). A Pixel Design of a Branching Ultra-Highspeed Image Sensor. Sensors, 21(7), 2506. https://doi.org/10.3390/s21072506

