Abstract
Previous research showed that an Inertial Measurement Unit (IMU) on the anterior side of the shank can accurately measure the Shank-to-Vertical Angle (SVA), which is a clinically-used parameter to guide tuning of ankle-foot orthoses (AFOs). However, in this context it is specifically important that differences in the SVA are detected during the tuning process, i.e., when adjusting heel height. This study investigated the validity of the SVA as measured by an IMU and its responsiveness to changes in AFO-footwear combination (AFO-FC) heel height in persons with incomplete spinal cord injury (iSCI). Additionally, the effect of heel height on knee flexion-extension angle and internal moment was evaluated. Twelve persons with an iSCI walked with their own AFO-FC in three different conditions: (1) without a heel wedge (refHH), (2) with 5 mm heel wedge (lowHH) and (3) with 10 mm heel wedge (highHH). Walking was recorded by a single IMU on the anterior side of the shank and a 3D gait analysis (3DGA) simultaneously. To estimate validity, a paired t-test and intraclass correlation coefficient (ICC) between the SVAIMU and SVA3DGA were calculated for the refHH. A repeated measures ANOVA was performed to evaluate the differences between the heel heights. A good validity with a mean difference smaller than 1 and an ICC above 0.9 was found for the SVA during midstance phase and at midstance. Significant differences between the heel heights were found for changes in SVAIMU (p = 0.036) and knee moment (p = 0.020) during the midstance phase and in SVAIMU (p = 0.042) and SVA3DGA (p = 0.006) at midstance. Post-hoc analysis revealed a significant difference between the ref and high heel height condition for the SVAIMU (p = 0.005) and knee moment (p = 0.006) during the midstance phase and for the SVAIMU (p = 0.010) and SVA3DGA (p = 0.006) at the instant of midstance. The SVA measured with an IMU is valid and responsive to changing heel heights and equivalent to the gold standard 3DGA. The knee joint angle and knee joint moment showed concomitant changes compared to SVA as a result of changing heel height.
1. Introduction
Persons with an incomplete spinal cord injury (iSCI) experience sensory and motor deficits, such as muscle weakness, spasticity and impaired muscle coordination [,]. These motor deficits often result in an abnormal walking pattern and an increased fall incidence [,,,]. Although many persons with iSCI regain some walking capacity within the first six months, they often do not fully recover to their normal walking pattern []. To further improve walking in persons with iSCI, an ankle-foot orthosis (AFO) is often prescribed []. An AFO promotes normal joint kinematics and kinetics and improves spatiotemporal gait parameters and gait efficiency [,,,].
To optimize the effect of the AFO, the AFO footwear combination (AFO-FC) should be properly aligned []. Optimal alignment can be achieved by making fine adjustments to heel height, footplate stiffness and/or footwear, which is often referred to as tuning. The goal of AFO tuning is to align the ground reaction force (GRF) as close as possible to the knee joint center to minimize the knee flexion-extension moment []. In clinical practice, AFO tuning can be quantified by the shank-to-vertical angle (SVA), which is the angle between the anterior surface of the tibia and the vertical in the global sagittal plane []. When the shank is tilted posteriorly, the SVA is considered reclined, and the SVA is considered inclined when the shank is tilted anteriorly. An inclined SVA at midstance between 7° and 15°, with an optimum of 10° to 12°, facilitates appropriate orientation of the GRF in relation to the joint rotation centers []. Literature has shown that increasing the heel height of rigid AFO-FCs affected the sagittal knee angle and knee joint moment, which were reflected by an increase in the SVA [].
Recent research has shown that an inertial measurement unit (IMU) on the anterior side of the shank is a valid and reliable instrument to measure the SVA in healthy individuals [,]. An advantage of this approach is that you do not require an expensive gait lab and time-consuming 3D gait analysis, which is considered as the gold standard, to measure the GRF in relation to the knee joint center. Therefore, IMUs are promising as an easy and low-cost alternative to guide AFO tuning. However, assessment of the SVA using an IMU also needs to be valid in individuals with neurological disorders wearing an AFO. Moreover, for AFO tuning it is specifically important that differences in the SVA measured with an IMU are detected during the tuning process, i.e., when adjusting heel height.
