Tactile and Thermal Sensors Built from Carbon–Polymer Nanocomposites—A Critical Review
Abstract
1. Introduction
2. FCBPSS Framework for Classification and Analysis of Sensors
3. The Principle of the CNPC Sensor
4. Structure and State of the CNPC
4.1. The Types of Carbon Nanofillers
4.2. The Distribution of Carbon Nanofillers
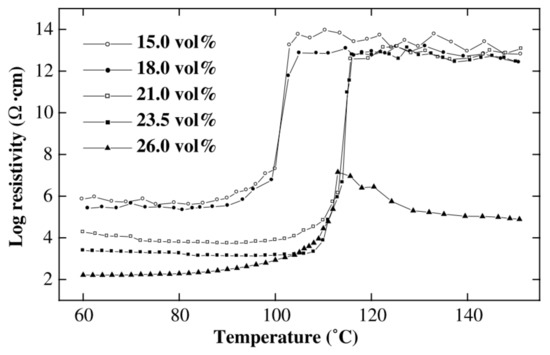
4.3. The Volumn Content of Carbon Nanofillers
4.4. The Type of Polymer Matrixes
5. The Performance of the CNPC Sensor and Sensing System
6. Fabrication Techniques
- (1)
- Solution method [38]: Prepare a polymer solvent and dissolve nanofillers into the polymer solvent. After sufficient dissolution, evaporating the water of the solvent then results in a polymer nanocomposite, which is in the matrix form. This is the most commonly used method.
- (2)
- Melt mixing method [46]: Prepare a polymer solvent and add the nanofillers directly into the solvent. After solidification of the polymer solvent nanocomposite, the polymer nanocomposite is obtained. This method seems easier than the solution method; however, the biggest problem is that it is difficult to disperse the nanofillers in a random and uniform way. This means that the nanofillers may aggregate in a small area, which produces some unexpected mechanical and physical properties in the resulting composite.
- (3)
- In situ polymerization method [41]: This method is different from the foregoing methods in such a way that the polymer composite is formed with polymerization at the same time. In particular, it uses a monomer solution or a liquid monomer to dissolve nanofillers and then to polymerize the monomer to form the polymer composite.
7. Conclusions and the Future Direction
- (1)
- The design and fabrication of a single CNPC sensor is ad hoc, i.e., far less systematic. There is no well documented knowledge available regarding the relationship of various parameters of CNPCs with respect to the performance of CNPC sensors. It is noted that the performance includes the following matrices: sensitivity, accuracy, reliability, robustness, and resilience [3,4].
- (2)
- Networks of CNPC sensors, i.e., intelligent tactile sensing systems, are still in their infancy. Currently, there is no theory available to guide the design and fabrication of such networks and operate and manage them. It is noted that for applications such as human–robot interaction or human cooperative robotics, real-time adaption of a network of CNPC sensors is imperative because in these applications, a target system changes with respect to time and event.
- (3)
- Both a single CNPC sensor and a network of CNPC sensors are suitable for flat surfaces only. This is an important limitation to applications such as human cooperative robotics, where a curved body surface is required.
Author Contributions
Funding
Institutional Review Board Statement
Informed Consent Statement
Conflicts of Interest
References
- Modi, S.; Lin, Y.; Cheng, L.; Yang, G.; Liu, L.; Zhang, W. A socially inspired framework for human state inference using expert opinion integration. IEEE/ASME Trans. Mechatron. 2011, 16, 874–878. [Google Scholar] [CrossRef]
- Lin, Y. Toward Intelligent Human Machine Interactions. Mech. Eng. 2017, 139, S4. [Google Scholar] [CrossRef]
- Zhang, W.; Lin, Y. On the principle of design of resilient systems—Application to enterprise information systems. Enterp. Inf. Syst. 2010, 4, 99–110. [Google Scholar] [CrossRef]
- Zhang, W.; Van Luttervelt, C. Toward a resilient manufacturing system. CIRP Ann. Manuf. Technol. 2011, 60, 469–472. [Google Scholar] [CrossRef]
- Miao, Y.; Yang, Q.Q.; Sammynaiken, R.; Zhang, W.J.; Maley, J.; Schatte, G. Influence of aligned carbon nanotube networks on piezoresistive response in carbon nanotube films under in-plane straining. Appl. Phys. Lett. 2013, 102, 233106. [Google Scholar] [CrossRef]
- Miao, Y.; Yang, Q.; Chen, L.; Sammynaiken, R.; Zhang, W.J. Modelling of piezoresistive response of carbon nanotube network-based films under in-plane straining by percolation theory. Appl. Phys. Lett. 2012, 101, 063120. [Google Scholar] [CrossRef]
- Choudhary, N.; Hwang, S.; Choi, W. Carbon Nanomaterials: A Review. In Handbook of Nanomaterials Properties; Springer: Berlin/Heidelberg, Germany, 2014; pp. 709–769. [Google Scholar]
- Briscoe, B.J.; Sinha, S.K. Hardness and Normal Indentation of Polymers. In Mechanical Properties and Testing of Polymers; Polymer Science and Technology Series; Swallowe, G.M., Ed.; Springer: Dordrecht, Switzerland, 1999; pp. 113–122. [Google Scholar]
- Miao, Y.; Chen, L.; Sammynaiken, R.; Lin, Y.; Zhang, W.J. Note: Optimization of piezoresistive response of pure carbon nanotubes networks as in-plane strain sensors. Rev. Sci. Instrum. 2011, 82, 126104. [Google Scholar] [CrossRef]
- Lin, Y.; Zhang, W. A function-behavior-state approach to designing human-machine interface for nuclear power plant operators. IEEE Trans. Nucl. Sci. 2005, 52, 430–439. [Google Scholar] [CrossRef]
- Zhang, W.; Wang, J.W.; Zhang, W.; Wang, J.W. Design theory and methodology for enterprise systems. Enterp. Inf. Syst. 2016, 10, 245–248. [Google Scholar] [CrossRef]
