Electrochemical Immunosensor for the Quantification of S100B at Clinically Relevant Levels Using a Cysteamine Modified Surface
Abstract
1. Introduction
2. Materials and Methods
2.1. Electrodes and Reagents
2.2. Biosensors Construction
2.3. Surface Characterization
2.4. Electrochemical Characterization and S100B Tests Performance
2.5. Preparation of Buffer and Spiked Human Plasma Samples
2.6. Design of Experiment (DOE)
2.7. Statistical Analysis
3. Results
3.1. Surface Characterization
3.1.1. Specular Reflectance FTIR Analysis
3.1.2. Atomic Force Microscopy (AFM) Topographic Characterization
3.2. Electrochemical Characterization
3.3. S100B Measurements
3.3.1. Curve of Calibration
3.3.2. Limit of Detection
3.3.3. Specificity and Nonspecific Bindings
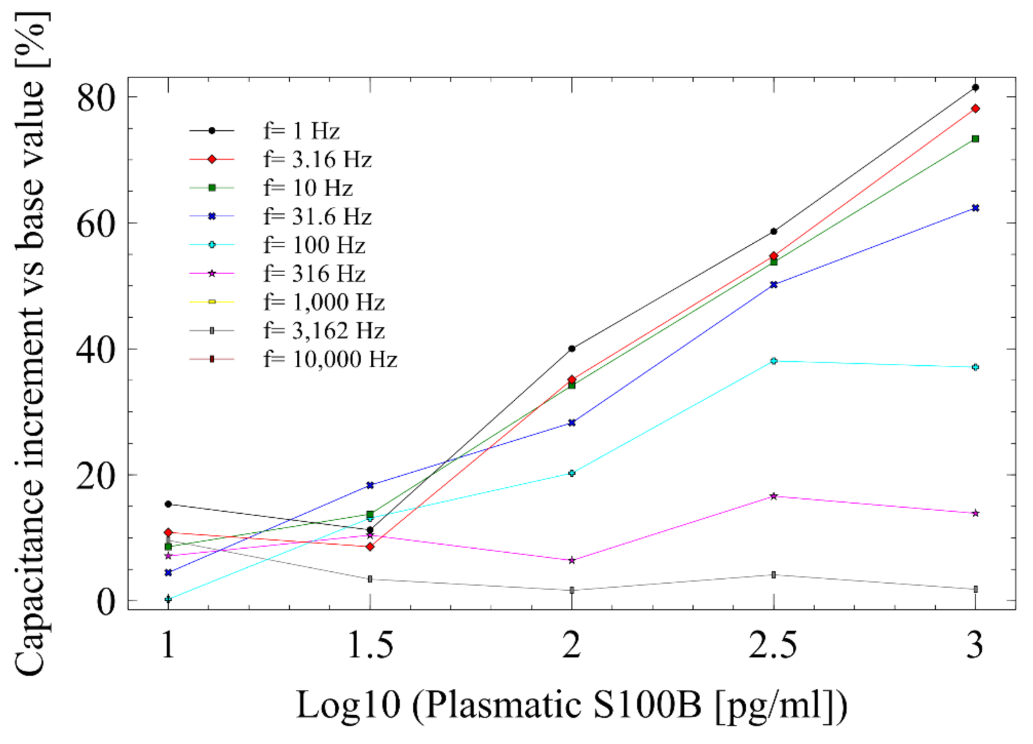
3.3.4. Single-Frequency Analysis (SFA)
4. Discussion
5. Conclusions
Supplementary Materials
Author Contributions
Funding
Institutional Review Board Statement
Informed Consent Statement
Data Availability Statement
Acknowledgments
Conflicts of Interest
Appendix A
| Log[S100B] | Run | ΔRct Change (Ω) | ||
|---|---|---|---|---|
| Condition-1 | Condition-2 | Condition-3 | ||
| AuEs PBS | AuEs Plasma | AuIDEs Plasma | ||
| 1 | 3 | 459 | 5266 | 1081 |
| 1 | 9 | 954 | 5992 | 1347 |
| 1 | 15 | 981 | 5268 | 1679 |
| 1 | 17 | 717 | 4642 | 1672 |
| 1 | 25 | 1114 | 8866 | 1694 |
| 1.5 | 4 | 2626 | 11,071 | 2561 |
| 1.5 | 7 | 2519 | 10,148 | 3086 |
| 1.5 | 8 | 2786 | 10,878 | 3336 |
| 1.5 | 11 | 2990 | 9790 | 2636 |
| 1.5 | 18 | 2603 | 9659 | 2242 |
| 2 | 2 | 3532 | 13,967 | 10,356 |
| 2 | 10 | 4221 | 15,184 | 5766 |
| 2 | 12 | 3315 | 11,938 | 8717 |
| 2 | 23 | 4045 | 11,802 | 7717 |
| 2 | 24 | 4519 | 12,249 | 6477 |
| 2.5 | 13 | 4884 | 16,747 | 15,547 |
| 2.5 | 14 | 5247 | 21,705 | 19,479 |
| 2.5 | 16 | 5925 | 16,770 | 15,731 |
| 2.5 | 20 | 7158 | 19,268 | 15,707 |
| 2.5 | 21 | 4831 | 17,003 | 17,444 |
| 3 | 1 | 28,466 | 38,698 | 32,093 |
| 3 | 5 | 36,384 | 49,786 | 31,986 |
| 3 | 6 | 12,799 | 58,484 | 29,331 |
| 3 | 19 | 9767 | 63,611 | 35,398 |
| 3 | 22 | 37,297 | 64,370 | 28,681 |
References
- Peterson, A.B.; Xu, L.; Daugherty, J.; Breiding, M.J. Surveillance Report of Traumatic Brain Injury-Related Emergency Department Visits, Hospitalizations, and Deaths, United States, 2014; Centers for Disease Control and Prevention: Atalanta, GA, USA, 2019.