This study investigated the use of a single IMU on the shank for assessing the SVA at midstance in iSCI patients while wearing an AFO. The two main aims of this study were: (1) to examine the validity of an IMU to assess the SVA, and (2) to examine the responsiveness of the SVA measured with an IMU while changing the AFO-FC’s heel height. The SVA was measured by IMUs and 3D gait analysis (3DGA) as gold standard. As a secondary aim, the effect of heel height on the sagittal knee joint angle and knee joint moment were evaluated. It is hypothesized that an IMU is a valid method to assess the SVA in individuals with iSCI wearing an AFO and that the SVA measured with an IMU is responsive to changing heel heights and equivalent to 3DGA. The SVA measured with an IMU, as well as the SVA measured with 3DGA, knee joint angle and knee joint moment, are expected to increase during midstance with increasing heel height.
2. Materials and Methods
2.1. Participants
Persons with an iSCI who visited the Sint Maartenskliniek between June and December 2019 were screened for eligibility by a rehabilitation physician. Participants were included if they were (1) between 18–80 years old, (2) using an AFO with plantar flexion restriction, (3) using their AFO for a minimum of one month and (4) able to walk 10 m without a walking aid with and without AFO.
All participants gave written informed consent in accordance with the Declaration of Helsinki. The study was approved by the internal review board of the Sint Maartenskliniek and the regional medical ethics committee of Arnhem-Nijmegen (2018-4647).
Participant characteristics, like the American Spinal Injury Association (ASIA) Impairment Scale [], level of the lesion, time since injury and Medical Research Council (MRC) scale for muscle strength [] were extracted from the medical record.
2.2. Equipment
The study was conducted on a 10 m walkway in the gait laboratory of the Sint Maartenskliniek. This laboratory is equipped with a 10-camera motion capture system (Vicon, Oxford, MS, USA) and a force plate (Kistler Instruments, Hampshire, UK). One IMU (APDM, Portland, OR, USA) was placed on the shank. Data were recorded at 100 Hz for the motion capture system, 2400 Hz for the force plate and 128 Hz for the IMU. The three systems were synchronized with a trigger.
2.3. Measurement Procedure
Reflective markers were placed on the participant according to the Plug-in Gait lower body model. Three additional markers were attached to the shank to assess the SVA (Figure 1A). The IMU was placed on the anterior side of the shank with the vertical axis of the IMU aligned with the line connecting tibial tuberosity and midline of the ankle []. The researcher visually inspected if the IMU was aligned with the shank in a way the that anterior-posterior axis (Ximu) pointed in the walking direction. (Figure 1B). For each participant, the IMU was placed on the most affected leg with AFO. If the AFO consisted of an anterior shell, the IMU and the shank makers (SH1 and SH2) were placed on the AFO.

Figure 1.
(A) Frontal view of the lower leg with additional markers on tibia tuberosity (TT) and the shank (SH1 and SH2). (B) Sagittal view of the lower leg with the corresponding coordinate system of the IMU (XYZimu). (C) Sagittal view of 5 mm heel wedge (lowHH). (D) Sagittal view of 10 mm heel wedge (highHH).
Participants performed a walking task with their own AFO-FC in three conditions, commonly used during the tuning process in clinical practice, in randomized order: (1) without a heel wedge (refHH), (2) with 5 mm heel wedge (lowHH) (Figure 1C) and (3) with 10 mm heel wedge (highHH) (Figure 1D). Participants were instructed to walk at a comfortable speed along the 10-m walkway. The measurement was completed when five successful trials were recorded (i.e., no irregular walking pattern observed, and a clean hit on the force plate of a single foot of the affected leg).
2.4. Data Analysis
The SVA measured with the IMU (SVAIMU) was calculated as described previously [], using the quaternion data of the IMU. Quaternions were transformed into rotation matrices. The SVAIMU was computed by the rotation of Z around Y, using the following equation:
in which RIMU is the rotation matrix of the IMU.
The SVA measured with the 3DGA (SVA3DGA) was calculated using the marker data. Marker data were filtered using the Woltring cross-validity quintic spline routine (MSE = 20) []. The SVA3DGA was defined as the angle between the two markers at the anterior side of the shank (SH1 and SH2), and the vertical in the sagittal plane, and calculated using the following equation:
in which posX and posZ are the position of the shank markers on the anterior-posterior and vertical axis, respectively. Knee flexion-extension angles and internal moments were calculated using the Vicon Plug-In-Gait model and software.