- Lin, Y.; Zhang, W. Towards a novel interface design framework: Function-behavior-state paradigm. Int. J. Hum. Comput. Stud. 2004, 61, 259–297. [Google Scholar] [CrossRef]
- Zhang, W.; Lin, Y.; Sinha, N. On the function-behavior-structure model for design. In Proceedings of the Canadian Design Engineering Network (CDEN) Conference, Kaninaskis, AL, Canada, 18–20 July 2005. [Google Scholar]
- Miao, Y. On Understanding of Piezoresistive Response in Carbon Nanotube Networks under In-Plane Straining. Ph.D. Thesis, University of Saskatchewan, Saskatoon, SK, Canada, June 2013. [Google Scholar]
- Weng, W.; Chen, G.-H.; Wu, D.-J.; Yan, W.-L. HDPE/expanded graphite electrically conducting composite. Compos. Interfaces 2004, 11, 131–143. [Google Scholar] [CrossRef]
- Zheng, W.; Wong, S.-C. Electrical conductivity and dielectric properties of PMMA/expanded graphite composites Compos. Sci. Technol. 2003, 63, 225–235. [Google Scholar]
- Chen, X.-M.; Shen, J.-W.; Huang, W.-Y. Novel electrically conductive polypropylene/graphite nanocomposites. J. Mater. Sci. Lett. 2002, 21, 213–214. [Google Scholar] [CrossRef]
- Yue, L.; Pircheraghi, G.; Monemian, S.A.; Manas-Zloczower, I. Epoxy composites with carbon nanotubes and graphene nanoplatelets—Dispersion and synergy effects. Carbon. 2014, 78, 268–278. [Google Scholar] [CrossRef]
- Feng, X.; Liao, G.; He, W.; Sun, Q.; Jian, X.; Du, J. Preparation and characterization of functionalized carbon nanotubes/poly(phthalazinone ether sulfone ketone)s composites. Polym. Compos. 2009, 30, 365–373. [Google Scholar] [CrossRef]
- Xie, H.; Sheng, P. Fluctuation-induced tunneling conduction through nanoconstrictions. Phys. Rev. B Condens. Matter Mater. Phys. 2009, 79, 165419. [Google Scholar] [CrossRef]
- Xi, Y.; Ishikawa, H.; Bin, Y.; Matsuo, M. Positive temperature coefficient effect of LMWPE-UHMWPE blends filled with short carbon fibers. Carbon. 2004, 42, 1699–1706. [Google Scholar] [CrossRef]
- Ferrara, M.; Neitzert, H.; Sarno, M.; Gorrasi, G.; Sannino, D.; Vittoria, V.; Ciambelli, P. Influence of the electrical field applied during thermal cycling on the conductivity of LLDPE/CNT composites. Phys. E Low Dimens. Syst. Nanostruct. 2007, 37, 66–71. [Google Scholar] [CrossRef]
- Neitzert, H.C.; Vertuccio, L.; Sorrentino, A. Epoxy/MWCNT composite as temperature sensor and Electrical heating element. IEEE Trans. Nanotechnol. 2011, 10, 688–693. [Google Scholar] [CrossRef]
- Bao, S.P.; Liang, G.D.; Tjong, S.C. Positive temperature coefficient effect of polypropylene/carbon nanotube/montmorillonite hybrid nanocomposites. IEEE Trans. Nanotechnol. 2009, 8, 729–736. [Google Scholar] [CrossRef]
- Yang, H.; Qi, D.; Liu, Z.; Chandran, B.K.; Wang, T.; Yu, J.; Chen, X. Soft Thermal Sensor with Mechanical Adaptability. Adv. Mater. 2016, 28, 9175–9181. [Google Scholar] [CrossRef]
- Yang, S.Y.; Lin, W.N.; Huang, Y.L.; Tien, H.W.; Wang, J.Y.; Ma, C.C.M.; Li, S.M.; Wang, Y.S. Synergetic effects of graphene platelets and carbon nanotubes on the mechanical and thermal properties of epoxy composites. Carbon. 2011, 49, 793–803. [Google Scholar] [CrossRef]
- Grossiord, N.; Loos, J.; Regev, A.O.; Koning, C.E. Toolbox for dispersing carbon nanotubes into polymers to get conductive nanocomposites. Chem. Mater. 2006, 18, 1089–1099. [Google Scholar] [CrossRef]
- Roy, S.; Petrova, R.S.; Mitra, S. Effect of carbon nanotube (CNT) functionalization in epoxy-CNT composites. Nanotechnol. Rev. 2018, 7, 475–485. [Google Scholar] [CrossRef]
- Pötschke, P.; Dudkin, S.M.; Alig, I. Dielectric spectroscopy on melt processed polycarbonate—Multiwalled carbon nanotube composites. Polymer 2003, 44, 5023–5030. [Google Scholar] [CrossRef]
- Wang, X.; Tang, F.; Cao, Q.; Qi, X.; Pearson, M.; Li, M.; Pan, H.; Zhang, Z.; Lin, Z. Comparative study of three carbon additives: Carbon nanotubes, graphene, and fullerene-c60, for synthesizing enhanced polymer nanocomposites. Nanomaterials 2020, 10, 838. [Google Scholar] [CrossRef] [PubMed]
- Ma, P.-C.; Siddiqui, N.A.; Marom, G.; Kim, J.-K. Dispersion and functionalization of carbon nanotubes for polymer-based nanocomposites: A review. Compos. Part A Appl. Sci. Manuf. 2010, 41, 1345–1367. [Google Scholar] [CrossRef]
- Ghislandi, M.M.; Tkalya, E.E.; Schillinger, S.; Koning, C.E.; De With, G. High performance graphene- and MWCNTs-based PS/PPO composites obtained via organic solvent dispersion. Compos. Sci. Technol. 2013, 80, 16–22. [Google Scholar] [CrossRef]
- Punetha, V.D.; Rana, S.; Yoo, H.J.; Chaurasia, A.; Mcleskey, J.T.; Ramasamy, M.S.; Sahoo, N.G.; Cho, J.W. Functionalization of carbon nanomaterials for advanced polymer nanocomposites: A comparison study between CNT and graphene. Prog. Polym. Sci. 2017, 67, 1–47. [Google Scholar] [CrossRef]
- Zhang, W.; Ouyang, P.; Sun, Z. A Novel Hybridization Design Principle for Intelligent Mechatronics Systems. Available online: https://www.jstage.jst.go.jp/article/jsmeicam/2010.5/0/2010.5_67/_article#citedby-wrap (accessed on 25 January 2021).