- Lo, J.; Chan, L.; Flynn, S. A Systematic Review of the Incidence, Prevalence, Costs, and Activity and Work Limitations of Amputation, Osteoarthritis, Rheumatoid Arthristis, Back Pain, Multiple Sclerosis, Spinal Cord Injury, Stroke, and Traumatic Brain Injury in the United States: A 2019 Update. Arch. Phys. Med. Rehabil. 2021, 102, 115–131. [Google Scholar]
- Moscote-Salazar, L.R.; MRubiano, A.; Alvis-Miranda, H.R.; Calderon-Miranda, W.; Alcala-Cerra, G.; Blancas Rivera, M.A.; Agrawal, A. Severe Cranioencephalic Trauma: Prehospital Care, Surgical Management and Multimodal Monitoring. Bull. Emerg. Trauma 2016, 4, 8–23. [Google Scholar] [PubMed]
- Bonow, R.H.; Barber, J.; Temkin, N.R.; Videtta, W.; Rondina, C.; Petroni, G.; Lujan, S.; Alanis, V.; La Fuente, G.; Lavadenz, A.; et al. The Outcome of Severe Traumatic Brain Injury in Latin America. World Neurosurg. 2018, 111, e82–e90. [Google Scholar] [CrossRef]
- Rodríguez, A.; Cervera, E.; Tuesca, R.; Flórez, K.; Romero, R.; Villalba, P.J. La Detección Tardía Del Deterioro Neurológico Agudo Incrementa La Letalidad Por Trauma Craneoencefálico. Biomédica 2020, 40, 89–101. [Google Scholar]
- Chesnut, R.M.; Temkin, N.; Dikmen, S.; Rondina, C.; Videtta, W.; Petroni, G.; Lujan, S.; Alanis, V.; Falcao, A.; de la Fuenta, G.; et al. A Method of Managing Severe Traumatic Brain Injury in the Absence of Intracranial Pressure Monitoring: The Imaging and Clinical Examination Protocol. J. Neurotrauma 2018, 35, 54–63. [Google Scholar] [CrossRef] [PubMed]
- Rodríguez, A.; Cervera, E.; Villalba, P. Neuronal and Glial Biomarkers Research for Traumatic Brain Injury. In Traumatic Brain Injury-Neurobiology, Diagnosis and Treatment; Chapter 4; Zhou, Y., Ed.; IntechOpen: Rijeka, Croatia, 2019; pp. 67–83. [Google Scholar]
- Schulte, S.; Podlog, L.W.; Hamson-Utley, J.J.; Strathmann, F.G.; Strüder, H.K. A Systematic Review of the Biomarker S100B: Implications for Sport-Related Concussion Management. J. Athl. Train. 2014, 49, 830–850. [Google Scholar] [CrossRef] [PubMed]
- Kim, C.; Searson, P.C. Magnetic Bead-Quantum Dot Assay for Detection of a Biomarker for Traumatic Brain Injury. Nanoscale 2015, 7, 17820–17826. [Google Scholar] [CrossRef] [PubMed]
- Kurzątkowska, K.; Jankowska, A.; Wysłouch-Cieszyńska, A.; Zhukova, L.; Puchalska, M.; Dehaen, W.; Radecka, H.; Radecki, J. Voltammetric Detection of the S100B Protein Using His-Tagged RAGE Domain Immobilized onto a Gold Electrode Modified with a Dipyrromethene-Cu(II) Complex and Different Diluents. J. Electroanal. Chem. 2016, 767, 76–83. [Google Scholar] [CrossRef]
