Multi-Layer and Conformally Integrated Structurally Embedded Vascular Antenna (SEVA) Arrays
Abstract
1. Introduction
2. Design and Fabrication
2.1. Multi-Layer SEVA (ML-SEVA)
2.2. Multi-Element SEVA Conformal Linear Array (SEVA-CLA)
3. Measurement and Analysis
3.1. Multi-Layer SEVA (ML-SEVA)
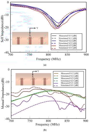
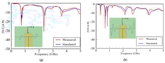
3.2. Multi-Element SEVA Conformal Linear Array (SEVA-CLA)
4. Discussion
5. Conclusions
Author Contributions
Funding
Institutional Review Board Statement
Informed Consent Statement
Data Availability Statement
Acknowledgments
Conflicts of Interest
References
- Inata, H.; Say, S.; Ando, T.; Liu, J.; Shimamoto, S. Unmanned aerial vehicle based missing people detection system employing phased array antenna. In Proceedings of the 2016 IEEE Wireless Communications and Networking Conference, Doha, Qatar, 3–6 April 2016. [Google Scholar]
- Fernandez, M.G.; Lopez, Y.A.; Andres, F.L.-H. On the Use of Unmanned Aerial Vehicles for Antenna and Coverage Diagnostics in Mobile Networks. IEEE Commun. Mag. 2018, 56, 72–78. [Google Scholar] [CrossRef]
- Kim, S.J.; Lim, G.J.; Cho, J.; Côté, M.J. Drone-Aided Healthcare Services for Patients with Chronic Diseases in Rural Areas. J. Intell. Robot. Syst. 2017, 88, 163–180. [Google Scholar] [CrossRef]
- Tran, H.H.; Nguyen-Trong, N.; Le, T.T.; Park, H.C. Wideband and Multipolarization Reconfigurable Crossed Bowtie Dipole Antenna. IEEE Trans. Antennas Propag. 2017, 65, 6968–6975. [Google Scholar] [CrossRef]
- Yoon, S.; Tak, J.; Choi, J.; Park, Y.-M. Conformal monopolar antenna for UAV applications. In Proceedings of the IEEE International Symposium on Antennas and Propagation & USNC/URSI National Radio Science Meeting, San Diego, CA, USA, 9–14 July 2017. [Google Scholar]
- Nosrati, M.; Jafargholi, A.; Pazoki, R.; Tavassolian, N. Broadband Slotted Blade Dipole Antenna for Airborne UAV Applications. IEEE Trans. Antennas Propag. 2018, 66, 3857–3864. [Google Scholar] [CrossRef]
- Wu, D.; Chen, X.; Yang, L.; Fu, G.; Shi, X. Compact and Low-Profile Omnidirectional Circularly Polarized Antenna with Four Coupling Arcs for UAV Applications. IEEE Antennas Wirel. Propag. Lett. 2017, 16, 2919–2922. [Google Scholar] [CrossRef]
- Hu, J.; Luo, G.Q.; Hao, Z.-C. A Wideband Quad-Polarization Reconfigurable Metasurface Antenna. IEEE Access 2018, 6, 6130–6137. [Google Scholar] [CrossRef]
- Balderas, L.I.; Reyna, A.; Panduro, M.A.; Del Rio, C.; Gutierrez, A.R. Low-Profile Conformal UWB Antenna for UAV Applications. IEEE Access 2019, 7, 127486–127494. [Google Scholar] [CrossRef]
- Seo, D.-G.; Jeong, C.-H.; Choi, Y.-S.; Park, J.-S.; Jeong, Y.-Y.; Lee, W.-S. Wide Beam Coverage Dipole Antenna Array with Parasitic Elements for UAV Communication. In Proceedings of the IEEE International Symposium on Antennas and Propagation and USNC-URSI Radio Science Meeting, Atlanta, GA, USA, 7–12 July 2019. [Google Scholar]
- Costa, A.; Goncalves, R.; Pinho, P.; Carvalho, N.B. Design of UAV and ground station antennas for communications link budget improvement. In Proceedings of the IEEE International Symposium on Antennas and Propagation & USNC/URSI National Radio Science Meeting, San Diego, CA, USA, 9–14 July 2017. [Google Scholar]
- Lee, C.U.; Noh, G.; Ahn, B.; Yu, J.-W.; Lee, H.L. Tilted-Beam Switched Array Antenna for UAV Mounted Radar Applications with 360° Coverage. Electronics 2019, 8, 1240. [Google Scholar] [CrossRef]
- Zhou, Y.; Bayram, Y.; Du, F.; Dai, L.; Volakis, J.L. Polymer-Carbon Nanotube Sheets for Conformal Load Bearing Antennas. IEEE Trans. Antennas Propag. 2010, 58, 2169–2175. [Google Scholar] [CrossRef]
- Mehdipour, A.; Sebak, A.-R.; Trueman, C.W.; Rosca, I.D.; Hoa, S.V. Reinforced Continuous Carbon-Fiber Composites Using Multi-Wall Carbon Nanotubes for Wideband Antenna Applications. IEEE Trans. Antennas Propag. 2010, 58, 2451–2456. [Google Scholar] [CrossRef]