- Min, C.; Shen, X.; Shi, Z.; Chen, L.; Xu, Z. The electrical properties and conducting mechanisms of carbon nanotube/polymer nanocomposites: A review. Polym. Plast. Technol. Eng. 2010, 49, 1172–1181. [Google Scholar] [CrossRef]
- Khan, M.O.; Leung, S.N.; Chan, E.; Naguib, H.; Dawson, F.; Adinkrah, V. Effects of microsized and nanosized carbon fillers on the thermal and electrical properties of polyphenylene sulfide-based composites. Polym. Eng. Sci. 2013, 53, 2398–2406. [Google Scholar] [CrossRef]
- He, Z.; Zhang, X.; Chen, M.; Li, M.; Gu, Y.; Zhang, Z.; Li, Q. Effect of the filler structure of carbon nanomaterials on the electrical, thermal, and rheological properties of epoxy composites. J. Appl. Polym. Sci. 2013, 129, 3366–3372. [Google Scholar] [CrossRef]
- Kong, K.; Mariatti, M.; Rashid, A.; Busfield, J. Enhanced conductivity behavior of polydimethylsiloxane (PDMS) hybrid composites containing exfoliated graphite nanoplatelets and carbon nanotubes. Compos. Part B Eng. 2014, 58, 457–462. [Google Scholar] [CrossRef]
- Kumar, S.; Sun, L.L.; Caceres, S.; Li, B.; Wood, W.; Perugini, A.; Maguire, R.G.; Zhong, W.H. Dynamic synergy of graphitic nanoplatelets and multi-walled carbon nanotubes in polyetherimide nanocomposites. Nanotechnology 2010, 21, 105702. [Google Scholar] [CrossRef]
- Du, J.; Zhao, L.; Zeng, Y.; Zhang, L.; Li, F.; Liu, P.; Liu, C. Comparison of electrical properties between multi-walled carbon nanotube and graphene nanosheet/high density polyethylene composites with a segregated network structure. Carbon 2011, 49, 1094–1100. [Google Scholar] [CrossRef]
- Lu, X.; Dou, H.; Yang, S.; Hao, L.; Zhang, L.; Shen, L.; Zhang, F.; Zhang, X. Fabrication and electrochemical capacitance of hierarchical graphene/polyaniline/carbon nanotube ternary composite film. Electrochim. Acta 2011, 56, 9224–9232. [Google Scholar] [CrossRef]
- Knapp, B.; Kohl, P.A. Polymers for microelectronics. J. Appl. Polym. Sci. 2014, 131, 1182–1190. [Google Scholar] [CrossRef]
- Wu, N.; She, X.; Yang, D.; Wu, X.; Su, F.; Chen, Y. Synthesis of network reduced graphene oxide in polystyrene matrix by a two-step reduction method for superior conductivity of the composite. J. Mater. Chem. 2012, 22, 17254–17261. [Google Scholar] [CrossRef]
- Vadukumpully, S.; Paul, J.; Mahanta, N.; Valiyaveettil, S. Flexible conductive graphene/poly (vinyl chloride) composite thin films with high mechanical strength and thermal stability. Carbon 2011, 49, 198–205. [Google Scholar] [CrossRef]
- Broza, G.; Piszczek, K.; Schulte, K.; Sterzyński, T. Nanocomposites of poly (vinyl chloride) with carbon nanotubes (CNT). Compos. Sci. Technol. 2007, 67, 890–894. [Google Scholar] [CrossRef]
- Sahoo, N.G.; Cheng, H.K.F.; Bao, H.; Li, L.; Chan, S.H.; Zhao, J. Nitrophenyl functionalization of carbon nanotubes and its effect on properties of MWCNT/LCP composites. Macromol. Res. 2011, 19, 660–667. [Google Scholar] [CrossRef]
- Biswas, S.; Fukushima, H.; Drzal, L.T. Mechanical and electrical property enhancement in exfoliated graphene nanoplatelet/liquid crystalline polymer nanocomposites. Compos. Part A Appl. Sci. Manuf. 2011, 42, 371–375. [Google Scholar] [CrossRef]
- Qin, B.; Li, B.; Zhang, J.; Xie, X.; Li, W. Highly sensitive strain sensor based on stretchable sandwich-type composite of carbon nanotube and poly(styrene–butadiene–styrene). Sens. Actuators A Phys. 2020, 315, 112357. [Google Scholar] [CrossRef]
- Pradhan, B.; Srivastava, S.K. Synergistic effect of three-dimensional multi-walled carbon nanotube-graphene nanofiller in enhancing the mechanical and thermal properties of high-performance silicone rubber. Polym. Int. 2014, 63, 1219–1228. [Google Scholar] [CrossRef]
- Zhu, J.; Peng, H.; Rodriguez-Macias, F.; Margrave, J.L.; Khabashesku, V.N.; Imam, A.M.; Lozano, K.; Barrera, E.V. Reinforcing epoxy polymer composites through covalent integration of functionalized nanotubes. Adv. Funct. Mater. 2004, 14, 643–648. [Google Scholar] [CrossRef]
- DeLozier, D.M.; Watson, K.A.; Smith, J.G.; Clancy, T.C.; Connell, J.W. Investigation of aromatic/aliphatic polyimides as dispersants for single wall carbon nanotubes. Macromolecules 2006, 39, 1731–1739. [Google Scholar] [CrossRef]
- Du, F.; Guthy, C.; Kashiwagi, T.; Fischer, J.E.; Winey, K.I. An infiltration method for preparing single-wall nanotube/ epoxy composites with improved thermal conductivity. J. Polym. Sci. Part B Polym. Phys. 2006, 44, 1513–1519. [Google Scholar] [CrossRef]
- Li, J.; Ma, P.C.; Chow, W.S.; To, C.K.; Tang, B.Z.; Kim, J.-K. Correlations between percolation threshold, dispersion state, and aspect ratio of carbon nanotubes. Adv. Funct. Mater. 2007, 17, 3207–3215. [Google Scholar] [CrossRef]