- Mikuła, E.; Wysłouch-Cieszyńska, A.; Zhukova, L.; Puchalska, M.; Verwilst, P.; Dehaen, W.; Radecki, J.; Radecka, H. Voltammetric Detection of S100B Protein Using His-Tagged Receptor Domains for Advanced Glycation End Products (RAGE) Immobilized onto a Gold Electrode Surface. Sensors 2014, 14, 10650–10663. [Google Scholar] [CrossRef] [PubMed]
- Tabrizi, M.A.; Ferré-Borrull, J.; Kapruwan, P.; Marsal, L.F. A Photoelectrochemical Sandwich Immunoassay for Protein S100β, a Biomarker for Alzheimer’s Disease, Using an ITO Electrode Modified with a Reduced Graphene Oxide-Gold Conjugate and CdS-Labeled Secondary Antibody. Microchim. Acta 2019, 186, 117. [Google Scholar] [CrossRef] [PubMed]
- Harpaz, D.; Koh, B.; Marks, R.S.; Seet, R.C.S.; Abdulhalim, I.; Tok, A.I.Y. Point-of-Care Surface Plasmon Resonance Biosensor for Stroke Biomarkers NT-ProBNP and S100β Using a Functionalized Gold Chip with Specific Antibody. Sensors 2019, 19, 2533. [Google Scholar] [CrossRef]
- Khetani, S.; Aburashed, R.; Singh, A.; Sen, A.; Sanati-Nezhad, A. Immunosensing of S100β Biomarker for Diagnosis of Spinal Cord Injuries (SCI). Sens. Actuators B Chem. 2017, 247, 163–169. [Google Scholar] [CrossRef]
- Wu, L.; Feng, Q.; Ai, M.-L.; Deng, S.; Liu, Z.-Y.; Huang, L.; Ai, Y.-H.; Zhang, L. The Dynamic Change of Serum S100B Levels from Day 1 to Day 3 Is More Associated with Sepsis-Associated Encephalopathy. Sci. Rep. 2020, 10, 7718. [Google Scholar] [CrossRef]
- Rodríguez, A.; Cervera, E.; Macchia, G.; Mendoza, X.; Martínez, W.; Pérez, O.; Sanjuán, H.; Villalba, P. Utility of S-100B as a Potential Tool for Neuromonitoring and Prediction of Neuroworsening in Acute Phase of Traumatic Brain Injury. Crit. Care Emerg. Surg. 2020, 7, 106–113. [Google Scholar] [CrossRef]
- Welch, R.D.; Ayaz, S.I.; Lewis, L.M.; Unden, J.; Chen, J.Y.; Mika, V.H.; Saville, B.; Tyndall, J.A.; Nash, M.; Buki, A.; et al. Ability of Serum Glial Fibrillary Acidic Protein, Ubiquitin C-Terminal Hydrolase-L1, and S100B To Differentiate Normal and Abnormal Head Computed Tomography Findings in Patients with Suspected Mild or Moderate Traumatic Brain Injury. J. Neurotrauma 2016, 33, 203–214. [Google Scholar] [CrossRef]
- Calcagnile, O.; Anell, A.; Undén, J. The Addition of S100B to Guidelines for Management of Mild Head Injury Is Potentially Cost Saving. Bmc Neurol. 2016, 16, 200. [Google Scholar] [CrossRef]