Heel strike and toe-offs were calculated for the IMU using certain peaks in the angular velocity data during walking as has been previously described [,]. Position and acceleration of the foot markers were used to determine heel strikes and toe-offs for the 3DGA. Heel strike was defined as the mean of the instant that the vertical position of the heel marker was lowest and the heel marker maximally decelerated. Toe-off was defined as the mean of the instant that the vertical position of the toe marker increased and started to accelerate.
The SVAIMU, SVA3DGA, knee angle and knee moment were calculated at the instant of midstance, which was defined as defined as 50% between heel strike and toe-off. Because instants only reflect one specific point in time, instants could be more prone to error since a timing difference of a few samples affects the outcome, whereas the average during a phase will be less susceptible to this timing difference. Hence, we also calculated the average SVAIMU, SVA3DGA, knee angle and knee moment during the midstance phase, defined as 10–30% of the gait cycle []. To examine possible effects later on in the stance phase, average knee moment during terminal stance, defined as 30–50% of the gait cycle [], was also calculated.
A timing difference between the instant of midstance was determined to explain possible differences between SVAIMU and SVA3DGA. The difference in the instant of midstance in seconds between the IMU and 3DGA was calculated as the timing difference. Since kinematics and kinetics are influence by walking speed, walking speed for all heel height conditions was assessed. Walking speed was calculated as stride length divided by stride time based on 3DGA. All data processing and analyses were performed using MATLAB 2018b (The MathWorks Inc, Natick, MA, USA).
2.5. Statistical Analysis
In total 9 outcome measures were calculated, of which were 4 at midstance, 4 as the average during midstance phase and 1 at terminal stance. The SVAIMU, SVA3DGA, knee angle and knee moment at midstance and during midstance phase, and knee moment during terminal stance were averaged over five successful trials per condition. Participant characteristics were analyzed using descriptive statistics and presented as means ± standard deviations (SD).
Validity was estimated using a paired t-test and intraclass correlation coefficient (ICC) between the SVAIMU and SVA3DGA for the refHH. To estimate repeatability, the standard deviation for each participant across trials was calculated and averaged over all participants for the SVAIMU and SVA3DGA.
For analyzing the responsiveness, a repeated measures ANOVA (α = 0.05) was conducted to examine differences in the SVAIMU, SVA3DGA, knee angle and knee moment between the heel height conditions (refHH, lowHH and highHH). Post hoc testing with Bonferroni correction (α = 0.05/3 = 0.0167) was performed to evaluate which conditions were significantly different from each other. Effect sizes (Cohen’s d) were calculated by dividing the mean difference between conditions by the standard deviation of the mean difference between conditions [].
3. Results
3.1. Participants
Twelve persons with an iSCI (ten males/two females) with an average age ± SD of 55 ± 14 years were included in this study. More detailed participant characteristics are provided in Table 1. Due to technical issues with the motion capture cameras after moving the lab (e.g., missing markers), joint kinematics and kinetics could not be calculated accurately for three participants, who were therefore excluded from the knee angle and knee moment analyses.

Table 1.
Participant characteristics (n = 12).
3.2. Validity
The mean SVAIMU was 11.3° ± 4.3° during midstance phase and 13.4° ± 4.2° at midstance, whereas the mean SVA3DGA was 10.6° ± 4.2° during midstance phase and 13.6° ± 4.6° at midstance (Table 2). The mean ± SD difference between the SVAIMU and SVA3DGA for refHH during midstance phase was −0.69 ± 2.2 (t(11) = −1.10 p = 0.294) and 0.18 ± 2.6 (t(11) = 0.247, p = 0.809) at midstance. The ICCs were 0.93 and 0.91 for the midstance phase and the instant of midstance, respectively. The standard deviation across trails over the participants was 2.2° ± 1.2° for the SVAIMU and 1.5° ± 1.6° for the SVA3DGA during the midstance phase, and 2.1° ± 1.2° for the SVAIMU and 0.95° ± 0.47° for the SVA3DGA at midstance. The instant of midstance was 0.011 ± 0.014 (t(11) = 2.71, p = 0.020) seconds earlier for the IMU compared to 3DGA for the refHH.

Table 2.
Mean ± SD values of the SVAIMU (n = 12), SVA3DGA (n = 12), knee flexion angle (n = 9) and internal knee flexion moment (n = 9) during midstance phase and at midstance, and internal knee flexion moment (n = 9) during terminal stance for the different heel height conditions.