- Stauffer, D.; Bunde, A. Introduction to Percolation Theory. Phys. Today 1993, 46, 64. [Google Scholar] [CrossRef]
- Regev, O.; ElKati, P.N.B.; Loos, J.J.; Koning, C.E. Preparation of conductive nanotube-polymer composites using latex technology. Adv. Mater. 2004, 16, 248–251. [Google Scholar] [CrossRef]
- Martin, C.A.; Sandler, J.K.W.; Shaffer, M.S.P.; Schwarz, M.K.; Bauhofer, W.; Schulte, K.; Windle, A.H. Formation of percolating networks in multi-wall carbon-nanotube-epoxy composites. Compos. Sci. Technol. 2004, 64, 2309–2316. [Google Scholar] [CrossRef]
- Sandler, J.; Kirk, J.E.; Kinloch, I.A.; Shaffer, M.; Windle, A.H. Ultra-low electrical percolation threshold in carbon-nanotube-epoxy composites. Polymer 2003, 44, 5893–5899. [Google Scholar] [CrossRef]
- Hu, G.; Zhao, C.; Zhang, S.; Yang, M.; Wang, Z. Low percolation thresholds of electrical conductivity and rheology in poly(ethylene terephthalate) through the networks of multi-walled carbon nanotubes. Polymer 2006, 47, 480–488. [Google Scholar] [CrossRef]
- Liao, S.H.; Yen, C.Y.; Weng, C.C.; Lin, Y.F.; Ma, C.C.M.; Yang, C.H.; Tsai, M.C.; Yen, M.Y.; Hsiao, M.C.; Lee, S.J.; et al. Preparation and properties of carbon nanotube/polypropylene nanocomposite bipolar plates for polymer electrolyte membrane fuel cells. J. Power Sources 2008, 185, 1225–1232. [Google Scholar] [CrossRef]
- JEngel, J.; Chen, J.; Chen, N.; Pandya, S.; Liu, C. Multi-Walled Carbon Nanotube Filled Conductive Elastomers: Materials and Application to Micro Transducers. In Proceedings of the 19th IEEE International Conference on Micro Electro Mechanical Systems, Istanbul, Turkey, 22–26 January 2006; pp. 246–249. [Google Scholar]
- Najer, A.; Wu, D.; Vasquez, D.; Palivan, C.G.; Meier, W. Polymer nanocompartments in broad-spectrum medical applications. Nanomedicine 2013, 8, 425–447. [Google Scholar] [CrossRef]
- Zhang, H.; Patel, P.R.; Xie, Z.; Swanson, S.D.; Wang, X.; Kotov, N.A. Tissue-compliant neural implants from microfabricated carbon nanotube multilayer composite. ACS Nano 2013, 7, 7619–7629. [Google Scholar] [CrossRef]
- Tsang, W.; Stone, A.; Aldworth, Z.; Otten, D.; Akinwande, A.; Daniel, T. Remote Control of a Cyborg Moth Using Carbon Nanotube-enhanced Flexible Neuroprosthetic Probe. In Proceedings of the 2010 IEEE 23rd International Conference on Micro Electro Mechanical Systems (MEMS), Wanchai, Hong Kong, 24–28 January 2010; pp. 39–42. [Google Scholar]
- Kim, D.-H.; Ghaffari, R.; Lu, N.; Rogers, J.A. Flexible and Stretchable Electronics for Biointegrated Devices. Annu. Rev. Biomed. Eng. 2012, 14, 113–128. [Google Scholar] [CrossRef]
- David-Pur, M.; Bareket-Keren, L.; Beit-Yaakov, G.; Raz-Prag, D.; Hanein, Y. All-carbon-nanotube flexible multi-electrode array for neuronal recording and stimulation. Biomed. Microdevices 2014, 16, 43–53. [Google Scholar] [CrossRef] [PubMed]
- David-Pur, M.; Bareket-Keren, L.; Beit-Yaakov, G.; Raz-Prag, D.; Rand, D.; Hanein, Y.; Rand, D. Carbon-nanotube based flexible electrodes for retinal recording and stimulation. In Proceedings of the IEEE Sensors, Baltimore, MD, USA, 3–6 November 2013. [Google Scholar]
- Zhang, H.; Zhou, L.; Zhang, W. Control of scaffold degradation in tissue engineering: A review. Tissue Eng. Part B Rev. 2014, 20, 492–502. [Google Scholar] [CrossRef]
- Yin, R.; Zhang, N.; Wang, K.; Long, H.; Xing, T.; Nie, J.; Zhang, H.; Zhang, W. Material design and photo-regulated hydrolytic degradation behavior of tissue engineering scaffolds fabricated via 3D fiber deposition. J. Mater. Chem. B 2017, 5, 329–340. [Google Scholar] [CrossRef]
- Armentano, I.; Dottori, M.; Fortunati, E.; Mattioli, S.; Kenny, J. Biodegradable polymer matrix nanocomposites for tissue engineering: A review. Polym. Degrad. Stab. 2010, 95, 2126–2146. [Google Scholar] [CrossRef]
- Guo, Y.; Chang, C.C.; Halada, G.; Cuiffo, M.A.; Xue, Y.; Zuo, X.; Pack, S.; Zhang, L.; He, S.; Weil, E.; et al. Engineering flame retardant biodegradable polymer nanocomposites and their application in 3D printing. Polym. Degrad. Stab. 2017, 137, 205–215. [Google Scholar] [CrossRef]
- Boland, C.S.; Khan, U.; Ryan, G.; Barwich, S.; Charifou, R.; Harvey, A.; Backes, C.; Li, Z.; Ferreira, M.S.; Möbius, M.E.; et al. Sensitive electromechanical sensors using viscoelastic graphene-polymer nanocomposites. Science 2016, 354, 1257–1260. [Google Scholar] [CrossRef]
- Mattmann, C.; Clemens, F.; Tröster, G. Sensor for measuring strain in textile. Sensors 2008, 8, 3719–3732. [Google Scholar] [CrossRef]