- Mozafari, J.; Motamed, H.; Masoumi, K.; Hanafi, M.G.; Fahimi, M.A.; Derakhshani, Z.; Ehyaie, F. Characteristics of S100B and Neuron Specific Enolase in Differentiating Acute Vertigo Cases with Central Cause; a Diagnostic Accuracy Study. Arch. Acad. Emerg. Med. 2020, 8, e3. [Google Scholar] [PubMed]
- Varshney, M.; Li, Y. Interdigitated Array Microelectrodes Based Impedance Biosensors for Detection of Bacterial Cells. Biosens. Bioelectron. 2009, 24, 2951–2960. [Google Scholar] [CrossRef] [PubMed]
- Ding, S.; Mosher, C.; Lee, X.Y.; Das, S.R.; Cargill, A.A.; Tang, X.; Chen, B.; McLamore, E.S.; Gomes, C.; Hostetter, J.M.; et al. Rapid and Label-Free Detection of Interferon Gamma via an Electrochemical Aptasensor Comprising a Ternary Surface Monolayer on a Gold Interdigitated Electrode Array. ACS Sens. 2017, 2, 210–217. [Google Scholar] [CrossRef] [PubMed]
- Sidhu, R.K.; Cavallaro, N.D.; Pola, C.C.; Danyluk, M.D.; McLamore, E.S.; Gomes, C.L. Planar Interdigitated Aptasensor for Flow-through Detection of Listeria Spp. In Hydroponic Lettuce Growth Media. Sens. Switz. 2020, 20, 5773. [Google Scholar] [CrossRef]
- Lian, Y.; He, F.; Wang, H.; Tong, F. A New Aptamer/Graphene Interdigitated Gold Electrode Piezoelectric Sensor for Rapid and Specific Detection of Staphylococcus Aureus. Biosens. Bioelectron. 2015, 65, 314–319. [Google Scholar] [CrossRef]
- Ding, S. Highly Sensitive Biosensors with Interdigitated Electrode Arrays. Ph.D. Thesis, Iowa State University, Ames, IA, USA, 2018. [Google Scholar]
- Lee, H.S.; Oh, J.S.; Chang, Y.W.; Park, Y.J.; Shin, J.S.; Yoo, K.H. Carbon Nanotube-Based Biosensor for Detection of Matrix Metallopeptidase-9 and S-100B. Curr. Appl. Phys. 2009, 9 (Suppl. S4), e270–e272. [Google Scholar] [CrossRef]
- Liu, Y.; Wang, H.; Chen, J.; Liu, C.; Li, W.; Kong, J.; Yang, P.; Liu, B. A Sensitive Microchip-Based Immunosensor for Electrochemical Detection of Low-Level Biomarker S100b. Electroanalysis 2013, 25, 1050–1055. [Google Scholar] [CrossRef]
- Cardinell, B.A.; Addington, C.P.; Stabenfeldt, S.E.; La Belle, J.T. Multi-Biomarker Detection Following Traumatic Brain Injury. Crit. Rev. Biomed. Eng. 2019, 47, 193–206. [Google Scholar] [CrossRef]
- Kuo, Y.C.; Lee, C.K.; Lin, C.T. Improving Sensitivity of a Miniaturized Label-Free Electrochemical Biosensor Using Zigzag Electrodes. Biosens. Bioelectron. 2018, 103, 130–137. [Google Scholar] [CrossRef] [PubMed]
- Mathew, A.S.; Shi, X.; Yau, S.T. Detection of a Traumatic Brain Injury Biomarker at the 10 Fg/ML Level. Mol. Diagn. Ther. 2018, 22, 729–735. [Google Scholar] [CrossRef] [PubMed]