3.3. Heel Height Conditions
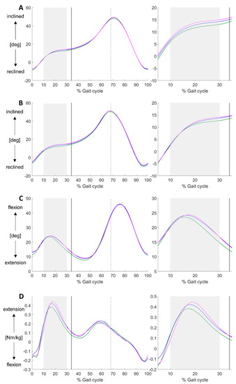
Mean and standard deviations in SVAIMU, SVA3DGA, knee angle and knee moments for the heel height conditions are shown in Table 2. The mean SVAIMU, SVA3DGA, knee angle and knee moment during the gait cycle are shown in Figure 2. No statistical difference in walking speed was found between the heel height conditions. The repeated measures ANOVA revealed a significant main effect of heel height for the SVAIMU (F(11,2) = 3.87, p = 0.036) and knee moment (F(8,2) = 5.03, p = 0.020) during the midstance phase (see Table 3 for differences between conditions). At midstance, SVAIMU (F(11,2) = 3.68, p = 0.042) and SVA3DGA (F(11,2) = 6.51, p = 0.006) were significantly different between the heel heights. Post-hoc testing showed a significant difference between the refHH and highHH for the SVAIMU (p = 0.005) and knee moment (p = 0.006) during the midstance phase and for the SVAIMU (p = 0.010) and SVA3DGA (p = 0.006) at the instant of midstance. No significant differences for the other comparisons (refHH-lowHH and lowHH-highHH) were found. No main effect of heel height was found for SVA3DGA, knee angle during the midstance phase, for the knee angle and knee moment at the instant of midstance and knee moment during terminal stance.

Figure 2.
Mean SVAIMU [deg] (A), SVA3DGA [deg] (B), knee flexion-extension angle [deg] (C) and internal knee flexion-extension moment [Nm/kg] (D) during the gait cycle for refHH (green), lowHH (blue) and highHH (pink). The shaded area indicates the midstance phase (10–30%), the black line indicates the instant of midstance (34%) and the dashed line indicates toe off (68%).

Table 3.
Mean ± SD differences and effect sizes (ES) between the heel height condition of SVAIMU, SVA3DGA, knee angle and knee moment during midstance phase and at midstance, and knee moment during terminal stance.
4. Discussion
This study investigated the use of a single IMU to assess the SVA while changing heel heights in persons with iSCI. The validity was good with small mean differences and high ICCs above 0.9. The SVA increased as a result of increasing heel heights, which was assessed by the IMU and 3DGA. Additionally, we found that an increase in heel height resulted in concomitant changes in knee joint moment at midstance. Knee joint angle did not reach statistical significance as a result of increasing heel height.
The small difference and standard deviation together with the high ICCs in SVA between IMU and 3DGA supports the validity of assessing the SVA with an IMU as has shown before [,]. Likewise, the standard deviation of 2° across trials corresponded to the intra-session standard deviation of the SVA measured with a smartphone []. The timing difference in midstance of 0.01 s between IMU and 3DGA was comparable to the timing difference in healthy controls, indicating the IMU is able to determine midstance accurately [].
The significant main effect of heel height for the SVA indicated responsiveness of the SVA to changes in AFO-FC heel height. In contrast to previous study with high heel height differences above 10 mm [], a strength of our study is that we tested the participants with heel height conditions of 5 and 10 mm in accordance to clinical practice. The SVA measured by the IMU and 3DGA was only significantly different between the reference and high heel height condition in the post-hoc analysis. Since no differences of the low heel height with the reference and high heel height condition were found in the SVA, our results indicate that subtle changes in heel height are not reflected by the SVA in this study population. We found a larger mean and standard deviation for the differences in SVA between the heel heights measured with the IMU compared to 3DGA. The effect sizes, ranging from 0.26 to 1.03 (Table 3), were nearly similar indicating that the responsiveness of the SVA measured by an IMU is equivalent to the gold standard 3DGA.
In the current study, we also assessed the kinetics and kinematics of the lower limb to evaluate the alignment of an AFO. The knee joint moment at midstance was significantly different between conditions whereas the knee joint angle was nearly significant, indicating both parameters were influenced by AFO-FC heel height. This is in line with previous literature which found an increase in knee flexion angle and internal knee extensor moment as a result of an increased heel height [,,,]. Remarkably, the SVA had the same effect size as the knee joint moment between the heel height conditions (see Table 3), indicating that the responsiveness of the SVA corresponds to the responsiveness of the knee joint moment.