- Oliva-Avilés, A.I.; Avilés, F.; Sosa, V. Electrical and piezoresistive properties of multi-walled carbon nanotube/polymer composite films aligned by an electric field. Carbon 2011, 49, 2989–2997. [Google Scholar] [CrossRef]
- Boland, C.S.; Khan, U.; Backes, C.; O'Neill, A.; Mccauley, J.; Duane, S.; Shanker, R.; Liu, Y.; Jurewicz, I.; Dalton, A.B.; et al. Sensitive, high-strain, high-rate bodily motion sensors based on graphene-rubber composites. ACS Nano 2014, 8, 8819–8830. [Google Scholar] [CrossRef] [PubMed]
- Chang, T.H.; Tian, Y.; Li, C.; Gu, X.; Li, K.; Yang, H.; Sanghani, P.; Lim, C.M.; Ren, H.; Chen, P.Y. Stretchable Graphene Pressure Sensors with Shar-Pei-like Hierarchical Wrinkles for Collision-Aware Surgical Robotics. ACS Appl. Mater. Interfaces 2019, 11, 10226–10236. [Google Scholar] [CrossRef] [PubMed]
- Kong, J.-H.; Jang, N.-S.; Huh, J.-Y.; Kim, S.-H.; Kim, J.-M. Piezoresistive polymer diaphragm sensor array using conductive elastomeric nanocomposite films for skin-mountable keypad applications. J. Microelectromech. Syst. 2015, 24, 626–633. [Google Scholar] [CrossRef]
- Goger, D.; Worn, H. A highly versatile and robust tactile sensing system. Proc. IEEE Sens. 2007, 1056–1059. [Google Scholar] [CrossRef]
- Sun, X.; Wang, C.; Chi, C.; Xue, N.; Liu, C. A highly-sensitive flexible tactile sensor array utilizing piezoresistive carbon nanotube–polydimethylsiloxane composite. J. Micromech. Microeng. 2018, 28, 105011. [Google Scholar] [CrossRef]
- Lu, N.; Lu, C.; Yang, S.; A Rogers, J. Highly sensitive skin-mountable strain gauges based entirely on elastomers. Adv. Funct. Mater. 2012, 22. [Google Scholar] [CrossRef]
- He, Z.; Zhou, G.; Byun, J.H.; Lee, S.K.; Um, M.K.; Park, B.; Kim, T.; Lee, S.B.; Chou, T.W. Highly stretchable multi-walled carbon nanotube/thermoplastic polyurethane composite fibers for ultrasensitive, wearable strain sensors. Nanoscale 2019, 11, 5884–5890. [Google Scholar] [CrossRef]
- Kong, J.-H.; Jang, N.-S.; Kim, S.-H.; Kim, J.-M. Simple and rapid micropatterning of conductive carbon composites and its application to elastic strain sensors. Carbon 2014, 77, 199–207. [Google Scholar] [CrossRef]
- Cheng, M.-Y.; Tsao, C.-M.; Lai, Y.-Z.; Yang, Y.-J. The development of a highly twistable tactile sensing array with stretchable helical electrodes. Sens. Actuators A Phys. 2011, 166, 226–233. [Google Scholar] [CrossRef]
- Chen, Y.; Yu, M.; Bruck, H.A.; Smela, E. Stretchable touch-sensing skin over padding for co-robots. Smart Mater. Struct. 2016, 25, 55006. [Google Scholar] [CrossRef]
- Vatani, M.; Engeberg, E.D.; Choi, J.W. Force and slip detection with direct-write compliant tactile sensors using multi-walled carbon nanotube/polymer composites. Sens. Actuators A Phys. 2013, 195, 90–97. [Google Scholar] [CrossRef]
- Karimov, K.S.; Abid, М.; Saleem, M.; Akhmedov, K.M.; Bashir, M.M.; Shafique, U.; Ali, M.M. Temperature gradient sensor based on CNT composite. Phys. B Condens. Matter. 2014, 446, 39–42. [Google Scholar] [CrossRef]
- Li, Y.; Hu, N.; Wu, L.; Yuan, W.; Peng, X.; Gu, B.; Chang, C.; Liu, Y.; Ning, H.; Li, J.; et al. Temperature-dependent piezoresistivity in an MWCNT/epoxy nanocomposite temperature sensor with ultrahigh performance. Nanotechnology 2013, 24, 6. [Google Scholar]
- Lamberti, P.; Vivo, B.; Spinelli, G.; Tucci, V.; Guadagno, L.; Raimondo, M.; Vertuccio, L. Analysis of the Effects of Hydrotalcite Inclusion on the Temperature-Sensing Properties of CNT-Epoxy Nanocomposites. IEEE Sens. J. 2016, 16, 7977–7985. [Google Scholar] [CrossRef]
- He, X.J.; Du, J.H.; Ying, Z.; Cheng, H.M.; He, X.J. Positive temperature coefficient effect in multiwalled carbon nanotube/high-density polyethylene composites. Appl. Phys. Lett. 2005, 86, 1–3. [Google Scholar] [CrossRef]
- Aliev, A.E. Bolometric detector on the basis of single-wall carbon nanotube/polymer composite. Infrared Phys. Technol. 2008, 51, 541–545. [Google Scholar] [CrossRef]
- Alamusi, N.; Hu, J.; Qiu, Y.; Li, C.; Chang, S.; Atobe, H.; Fukunaga, Y.; Liu, H.; Ning, L.; Wu, J.; et al. Multi-scale numerical simulations of thermal expansion properties of CNT-reinforced nanocomposites. Nanoscale Res. Lett. 2013, 8, 1–8. [Google Scholar] [CrossRef]
- Amjadi, M.; Kyung, K.-U.; Park, I.; Sitti, M. Stretchable, Skin-Mountable, and Wearable Strain Sensors and Their Potential Applications: A Review. Adv. Funct. Mater. 2016, 26, 1678–1698. [Google Scholar] [CrossRef]
- Yan, C.; Wang, J.; Kang, W.; Cui, M.; Wang, X.; Foo, C.Y.; Chee, K.J.; Lee, P.S. Graphene: Highly Stretchable Piezoresistive Graphene-Nanocellulose Nanopaper for Strain Sensors. Adv. Mater. 2014, 26, 1950–1950. [Google Scholar] [CrossRef]