- Hassanain, W.A.; Sivanesan, A.; Ayoko, G.A.; Izake, E.L. Rapid Electrochemical Nanosensing of S100 ß in Blood. J. Electrochem. Soc. 2020, 167, 067518. [Google Scholar] [CrossRef]
- Stevic, P. RCA-1 Cleaning Standard Operating Procedure; Kavli Nanolab Delft: Delft, The Netherlands, 2018. [Google Scholar]
- Haris, P.I.; Severcan, F. FTIR Spectroscopic Characterization of Protein Structure in Aqueous and Non-Aqueous Media. J. Mol. Catal. B Enzym. 1999, 7, 207–221. [Google Scholar] [CrossRef]
- Shukri, W.N.W.; Bidin, N.; Islam, S.; Krishnan, G.; Bakar, M.A.A.; Affandi, M.S. Synthesis and Characterization of Uncoated and Cysteamine-Coated Gold Nanoparticles by Pulsed Laser Ablation. J. Nanophotonics 2016, 10, 046007. [Google Scholar] [CrossRef]












| Author (year) | Chemistry of Functionalization | Detection Method | Range of Detection | LOD |
|---|---|---|---|---|
| Kim et al., (2015) [9] | MB-Ab-S100B-Ab-QD | Sandwiched immunocomplex optical detection | 0.01–30 ng/mL | 10 pg/mL |
| Mikuła et al., (2014) [11] | Au/(NAC-DPTA)-Cu(II)/His6-RAGE VC1 or C2 domains | Electrochemical | 370–7.4 ng/mL | 193 pg/mL * (buffer) 240 pg/mL * (plasma) |
| Kurzątkowska et al., (2016) [10] | Au/NAC/DPM–Cu(II)/His-tagged RAGE | Electrochemical | 333–7.4 ng/mL * | 963 pg/mL * (buffer) and 333 pg/mL *(plasma) |
| Au/MBT/DPM–Cu(II)/His-tagged RAGE | Electrochemical | 1–7.4 ng/mL * | 1.8 ng/mL * (buffer) and 1 ng/mL * (plasma) | |
| Tabrizi et al., (2019) [12] | anti-S100B/rGO-Au/ITO | Sandwich-type photoelectrochemical immunoassay | 0.25–1000 pg/mL | 0.15 pg/mL |
| Harpaz et al., (2019) [13] | Au/MUA-EDC/NHS-anti-S100B | SPR biosensor | 0.25–10 ng/mL | 0.75 ng/mL (water) and 0.136 ng/mL (plasma) |
| Khetani et al., (2017) [14] | GSPE/4-NBD/GA/anti-S100B | Electrochemical immunosensor | 1–10 ng/mL | 1 pg/mL |
| Lee et al., (2009) [25] | CNT/PBSE/anti-S100B | Electrical immunosensor | 1–100 ng/mL | Not reported |
| Liu et al., (2013) [26] | PEI-PMMA/anti-S100B | Microchip-based electrochemical immunosensor | 0.1–100 pg/mL | 0.1 pg/mL |
| Cardinell et al., (2019) [27] | GDE/16-MHDA/anti-S100B | Electrochemical | 1–1000 pg/mL | 2–5 pg/mL (purified solution) and 14–67 pg/mL (spiked plasma) |
| Y.-C. Kuo et al., (2018) [28] | IDZB/Cys/GA/anti-S100B | Electrochemical | 10–10 μg/mL * | 10 ng/mL * |
| Mathew et al., (2018) [29] | SPEs/CNT-nafion-GA/Ab-S100B-Ab | Electrochemical immunoassay —FEED | 10–10 ng/mL | 10 fg/mL |
| Hassanai, et al., (2020) [30] | Au-coated magnetic NPs/thiol-ended anti-S100B fragments | Electrochemical | 3.7–37 ng/mL * | 3.7 ng/mL * |
