The Simulated Characterization and Suitability of Semiconductor Detectors for Strontium 90 Assay in Groundwater
Abstract
1. Introduction
2. The Detection of Typical Beta Emitters Found at Nuclear Decommissioning Sites
2.1. Simulation Layout
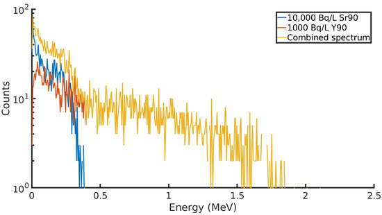
2.2. Sensitivity to Radionuclides
3. Low Detectable Limit
4. Gallium-Arsenide (GaAs) Detector
5. Flexible Detectors
6. Conclusions
Author Contributions
Funding
Institutional Review Board Statement
Informed Consent Statement
Data Availability Statement
Acknowledgments
Conflicts of Interest
References
- Sellafield Groundwater Monitoring. 2016. Available online: https://assets.publishing.service.gov.uk/government/uploads/system/uploads/attachment_data/file/705993/Groundwater_Monitoring_at_Sellafield_-_Annual_Data_Review_2016.pdf (accessed on 10 September 2020).
- Vajda, N.; Kim, C.K. Determination of Radiostrontium Isotopes: A Review of Analytical Methodology. Appl. Radiat. Isot. 2010, 68, 2306–2326. [Google Scholar] [CrossRef] [PubMed]
- Turkington, G.; Gamage, K.A.A.; Graham, J. Direct Measurement of Strontium 90 in Groundwater: Geometry Optimisation of a Photodiode Based Detector. J. Instrum. 2019, 14, P10018. [Google Scholar] [CrossRef]
- Acrorad. Available online: https://www.acrorad.co.jp/ (accessed on 7 January 2021).
- Del Sordo, S.; Abbene, L.; Caroli, E.; Mancini, A.M.; Zappettini, A.; Ubertini, P. Progress in the Development of CdTe and CdZnTe Semiconductor Radiation Detectors for Astrophysical and Medical Applications. Sensors 2009, 9, 3491–3526. [Google Scholar] [CrossRef] [PubMed]
- Johns, P.M.; Nino, J.C. Room Temperature Semiconductor Detectors for Nuclear Security. J. Appl. Phys. 2019, 126, 040902. [Google Scholar] [CrossRef]
- Aliyu, M.M.; Islam, M.A.; Hamzah, N.R.; Karim, M.R.; Matin, M.A.; Sopian, K.; Amin, N. Recent Developments of Flexible CdTe Solar Cells on Metallic Substrates: Issues and Prospects. Int. J. Photoenergy 2012. [Google Scholar] [CrossRef]
- Salavei, A.; Menossi, D.; Piccinelli, F.; Kumar, A.; Mariotto, G.; Barbato, M.; Romeo, A.; Meneghini, M.; Meneghesso, G.; Meneghesso, S.; et al. Comparison of High Efficiency Flexible CdTe Solar Cells on Different Substrates at Low Temperature Deposition. Sol. Energy 2016, 139, 13–18. [Google Scholar] [CrossRef]
- Bosio, A.; Pasini, S.; Romeo, N. The History of Photovoltaics with Emphasis on CdTe Solar Cells and Modules. Coatings 2020, 10, 344. [Google Scholar] [CrossRef]
- Damulira, E.; Yusoff, M.N.S.; Omar, A.F.; Mohd Taib, N.H. A Review: Photonic Devices Used for Dosimetry in Medical Radiation. Sensors 2019, 19, 2226. [Google Scholar] [CrossRef] [PubMed]
- Okamoto, T.; Igari, T.; Fukui, T.; Tozawa, R.; Gotoh, Y.; Sato, N.; Okuno, Y.; Kobayashi, T.; Imaizumi, M.; Akiyoshi, M. Gamma-Ray Irradiation Effects on CdTe Solar Cell Dosimeter. Jpn. J. Appl. Phys. 2021, 60, SBBF02. [Google Scholar] [CrossRef]
- Okuno, Y.; Yamaguchi, M.; Okubo, N.; Imaizumi, M. Degradation Prediction of a γ-Ray Radiation Dosimeter Using InGaP Solar Cells in a Primary Containment Vessel of the Fukushima Daiichi Nuclear Power Station. J. Nucl. Sci. Technol. 2020, 57, 457–462. [Google Scholar] [CrossRef]
- Ramanujam, J.; Bishop, D.M.; Todorov, T.K.; Gunawan, O.; Rath, J.; Nekovei, R.; Artegiani, E.; Romeo, A. Flexible CIGS, CdTe and a-Si:H Based Thin Film Solar Cells: A Review. Prog. Mater. Sci. 2020, 110, 100619. [Google Scholar] [CrossRef]
- Kim, W.S.; Han, S.; Ahn, J.; Um, W. Investigation of 3H, 99Tc, and 90Sr Transport in Fractured Rock and the Effects of Fracture-Filling/Coating Material at LILW Disposal Facility. Environ. Geochem. Health 2019, 41, 411–425. [Google Scholar] [CrossRef] [PubMed]
- Geant4. Available online: http://www.geant4.org/geant4/ (accessed on 10 September 2020).