- Patel, S.; Park, H.; Bonato, P.; Chan, L.; Rodgers, M. A Review of Wearable Sensors and Systems with Application in Rehabilitation. J. Neuro Eng. Rehabil. 2012, 9, 21. [Google Scholar] [CrossRef] [PubMed]
- Muth, J.T.; Vogt, D.M.; Truby, R.L.; Mengüç, Y.; Kolesky, D.B.; Wood, R.J.; Lewis, J.A. Embedded 3D printing of strain sensors within highly stretchable elastomers. Adv. Mater. 2014, 26, 6307–6312. [Google Scholar] [CrossRef] [PubMed]
- Hu, N.; Masuda, Z.; Yamamoto, G.; Fukunaga, H.; Hashida, T.; Qiu, J. Effect of fabrication process on electrical properties of polymer/multi-wall carbon nanotube nanocomposites. Compos. Part A Appl. Sci. Manuf. 2008, 39, 893–903. [Google Scholar] [CrossRef]
- Chi, C.; Sun, X.; Xue, N.; Li, T.; Liu, C. Recent progress in technologies for tactile sensors. Sensors 2018, 18, 948. [Google Scholar] [CrossRef]
- Liu, C.-X.; Choi, J.-W. Improved Dispersion of Carbon Nanotubes in Polymers at High Concentrations. Nanomaterials 2012, 2, 329–347. [Google Scholar] [CrossRef]
- Subramanyam, U.; Kennedy, J.P. PVA networks grafted with PDMS branches. J. Polym. Sci. Part A Polym. Chem. 2009, 47, 5272–5277. [Google Scholar] [CrossRef]
- Hwang, J.; Jang, J.; Hong, K.; Kim, K.N.; Han, J.H.; Shin, K.; Park, C.E. Poly(3-hexylthiophene) wrapped carbon nanotube/poly(dimethylsiloxane) composites for use in finger-sensing piezoresistive pressure sensors. Carbon 2011, 49, 106–110. [Google Scholar] [CrossRef]
- Hong, J.; Lee, J.; Hong, C.K.; Shim, S.E. Effect of dispersion state of carbon nanotube on the thermal conductivity of poly(dimethyl siloxane) composites. Curr. Appl. Phys. 2010, 10, 359–363. [Google Scholar] [CrossRef]
- Chua, T.; Mariatti, M.; Aziz, A.; Rashid, A. Effects of surface-functionalized multi-walled carbon nanotubes on the properties of poly(dimethyl siloxane) nanocomposites. Compos. Sci. Technol. 2010, 70, 671–677. [Google Scholar] [CrossRef]
- Wang, S. Optimum degree of functionalization for carbon nanotubes. Curr. Appl. Phys. 2009, 9, 1146–1150. [Google Scholar] [CrossRef]
- Xu, Y.; Liu, Z.; Zhang, X.; Wang, Y.; Tian, J.; Huang, Y.; Ma, Y.; Zhang, X.; Chen, Y. A graphene hybrid material covalently functionalized with porphyrin: Synthesis and optical limiting property. Adv. Mater. 2009, 21, 1275–1279. [Google Scholar] [CrossRef]
- Das, M.; Ghosh, S.; Roy, S. Non-covalent functionalization of CNTs with polycarbazole: A chemiresistive humidity sensor with tunable chemo-electric attributes at room temperature. New J. Chem. 2018, 42, 6918–6931. [Google Scholar] [CrossRef]
- Liu, J.; Ye, Y.; Xue, Y.; Xie, X.; Mai, Y.-W. Recent advances in covalent functionalization of carbon nanomaterials with polymers: Strategies and perspectives. J. Polym. Sci. Part A Polym. Chem. 2017, 55, 622–631. [Google Scholar] [CrossRef]
- Roppolo, I.; Chiappone, A.; Bejtka, K.; Celasco, E.; Chiodoni, A.; Giorgis, F.; Sangermano, M.; Porro, S. A powerful tool for graphene functionalization: Benzophenone mediated UV-grafting. Carbon 2014, 77, 226–235. [Google Scholar] [CrossRef]
- Li, B.; Hou, W.; Sun, J.; Jiang, S.; Xu, L.; Li, G.; Memon, M.A.; Cao, J.; Huang, Y.; Bielawski, C.W.; et al. Tunable functionalization of graphene oxide sheets through surface-initiated cationic polymerization. Macromolecules 2015, 48, 994–1001. [Google Scholar] [CrossRef]
- Zhang, Q.; Li, Q.; Xiang, S.; Wang, Y.; Wang, C.; Jiang, W.; Zhou, H.; Yang, Y.; Tang, J. Covalent modification of graphene oxide with polynorbornene by surface-initiated ring-opening metathesis polymerization. Polymer 2014, 55, 6044–6050. [Google Scholar] [CrossRef]
- Zhang, W.; Zhou, Z.; Li, Q.; Chen, G.X. Controlled dielectric properties of polymer composites from coating multiwalled carbon nanotubes with octa-acrylate silsesquioxane through Diels-Alder cycloaddition and atom transfer radical polymerization. Ind. Eng. Chem. Res. 2014, 53, 6699–6707. [Google Scholar] [CrossRef]
- Yameen, B.; Rodriguez-emmenegger, C.; Ahmed, I.; Preuss, C.M.; Drr, C.J.; Zydziak, N.; Trouillet, V.; Fruk, L.; Barner-kowollik, C. A facile one-pot route to poly(carboxybetaine acrylamide) functionalized SWCNTs. Chem. Commun. 2013, 49, 6734–6736. [Google Scholar] [CrossRef]
- Chadwick, R.C.; Grande, J.B.; Brook, M.A.; Adronov, A. Functionalization of single-walled carbon nanotubes via the Piers-Rubinsztajn reaction. Macromolecules 2014, 47, 6527–6530. [Google Scholar] [CrossRef]
- Zhang, J.; Liang, S.; Yu, L.; Ladegaard Skov, A.; Etmimi, H.M.; Mallon, P.E.; Adronov, A.; Brook, M.A. Silicone-modified graphene oxide fillers via the Piers-Rubinsztajn reaction. J. Polym. Sci. Part A Polym. Chem. 2016, 54, 2379–2385. [Google Scholar] [CrossRef]