| Gold Electrodes (AuEs) 1 | ||||||
| n | fi2 | fi | OC Curve (v1) | DOF (v2) | Beta | Power |
| 3 | 3.270211 | 1.808372 | 4 | 10 | 0.33 | 0.67 |
| 4 | 4.360281 | 2.088129 | 4 | 15 | 0.175 | 0.825 |
| 5 | 5.450351 | 2.334599 | 4 | 20 | 0.061 | 0.939 |
| Interdigitated Gold Electrodes (AuIDEs) 2 | ||||||
| n | fi2 | fi | OC Curve (v1) | DOF (v2) | Beta | Power |
| 3 | 2.666285 | 1.632876 | 4 | 10 | 0.36 | 0.64 |
| 4 | 3.555047 | 1.885483 | 4 | 15 | 0.175 | 0.82 |
| 5 | 4.443809 | 2.108034 | 4 | 20 | 0.061 | 0.935 |
| Surface | Sq(nm) 1 | Sa(nm) 2 | Ssk 3 | Median Peak Height (nm) |
|---|---|---|---|---|
| Au | 9.012 × 10−4 | 7.240 × 10−4 | 1.577 × 10−2 | 4.313 |
| Au-Cys | 1.639 | 1.276 | 0.578 | 5.875 |
| Au-Cys-anti-S100B | 2.517 | 1.876 | 1.119 | 20.401 |
Publisher’s Note: MDPI stays neutral with regard to jurisdictional claims in published maps and institutional affiliations. |
© 2021 by the authors. Licensee MDPI, Basel, Switzerland. This article is an open access article distributed under the terms and conditions of the Creative Commons Attribution (CC BY) license (http://creativecommons.org/licenses/by/4.0/).
Share and Cite
Rodríguez, A.; Burgos-Flórez, F.; Posada, J.D.; Cervera, E.; Zucolotto, V.; Sanjuán, H.; Sanjuán, M.; Villalba, P.J. Electrochemical Immunosensor for the Quantification of S100B at Clinically Relevant Levels Using a Cysteamine Modified Surface. Sensors 2021, 21, 1929. https://doi.org/10.3390/s21061929
Rodríguez A, Burgos-Flórez F, Posada JD, Cervera E, Zucolotto V, Sanjuán H, Sanjuán M, Villalba PJ. Electrochemical Immunosensor for the Quantification of S100B at Clinically Relevant Levels Using a Cysteamine Modified Surface. Sensors. 2021; 21(6):1929. https://doi.org/10.3390/s21061929
Chicago/Turabian StyleRodríguez, Alexander, Francisco Burgos-Flórez, José D. Posada, Eliana Cervera, Valtencir Zucolotto, Homero Sanjuán, Marco Sanjuán, and Pedro J. Villalba. 2021. "Electrochemical Immunosensor for the Quantification of S100B at Clinically Relevant Levels Using a Cysteamine Modified Surface" Sensors 21, no. 6: 1929. https://doi.org/10.3390/s21061929
APA StyleRodríguez, A., Burgos-Flórez, F., Posada, J. D., Cervera, E., Zucolotto, V., Sanjuán, H., Sanjuán, M., & Villalba, P. J. (2021). Electrochemical Immunosensor for the Quantification of S100B at Clinically Relevant Levels Using a Cysteamine Modified Surface. Sensors, 21(6), 1929. https://doi.org/10.3390/s21061929