- Biswas, S. Fabrication of Conformal Load Bearing Antenna using 3D Printing. In Proceedings of the IEEE International Symposium on Antennas and Propagation & USNC/URSI National Radio Science Meeting, Boston, MA, USA, 8–13 July 2018. [Google Scholar]
- Chen, C.; Zheng, H. Design of a dual-band conformai antenna on a cone surface for missle-borne. In Proceedings of the Sixth Asia-Pacific Conference on Antennas and Propagation (APCAP), Xi’an, China, 16–19 October 2017. [Google Scholar]
- Kim, J.; Jang, J.-Y.; Ryu, G.-H.; Choi, J.-H.; Kim, M.-S. Structural design and development of multiband aero-vehicle smart skin antenna. J. Intell. Mater. Syst. Struct. 2014, 25, 631–639. [Google Scholar] [CrossRef]
- Xu, F.; Wei, B.; Li, W.; Liu, J.; Qiu, Y.; Liu, W. Cylindrical conformal single-patch microstrip antennas based on three dimensional woven glass fiber/epoxy resin composites. Compos. Part B Eng. 2015, 78, 331–337. [Google Scholar] [CrossRef]
- Liu, Y.; Du, H.; Liu, L.; Leng, J. Shape memory polymers and their composites in aerospace applications: A review. Smart Mater. Struct. 2014, 23. [Google Scholar] [CrossRef]
- Bishop, N.A.; Miller, J.; Zeppettella, D.; Baron, W.; Tuss, J.; Ali, M. A Broadband High-Gain Bi-Layer LPDA for UHF Conformal Load-Bearing Antenna Structures (CLASs) Applications. IEEE Trans. Antennas Propag. 2015, 63, 2359–2364. [Google Scholar] [CrossRef]
- Bishop, N.; Ali, M.; Baron, W.; Miller, J.; Tuss, J.; Zeppettella, D.; Ali, M. Aperture coupled MEMS reconfigurable pixel patch antenna for conformal load bearing antenna structures (CLAS). In Proceedings of the 2014 IEEE Antennas and Propagation Society International Symposium (APSURSI), Memphis, TN, USA, 6–11 July 2014; pp. 1091–1092. [Google Scholar]
- Kiourti, A.; Volakis, J.L. Stretchable and Flexible E-Fiber Wire Antennas Embedded in Polymer. IEEE Antennas Wirel. Propag. Lett. 2014, 13, 1381–1384. [Google Scholar] [CrossRef]
- Yao, L.; Jiang, M.; Zhou, D.; Xu, F.; Zhao, D.; Zhang, W.; Zhou, N.; Jiang, Q.; Qiu, Y. Fabrication and characterization of microstrip array antennas integrated in the three dimensional orthogonal woven composite. Compos. Part B Eng. 2011, 42, 885–890. [Google Scholar] [CrossRef]
- Zhong, J.; Kiourti, A.; Sebastian, T.; Bayram, Y.; Volakis, J.L. Conformal Load-Bearing Spiral Antenna on Conductive Textile Threads. IEEE Antennas Wirel. Propag. Lett. 2016, 16, 230–233. [Google Scholar] [CrossRef]
- Wang, Z.; Zhang, L.; Bayram, Y.; Volakis, J.L. Embroidered Conductive Fibers on Polymer Composite for Conformal Antennas. IEEE Trans. Antennas Propag. 2012, 60, 4141–4147. [Google Scholar] [CrossRef]
- Du, C.-Z.; Zhong, S.-S.; Yao, L.; Qiu, Y.-P. Textile microstrip two-element array antenna on 3D orthogonal woven composite. In Proceedings of the 2010 International Symposium on Signals, Systems and Electronics, Nanjing, China, 17–20 September 2010; Volume 2, pp. 1–2. [Google Scholar] [CrossRef]
- Ghorbani, K. Conformal load bearing antenna structure using Carbon Fibre Reinforced Polymer (CFRP). In Proceedings of the International Workshop on Antenna Technology: Small Antennas, Novel EM Structures and Materials, and Applications (iWAT), Sydney, Australia, 4–6 March 2014. [Google Scholar]
- Kim, M.-S.; Park, C.-Y.; Cho, C.-M.; Jun, S.-M. A multi-band smart skin antenna design for flight demonstration. In Proceedings of the 8th European Conference on Antennas and Propagation (EuCAP 2014), The Hague, The Netherlands, 6–11 April 2014. [Google Scholar]
- Morishita, A.; Kitamura, C.; Ohta, A.; Shiroma, W. Two-octave tunable liquid-metal monopole antenna. Electron. Lett. 2014, 50, 19–20. [Google Scholar] [CrossRef]
- Huff, G.H.; Pan, H.; Hartl, D.J.; Frank, G.J.; Bradford, R.L.; Baur, J.W. A Physically Reconfigurable Structurally Embedded Vascular Antenna. IEEE Trans. Antennas Propag. 2017, 65, 2282–2288. [Google Scholar] [CrossRef]