- Sun, D.; Zhou, Z.; Chen, G.-X.; Li, Q. Regulated dielectric loss of polymer composites from coating carbon nanotubes with a cross-linked silsesquioxane shell through free-radical polymerization. ACS Appl. Mater. Interfaces 2014, 6, 18635–18643. [Google Scholar] [CrossRef]
- McGrail, B.T.; Rodier, B.J.; Pentzer, E.B. Rapid functionalization of graphene oxide in water. Chem. Mater. 2014, 26, 5806–5811. [Google Scholar] [CrossRef]
- Zhang, X.; Qasim, K.; Hu, S. Enhanced piezoresistance repeatability of carbon nanotube/silicane composites achieved using radiation-induced graft polymerization. J. Polym. Res. 2014, 21, 1–7. [Google Scholar] [CrossRef]
- Raimondo, M.; Naddeo, C.; Vertuccio, L.; Bonnaud, L.; Dubois, P.; Binder, W.H.; Sorrentino, A.; Guadagno, L. Multifunctionality of structural nanohybrids: The crucial role of carbon nanotube covalent and non-covalent functionalization in enabling high thermal, mechanical and self-healing performance. Nanotechnology 2020, 31, 16. [Google Scholar] [CrossRef] [PubMed]
- Choi, E.Y.; Han, T.H.; Hong, J.; Kim, J.E.; Lee, S.H.; Kim, H.W.; Kim, S.O. Noncovalent functionalization of graphene with end-functional polymers. J. Mater. Chem. 2010, 20, 1907–1912. [Google Scholar] [CrossRef]
- Zhou, Y.; Fang, Y.; Ramasamy, R.P. Non-covalent functionalization of carbon nanotubes for electrochemical biosensor development. Sensors 2019, 19, 392. [Google Scholar] [CrossRef] [PubMed]
- Guo, X.; Huang, Y.; Cai, X.; Liu, C.; Liu, P. Capacitive wearable tactile sensor based on smart textile substrate with carbon black/silicone rubber composite dielectric. Meas. Sci. Technol. 2017, 28, 049401. [Google Scholar] [CrossRef]
- Hu, C.F.; Wang, J.Y.; Liu, Y.C.; Tsai, M.H.; Fang, W. Development of 3D Carbon Nanotube Interdigitated Finger Electrodes on Polymer Substrate for Flexible Capacitive Sensor Application. Nanotechnology 2013, 24, 444006. [Google Scholar] [CrossRef] [PubMed]
- Kanoun, O.; Bouhamed, A.; Ramalingame, R.; Bautista-Quijano, J.R.; Rajendran, D.; Al-Hamry, A. Review on Conductive Polymer/CNTs Nanocomposites Based Flexible and Stretchable Strain and Pressure Sensors. Sensors 2021, 21, 341. [Google Scholar] [CrossRef] [PubMed]













| Carbon Nanomaterial | Single-Walled Carbon Nanotube | Multi-Walled Carbon Nanotube | Fullerene | Graphite | Graphene |
|---|---|---|---|---|---|
| Specific gravity (g/cm3) | 0.8 | 1.8 | 1.7 | 1.9~2.3 | |
| Electrical conductivity (S/cm) | 102~106 | 103~105 | 10−5 | 4000 P, 3.3 C | 103 |
| Thermal conductivity (W/(mK)) | 6000 | 2000 | 0.4 | 298 P, 2.2 C | 5000 |
| Thermal stability in air (°C) | >600 | >600 | ~600 | 450~650 | 600 |
| Filler | Purity of Fillers % | Aspect Ratio | |
|---|---|---|---|
| Carbon Purity | CO/Metal Oxide Groups | ||
| Graphene a | ~84 | ~16 | ~250 |
| MWCNT b | 90 | 10 | 157.9 |
| Filler | Matrix | Filler Loading | Fabrication Method | Percolation Threshold | Highest Electrical Conductivity (S/m) | Reference |
|---|---|---|---|---|---|---|
| MWCNT | Polyphenylene sulfide | Melt mixing | 5 wt% | - | [36] | |
| Graphene | Polyphenylene sulfide | Melt mixing | 10 wt% | - | [36] | |
| MWCNT | Epoxy | 2 wt% | Milling | 0.2 wt% | 1.76 × 10−1 | [37] |
| Graphene | Epoxy | 2 wt% | Milling | 0.2 wt% | 4.0 × 10−3 | [37] |
| MWCNT | Polyetherimide | 5 wt% | Solution mixing | - | 1.43 × 10−4 | [38] |
| Graphene | Polyetherimide | 5 wt% | Solution mixing | 0.22 wt% | 5.82 × 10−4 | [38] |
| Graphene/MWCNT | Polyetherimide | 5 wt% | Solution mixing | - | 1.28 × 10−3 | [38] |
| MWCNT | Polydimethylsiloxane | 4 wt% | Solution mixing | - | 2.53 × 10−5 | [39] |
| Graphene | Polydimethylsiloxane | 4 wt% | Solution mixing | - | 7.89 × 10−5 | [39] |
| Graphene/MWCNT | Polydimethylsiloxane | 4 wt% | Solution mixing | - | 1.24 × 10−3 | [39] |
| MWCNT | High density polyethylene | - | Alcohol-assisted dispersion and hot pressing | 0.25 vol% | - | [40] |
| Graphene | High density polyethylene | - | Alcohol-assisted dispersion and hot pressing | 1 vol% | - | [40] |
| MWCNT | Polystyrene/ poly (2,6-dimethyl-1,4-phenylene oxide) | 4 wt% | Solution blending | 0.2 wt% | 57 | [32] |
| Graphene | Polystyrene/ poly (2,6-dimethyl-1,4-phenylene oxide) | 4 wt% | Solution blending | 1 wt% | 0.9 | [32] |
| CNT | Polyaniline | 69.2 wt% | In situ polymerization | - | 680 | [41] |
| Graphene | Polyaniline | 69.2 wt% | In situ polymerization | - | 150 | [41] |
| CNT/Graphene | Polyaniline | 69.2 wt% | In situ polymerization | - | 410 | [41] |
| MWCNT | Polystyrene | 5 wt% | Melt mixing | 0.05 wt% | 7.98 × 10−1 | [42] |