- Knoll, G.F. Radiation Detection and Measurement, 3rd ed.; Wiley: New York, NY, USA, 2000. [Google Scholar]
- Niraula, M.; Nakamura, A.; Aoki, T.; Tomita, Y.; Hatanaka, Y. Stability Issues of High-Energy Resolution Diode Type CdTe Nuclear Radiation Detectors in a Long-Term Operation. Nucl. Instrum. Methods Phys. Res. Sect. A 2002, 491, 168–175. [Google Scholar] [CrossRef]
- Vacap, F.; Manjón, G.; Garcia-León, M. Efficiency Calibration of a Liquid Scintillation Counter for 90Y Cherenkov Counting. Nucl. Instrum. Methods Phys. Res. Sect. A 1998, 406, 267–275. [Google Scholar] [CrossRef]
- Schuster, C.S.; Smith, B.R.; Sanderson, B.J.; Mullins, J.T.; Atkins, J.; Joshi, P.; McNamara, L.; Krauss, T.F.; Jenkins, D.G. Flexible Silicon-Based Alpha-Particle Detector. Appl. Phys. Lett. 2017, 111, 073505. [Google Scholar] [CrossRef]





| Activity BqL | Sr Counts | Y Counts | K Counts | C Counts | Cs |
|---|---|---|---|---|---|
| 100,000 | 12,752 | 242,593 | 162,060 | 0 | 78,013 |
| 10,000 | 1287 | 24,246 | 16,260 | 0 | 7842 |
| 1000 | 136 | 2438 | 1620 | 0 | 792 |
| 100 | 10 | 246 | 172 | 0 | 73 |
| 10 | 1 | 21 | 18 | 0 | 10 |
| 1 | 0 | 1 | 0 | 0 | 1 |
| Length of Measurement | Limit of Detection (BqL) |
|---|---|
| 10 min | 799 |
| 1 h | 323 |
| 24 h | 66 |
| 48 h | 46 |
| 168 h | 25 |
| Activity BqL | Sr Counts | Y Counts | K Counts | C Counts | Cs Counts |
|---|---|---|---|---|---|
| 100,000 | 28,428 (+222%) | 834,089 (344%) | 505,585 (311%) | 0 | 106,997 (137%) |
| 10,000 | 2859 (+222%) | 83,203 (343%) | 50,438 (310%) | 0 | 10,563 (134%) |
| 1000 | 321 (+236%) | 8130 (333%) | 5080 (313%) | 0 | 1051 (133%) |
| 100 | 32 (+320%) | 802 (326%) | 506 (294%) | 0 | 106 (145%) |
| 10 | 3 | 81 | 58 | 0 | 7 |
| 1 | 1 | 15 | 10 | 0 | 0 |
| Length of Measurement | Limit of Detection (BqL) (a) | Limit of Detection (BqL) (b) |
|---|---|---|
| 0.17 h | 221 | 18 |
| 1 h | 91 | 7 |
| 24 h | 18 | 1 |
| 48 h | 13 | 1 |
| 168 h | 7 | 1 |
| Detector 1 | Detector 2 | Detector 3 | Detector 4 | |
|---|---|---|---|---|
| Dimensions (mm) | 30 × 15 | 90 × 15 | 30 × 15 | 90 × 15 |
| Radius (mm) | 15 | 15 | 20 | 20 |
| 100,000 BqL | 47,290 | 141,953 | 26,093 | 78,430 |
| 10,000 BqL | 4729 | 14,134 | 2649 | 7932 |
| 1000 BqL | 438 | 1373 | 278 | 782 |
| 100 BqL | 41 | 117 | 27 | 68 |
| 10 BqL | 7 | 17 | 2 | 11 |
| 1 BqL | 0 | 0 | 0 | 1 |
| Length of Measurement | Limit of Detection (BqL) |
|---|---|
| 0.17 h | 51 |
| 1 h | 20 |
| 24 h | 4 |
| 48 h | 3 |
| 168 h | 2 |
Publisher’s Note: MDPI stays neutral with regard to jurisdictional claims in published maps and institutional affiliations. |
© 2021 by the authors. Licensee MDPI, Basel, Switzerland. This article is an open access article distributed under the terms and conditions of the Creative Commons Attribution (CC BY) license (http://creativecommons.org/licenses/by/4.0/).
Share and Cite
Turkington, G.; Gamage, K.A.A.; Graham, J. The Simulated Characterization and Suitability of Semiconductor Detectors for Strontium 90 Assay in Groundwater. Sensors 2021, 21, 984. https://doi.org/10.3390/s21030984
Turkington G, Gamage KAA, Graham J. The Simulated Characterization and Suitability of Semiconductor Detectors for Strontium 90 Assay in Groundwater. Sensors. 2021; 21(3):984. https://doi.org/10.3390/s21030984
Chicago/Turabian StyleTurkington, Graeme, Kelum A. A. Gamage, and James Graham. 2021. "The Simulated Characterization and Suitability of Semiconductor Detectors for Strontium 90 Assay in Groundwater" Sensors 21, no. 3: 984. https://doi.org/10.3390/s21030984
APA StyleTurkington, G., Gamage, K. A. A., & Graham, J. (2021). The Simulated Characterization and Suitability of Semiconductor Detectors for Strontium 90 Assay in Groundwater. Sensors, 21(3), 984. https://doi.org/10.3390/s21030984