- Morales, D.; Stoute, N.A.; Yu, Z.; Aspnes, D.E.; Dickey, M.D. Liquid gallium and the eutectic gallium indium (EGaIn) alloy: Dielectric functions from 1.24 to 3.1 eV by electrochemical reduction of surface oxides. Appl. Phys. Lett. 2016, 109, 091905. [Google Scholar] [CrossRef]
- Hartl, D.J.; Frank, G.J.; Baur, J.W. Effects of microchannels on the mechanical performance of multifunctional composite laminates with unidirectional laminae. Compos. Struct. 2016, 143, 242–254. [Google Scholar] [CrossRef]
- Hartl, D.J.; Frank, G.J.; Malak, R.J.; Baur, J.W. A liquid metal-based structurally embedded vascular antenna: II. Multiobjective and parameterized design exploration. Smart Mater. Struct. 2016, 26, 025002. [Google Scholar] [CrossRef]
- Hartl, D.J.; Huff, G.H.; Pan, H.; Smith, L.; Bradford, R.L.; Frank, G.J.; Baur, J.W. Analysis and characterization of structurally embedded vascular antennas using liquid metals. In Proceedings of the Sensors and Smart Structures Technologies for Civil, Mechanical, and Aerospace Systems, Las Vegas, NV, USA, 20 April 2016. [Google Scholar]
- Hartl, D.J.; Frank, G.J.; Huff, G.H.; Baur, J.W. A liquid metal-based structurally embedded vascular antenna: I. Concept and Multiphysics Modelling. Smart Mater. Struct. 2017, 26, 1–15. [Google Scholar] [CrossRef]
- Ansys HFSS: High Frequency Structural Simulator. Available online: https://www.ansys.com/products/electronics/ansys-hfss (accessed on 27 January 2021).
- Stein, F.M. The Curve Parallel to a Parabola Is Not a Parabola: Parallel Curves; Taylor & Francis, Ltd.: Abingdon, UK, 1980; Volume 11, pp. 239–246. [Google Scholar]
- 3MTM FluorinertTM Electronic Liquid FC-70–3M Science Applied to Life. September 2019. Available online: https://multimedia.3m.com/mws/media/64891O/fluorinert-electronic-liquid-fc-70.pdf (accessed on 27 January 2021).
- Vosoogh, A.; Kildal, P.-S. Simple Formula for Aperture Efficiency Reduction Due to Grating Lobes in Planar Phased Arrays. IEEE Trans. Antennas Propag. 2016, 64, 2263–2269. [Google Scholar] [CrossRef]
- Bharambe, V.T.; Adams, J.J. Planar 2-D Beam Steering Antenna Using Liquid Metal Parasitics. IEEE Trans. Antennas Propag. 2020, 68, 7320–7327. [Google Scholar] [CrossRef]
- Liu, Y.; Wang, Q.; Jia, Y.; Zhu, P. A Frequency- and Polarization-Reconfigurable Slot Antenna Using Liquid Metal. IEEE Trans. Antennas Propag. 2020, 68, 7630–7635. [Google Scholar] [CrossRef]
- Singh, A.; Goode, I.; Saavedra, C.E. A Multistate Frequency Reconfigurable Monopole Antenna Using Fluidic Channels. IEEE Antennas Wirel. Propag. Lett. 2019, 18, 856–860. [Google Scholar] [CrossRef]
















Publisher’s Note: MDPI stays neutral with regard to jurisdictional claims in published maps and institutional affiliations. |
© 2021 by the authors. Licensee MDPI, Basel, Switzerland. This article is an open access article distributed under the terms and conditions of the Creative Commons Attribution (CC BY) license (http://creativecommons.org/licenses/by/4.0/).
Share and Cite
Bal, A.; Baur, J.W.; Hartl, D.J.; Frank, G.J.; Gibson, T.; Pan, H.; Huff, G.H. Multi-Layer and Conformally Integrated Structurally Embedded Vascular Antenna (SEVA) Arrays. Sensors 2021, 21, 1764. https://doi.org/10.3390/s21051764
Bal A, Baur JW, Hartl DJ, Frank GJ, Gibson T, Pan H, Huff GH. Multi-Layer and Conformally Integrated Structurally Embedded Vascular Antenna (SEVA) Arrays. Sensors. 2021; 21(5):1764. https://doi.org/10.3390/s21051764
Chicago/Turabian StyleBal, Amrita, Jeffery W. Baur, Darren J. Hartl, Geoffrey J. Frank, Thao Gibson, Hong Pan, and Gregory H. Huff. 2021. "Multi-Layer and Conformally Integrated Structurally Embedded Vascular Antenna (SEVA) Arrays" Sensors 21, no. 5: 1764. https://doi.org/10.3390/s21051764
APA StyleBal, A., Baur, J. W., Hartl, D. J., Frank, G. J., Gibson, T., Pan, H., & Huff, G. H. (2021). Multi-Layer and Conformally Integrated Structurally Embedded Vascular Antenna (SEVA) Arrays. Sensors, 21(5), 1764. https://doi.org/10.3390/s21051764