We evaluated the outcome measures SVA, knee angle and knee moment during midstance phase and at midstance. Because comparable results were found for all outcome measures, we prefer to use the outcome measures at midstance since the instant midstance can be easily detected when using IMUs and/or video. Furthermore, the instant of midstance corresponds to the clinically used definition of midstance, i.e., the instant when the swing leg passes the stance leg in the walking direction.
The inability to measure subtle changes, especially between the low and high heel height condition, could be explained by the great variability in response on increasing heel heights. Moreover, the AFOs were already tuned in clinical practice. As a result, participants may have counteracted the increase to prevent larger knee angles and moments in order to retain stability during stance and an efficient walking pattern. The ability to counteract the changing heel heights could be due to the familiarity of the participants to walk with their AFOs and/or their walking ability. Another explanation of the small differences could be the use of small heel height differences. Previous literature on AFO tuning using heel height adjustments used higher heel heights to increase the SVA []. Accordingly, this study found larger differences in SVA between conditions. However, these large heel heights do not reflect clinical practice. The great variability in the SVA measured by the IMU can be due to the movement of the IMU during and between trials. The IMU was attached to the shank using an elastic band around the calf muscle. Since most participants walked with an anterior supported AFO, there could be some movement between the shank and carbon fiber shell of the AFO, pulling on the elastic band, causing the IMU to slide down or sideways. We recommend attaching the IMU with double side tape to prevent movement of the IMU. The use of an anterior supported AFO resulted also in the attachment of the shank markers on the AFO instead of on the skin. It could be possible that the shank itself was not in contact with the anterior shell, resulting in a different orientation of the shank and AFO. However, due to the working mechanism of these AFOs and the inclusion of subjects with individually fitted AFOs, we believe that the shank is pushed against the anterior shell during midstance. Hence, the orientation of the shank will be similar to the orientation of the anterior shell, resulting in a correct measurement of the SVA with the shank markers on the AFO. Another explanation that needs to be addressed is the small sample size. Only 12 persons with iSCI participated in this study, and only 9 were included in the analyses for the knee angle and knee moment. This sample size was too low to find a main effect for knee angle and differences between the reference and low heel height. For clinical applications, however, the effect size should be large enough to reveal significant differences in such a small sample size.
Although the SVA is an important measure in clinical practice, and differences between heel height conditions can be measured [,,,], evidence for the relationship between the SVA and optimal AFO alignment is still scarce. The mean SVA of 11 degrees during midstance phase with the reference heel height (see Table 2) does support the idea that there is an optimum in SVA between 10 and 12 degrees []. However, the standard deviation of 4 degrees indicates that individuals deviate from this optimum. Therefore, adding an extra outcome parameter to the SVA could give more information on the optimal alignment of the AFO. The effect size between the reference and low heel height was highest for the knee angle. The knee angle can be easily measured by attaching an IMU to the thigh in addition to the shank for the SVA. Measuring SVA and knee angle during AFO tuning in a large population is needed to increase the understanding of optimal alignment of an AFO.
5. Conclusions
The SVA measured with an IMU is valid and responsive to changing AFO-FC heel height and is equivalent to the gold standard 3DGA. The knee joint angle and knee joint moment showed corresponding changes indicating that the SVA reflects changes in AFO alignment.
Author Contributions
Conceptualization, L.A.F.d.J., Y.L.K. and N.L.W.K.; methodology, L.A.F.d.J., Y.L.K. and N.L.W.K.; software, L.A.F.d.J. and N.L.W.K.; validation, L.A.F.d.J.; formal analysis, L.A.F.d.J. and N.L.W.K.; investigation, L.A.F.d.J. and T.d.G.; resources, M.V.-v.d.H. and I.J.W.v.N.; data curation, L.A.F.d.J.; writing—original draft preparation, L.A.F.d.J.; writing—review and editing, L.A.F.d.J., Y.L.K., T.d.G., M.V.-v.d.H., I.J.W.v.N. and N.L.W.K.; visualization, L.A.F.d.J.; supervision, Y.L.K., and N.L.W.K.; project administration, L.A.F.d.J.; funding acquisition, L.A.F.d.J., Y.L.K. and N.L.W.K. All authors have read and agreed to the published version of the manuscript.