| Reduced GO | PolystyrenePS | 4 wt% | Solution mixing | - | 22.68 | [43] |
| CTAB/wrapped GO | Poly (vinyl chloride) | 6.47 vol% | Solution mixing | 0.6 vol% | 5.8 | [44] |
| MWCNT | Poly (vinyl chloride) | 20 wt% | Solution mixing | - | 175 | [45] |
| MWCNT | Liquid crystalline polymer | 4 wt% | Melt mixing | - | 1.3 × 310−1 | [46] |
| Graphene | Liquid crystalline polymerLCP | 5 wt% | Solution casting and compression molding | 3 wt% | 4.5 × 10−1 | [47] |
| MWCNT | Poly(styrene–butadiene–styrene) SBS | 5 wt% | Solution mixing | 0.35 wt% | [48] |
| Polymer Type | Suitable Application as the Sensor Matrix |
|---|---|
| Thermosets | Tactile sensor |
| Thermoplastics | Thermal sensor |
| Elastomers | Tactile sensor with high sensitivity |
| Fibers | Tactile and thermal sensor |
| Polymer Type | Electrical Percolation Thresholds (CNT) |
|---|---|
| Thermosets | 0.1 to 1 wt% |
| Thermoplastics | 0.2 to 15 wt% |
| Structure | Filler | Matrix | Filler Loading | Performance | Reference |
|---|---|---|---|---|---|
| Single sensor | Graphene | Polysilicon | 6.8 vol% | Gauge factor = 535 | [71] |
| Single sensor | Carbon black | SEBS–Block copolymer | 50 wt% | Gauge factor = 20 | [72] |
| Single sensor | MWCNT | Polysulfone | 0.5 wt% | Gauge factor = 2.78 | [73] |
| Band | Graphene | Rubber | 0.2 vol% | Gauge factor = 35 | [74] |
| Band | Reduced graphene oxide | VHB elastomer | S = = 1.37 kPa−1 | [75] | |
| 5 × 5 array | MWCNT | Polydimethylsiloxane | 7 wt% | R/R0 = 0.6 | [76] |
| 16 × 17 array | Carbon black | Polymer foam | [77] | ||
| 6 × 8 array | MWCNT | Polydimethylsiloxane | 6 wt% | S = = 16.9 kPa−1 | [78] |
| Serpentine structures | Carbon black | Polydimethylsiloxane | 25 wt% | Gauge factor = 29.1 | [79] |
| 11 × 11 array | MWCNT | Thermoplastic Polyurethane | 11.1 wt% | Gauge factor = 2800 | [80] |
| Rosette-type | Carbon black | Polydimethylsiloxane | 15 wt% | [81] | |
| 8 × 8 × 2 | Conductive polymer | [82] | |||
| 5 paddings | graphite | Rubber | [83] | ||
| 14 lines | MWCNT | Acrylate monomer | 1 wt% | - | [84] |
| Structure | Filler | Matrix | Filler Loading | Temperature Resistance Effect | Performance | Reference |
|---|---|---|---|---|---|---|
| Single sensor | CNT | Polyethylene | 50 wt% | NTC | Linear between 25 and 45 °C | [85] |
| Single sensor | SWCNT | Polymer based on hydrogen bonds | 20 wt% | NTC | Linear between 0 and 40 °C | [25] |
| Single sensor | MWCNT | Bisphenol-F epoxy resin | 3 wt% | PTC | 64 Ω m K−1 | [86] |
| Single sensor | MWCNT | DiGlycidil-Ether Bisphenol-A/4,4-diaminodiphenyl sulfone | 1 wt% | NTC | Linear between 30 and 110 °C | [87] |
| Single sensor | MWCNT | high-density polyethylene | 5.4 wt% | PTC | [88] | |
| Single sensor | MWCNT | DiGlycidil-Ether Bisphenol-A/4,4-diaminodiphenyl sulfone | 0.5 wt% | NTC | Temperature range between room temperature and 150 °C | [23] |
| Single sensor | SWCNT | Polystyrene | 2 wt% | NTC | 7 × 10−7 Ω m K−1 | [89] |
| Fabrication Methods | Advantages | Disadvantages | Fabrication Notes |
|---|---|---|---|
| Solution method | Help distributes fillers homogeneously | Complicated procedures | Need appropriate solvent |
| Melt mixing method | Easy procedures | Not easy to distribute fillers homogeneously | Not appliable to thermosets |
| In situ polymerization method | Easy procedures | Only applies to certain polymers | Better with functionalization of carbon nanomaterials and surfactants |
Publisher’s Note: MDPI stays neutral with regard to jurisdictional claims in published maps and institutional affiliations. |
© 2021 by the authors. Licensee MDPI, Basel, Switzerland. This article is an open access article distributed under the terms and conditions of the Creative Commons Attribution (CC BY) license (http://creativecommons.org/licenses/by/4.0/).
Share and Cite
Yuan, C.; Tony, A.; Yin, R.; Wang, K.; Zhang, W. Tactile and Thermal Sensors Built from Carbon–Polymer Nanocomposites—A Critical Review. Sensors 2021, 21, 1234. https://doi.org/10.3390/s21041234
Yuan C, Tony A, Yin R, Wang K, Zhang W. Tactile and Thermal Sensors Built from Carbon–Polymer Nanocomposites—A Critical Review. Sensors. 2021; 21(4):1234. https://doi.org/10.3390/s21041234
Chicago/Turabian StyleYuan, Chenwang, Anthony Tony, Ruixue Yin, Kemin Wang, and Wenjun Zhang. 2021. "Tactile and Thermal Sensors Built from Carbon–Polymer Nanocomposites—A Critical Review" Sensors 21, no. 4: 1234. https://doi.org/10.3390/s21041234
APA StyleYuan, C., Tony, A., Yin, R., Wang, K., & Zhang, W. (2021). Tactile and Thermal Sensors Built from Carbon–Polymer Nanocomposites—A Critical Review. Sensors, 21(4), 1234. https://doi.org/10.3390/s21041234