Funding
This study is part of the GaReC project, which is co-funded by OIM Orthopedie and the PPP Allowance made available by Health~Holland, Top Sector Life Sciences & Health, to stimulate public-private partnerships.
Institutional Review Board Statement
The study was conducted according to the guidelines of the Declaration of Helsinki, and approved by the Institutional Review Board of the Sint Maartenskliniek and the METC of Arnhem-Nijmegen (protocol code 2018-4647 and date of approval 15-08-2018).
Informed Consent Statement
Informed consent was obtained from all subjects involved in the study.
Data Availability Statement
The data presented in this study are available on request from the corresponding author.
Acknowledgments
The authors would like to thank all participants for their participation and Bart Nienhuis for his technical support.
Conflicts of Interest
The authors declare the following financial interests/personal relationships which may be considered as potential competing interests: This study is part of the GaReC project, which is co-funded by OIM Orthopedie and the PPP Allowance made available by Health ~ Holland, Top Sector Life Sciences & Health, to stimulate public-private partnerships. Yvette Kerkum is employed by OIM Orthopedie. Neither OIM Orthopedie, nor Yvette Kerkum have (financial) benefits related to this project. There are no other conflicts of interest associated with this study.
References
- Pépin, A.; Norman, K.E.; Barbeau, H. Treadmill walking in incomplete spinal-cord-injured subjects: 1. Adaptation to changes in speed. Spinal Cord 2003, 41, 257–270. [Google Scholar] [CrossRef] [PubMed][Green Version]
- Hayes, H.B.; Chvatal, S.A.; French, M.A.; Ting, L.H.; Trumbower, R.D. Neuromuscular constraints on muscle coordination during overground walking in persons with chronic incomplete spinal cord injury. Clin. Neurophysiol 2014, 125, 2024–2035. [Google Scholar] [CrossRef] [PubMed]
- Waters, R.; Yakura, J.; Adkins, R. Gait performance after spinal cord injury. Clin. Orthop. Relat. Res. 1993, 288, 87–96. [Google Scholar] [CrossRef]
- Barbeau, H.; Ladouceur, M.; Norman, K.E.; Pepin, A.; Leroux, A. Walking after spinal cord injury: Evaluation, treatment, and functional recovery. Arch. Phys. Med. Rehabil 1999, 80, 225–235. [Google Scholar] [CrossRef]
- Wirz, M.; van Hedel, H.J.A. Balance, gait, and falls in spinal cord injury. Handb. Clin. Neurol. 2018, 159, 367–384. [Google Scholar]
- Atrice, M.B. Lower extremity orthotic management for the spinal-cord-injured client. Top. Spinal Cord Inj. Rehabil. 2000, 5, 1–10. [Google Scholar] [CrossRef]
- Arazpour, M.; Tajik, H.R.; Aminian, G.; Bani, M.A.; Ghomshe, F.T.; Hutchins, S.W. Comparison of the effects of solid versus hinged ankle foot orthoses on select temporal gait parameters in patients with incomplete spinal cord injury during treadmill walking. Prosthet. Orthot. Int. 2013, 37, 70–75. [Google Scholar] [CrossRef]
- Kim, C.M.; Eng, J.J.; Whittaker, M.W. Effects of a simple functional electric system and/or a hinged ankle-foot orthosis on walking in persons with incomplete spinal cord injury. Arch. Phys. Med. Rehabil. 2004, 85, 1718–1723. [Google Scholar] [CrossRef]
- Beekman, C.; Perry, J.; Boyd, L.A.; Newsam, C.J.; Mulroy, S.J. The effects of a dorsiflexion-stopped ankle-foot orthosis on walking in individuals with incomplete spinal cord injury. Top. Spinal Cord Inj. Rehabil. 2000, 5, 54–62. [Google Scholar] [CrossRef]
- Brehm, M.A.; Harlaar, J.; Schwartz, M. Effect of ankle-foot orthoses on walking efficiency and gait in children with cerebral palsy. J. Rehabil. Med. 2008, 40, 529–534. [Google Scholar] [CrossRef]
- Eddison, N.; Chockalingam, N. The effect of tuning ankle foot orthoses-footwear combination on the gait parameters of children with cerebral palsy. Prosthet. Orthot. Int. 2013, 37, 95–107. [Google Scholar] [CrossRef] [PubMed]
- Jagadamma, K.C.; Coutts, F.J.; Mercer, T.H.; Herman, J.; Yirrel, J.; Forbes, L.; Van Der Linden, M.L. Effects of tuning of ankle foot orthoses-footwear combination using wedges on stance phase knee hyperextension in children with cerebral palsy Preliminary results. Disabil. Rehabil. Assist. Technol. 2009, 4, 406–413. [Google Scholar] [CrossRef] [PubMed]
- Owen, E. The Importance of Being Earnest about Shank and Thigh Kinematics Especially When Using Ankle-Foot Orthoses. Prosthet. Orthot. Int. 2010, 34, 254–269. [Google Scholar] [CrossRef] [PubMed]
- Kerkum, Y.L.; Houdijk, H.; Brehm, M.-A.; Buizer, A.I.; Kessels, M.L.C.; Sterk, A.; van den Noort, J.C.; Harlaar, J. The Shank-to-Vertical-Angle as a parameter to evaluate tuning of Ankle-Foot Orthoses. Gait Posture 2015, 42, 269–274. [Google Scholar] [CrossRef] [PubMed]
- de Jong, L.A.F.; Kerkum, Y.L.; van Oorschot, W.; Keijsers, N.L.W. A single Inertial Measurement Unit on the shank to assess the Shank-to-Vertical Angle. J. Biomech. 2020, 108, 109895. [Google Scholar] [CrossRef] [PubMed]
- Nguyen, B.T.; Baicoianu, N.A.; Howell, D.B.; Peters, K.M.; Steele, K.M. Accuracy and repeatability of smartphone sensors for measuring shank-to-vertical angle. Prosthet. Orthot. Int. 2020, 44, 172–179. [Google Scholar] [CrossRef]
- Kirshblum, S.C.; Waring, W.; Biering-Sorensen, F.; Burns, S.P.; Johansen, M.; Schmidt-Read, M.; Donovan, W.; Graves, D.; Jha, A.; Jones, L.; et al. Reference for the 2011 revision of the International Standards for Neurological Classification of Spinal Cord Injury. J. Spinal Cord Med. 2011, 34, 547–554. [Google Scholar] [CrossRef]
- Riddoch, G.; Medical Research Council. Aids to the Examination of the Peripheral Nervous System. Available online: https://mrc.ukri.org/documents/pdf/aids-to-the-examination-of-the-peripheral-nervous-system-mrc-memorandum-no-45-superseding-war-memorandum-no-7/ (accessed on 25 January 2021).
- Woltring, H.J. A Fortran package for generalized, cross-validatory spline smoothing and differentiation. Adv. Eng. Softw. 1986, 8, 104–113. [Google Scholar] [CrossRef]
- Aminian, K.; Najafi, B.; Büla, C.; Leyvraz, P.F.; Robert, P. Spatio-temporal parameters of gait measured by an ambulatory system using miniature gyroscopes. J. Biomech. 2002, 35, 689–699. [Google Scholar] [CrossRef]
- Perry, J. Gait Analysis: Normal and Pathological Function. SLACK Inc. 1992, 12, 815. [Google Scholar] [CrossRef]
- Cohen, J. Statistical Power for the Behavioral Sciences, 2nd ed.; Laurence Erlbaum and Associates: Hillsdale, NJ, USA, 1988; ISBN 0-8058-0283-5. [Google Scholar]
- Jagadamma, K.C.; Owen, E.; Coutts, F.J.; Herman, J.; Yirrell, J.; Mercer, T.H.; Van Der Linden, M.L. The effects of tuning an ankle-foot orthosis footwear combination on kinematics and kinetics of the knee joint of an adult with hemiplegia. Prosthet. Orthot. Int. 2010, 34, 270–276. [Google Scholar] [CrossRef] [PubMed]
- Eddison, N.; Healy, A.; Needham, R.; Chockalingam, N. The effect of tuning ankle foot orthoses-footwear combinations on gait kinematics of children with cerebral palsy: A case series. Foot 2020, 43, 101660. [Google Scholar] [CrossRef] [PubMed]
Publisher’s Note: MDPI stays neutral with regard to jurisdictional claims in published maps and institutional affiliations. |
© 2021 by the authors. Licensee MDPI, Basel, Switzerland. This article is an open access article distributed under the terms and conditions of the Creative Commons Attribution (CC BY) license (http://creativecommons.org/licenses/by/4.0/).