A Review of Techniques for RSS-Based Radiometric Partial Discharge Localization
Abstract
1. Introduction
2. Techniques for Radiometric Partial Discharge Measurement
2.1. Characteristics of Radiometric PD
2.2. Time Difference of Arrival PD Measurement
2.3. Received Signal Strength PD Measurement
2.4. Summary of the Reviewed Literature
- Whilst undersampling acquisition allows for a lower power ADC to be used, the lower sample rate limits the accuracy of the measurement. Conversely, oversampling provides a high level of measurement accuracy, but is limited by the requirement for higher power consumption.
- Schottky diode-based RF power detectors, e.g., LTC5507, can provide an accurate measurement of received power, at no or low power consumption, and can track the fast envelope of a received PD signal. However, their dynamic range is limited due to the requirement for them to operate in the square-law region of the diode.
- Logarithmic power detectors, e.g., AD8307, have high dynamic ranges, typically greater than 70 dB, and have sensitivities typically below −50 dBm. This comes at the cost of increased circuit complexity, and therefore, increased power consumption. Furthermore, they are limited by a response time in the range of hundreds of nanoseconds to microseconds.
- Various reported measurements have shown that the typical frequency spectra of many radiometric PD faults are within the 50–800 MHz band. Within this band there exist various transmitted signals that may cause interference to radiometric PD measurement.
- TOA and TDOA radiometric PD detection provides a high level of location accuracy, yet due to the requirement for high-speed sampling, in excess of 1 GSa/s and the requirement for synchronization between sensors, it is not suitable for large-scale monitoring of HV plants.
- RSS PD measurement techniques can alleviate the dependence on excessive conversion rates when used in conjunction with envelope detection. Furthermore, implementation of a large-scale WSN utilizing this technique is simpler because incoherent sensors can be used. However, existing sensors using RSS still require sample rates beyond 10 MSa/s.
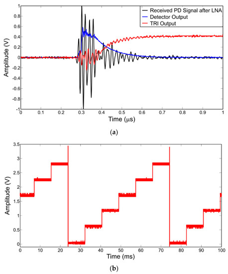
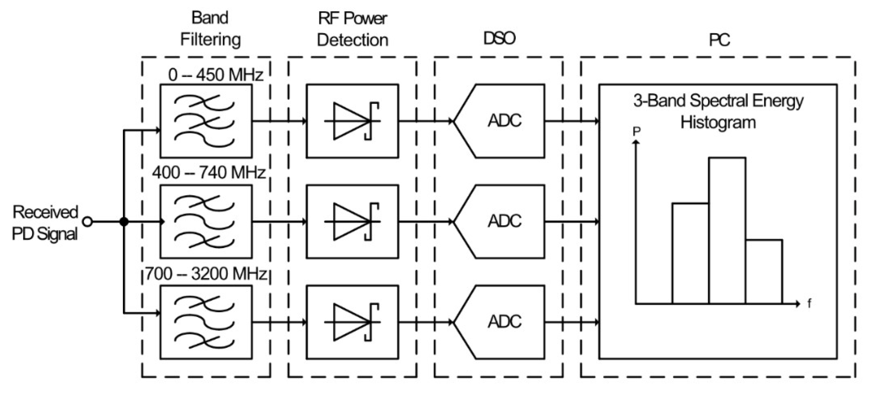
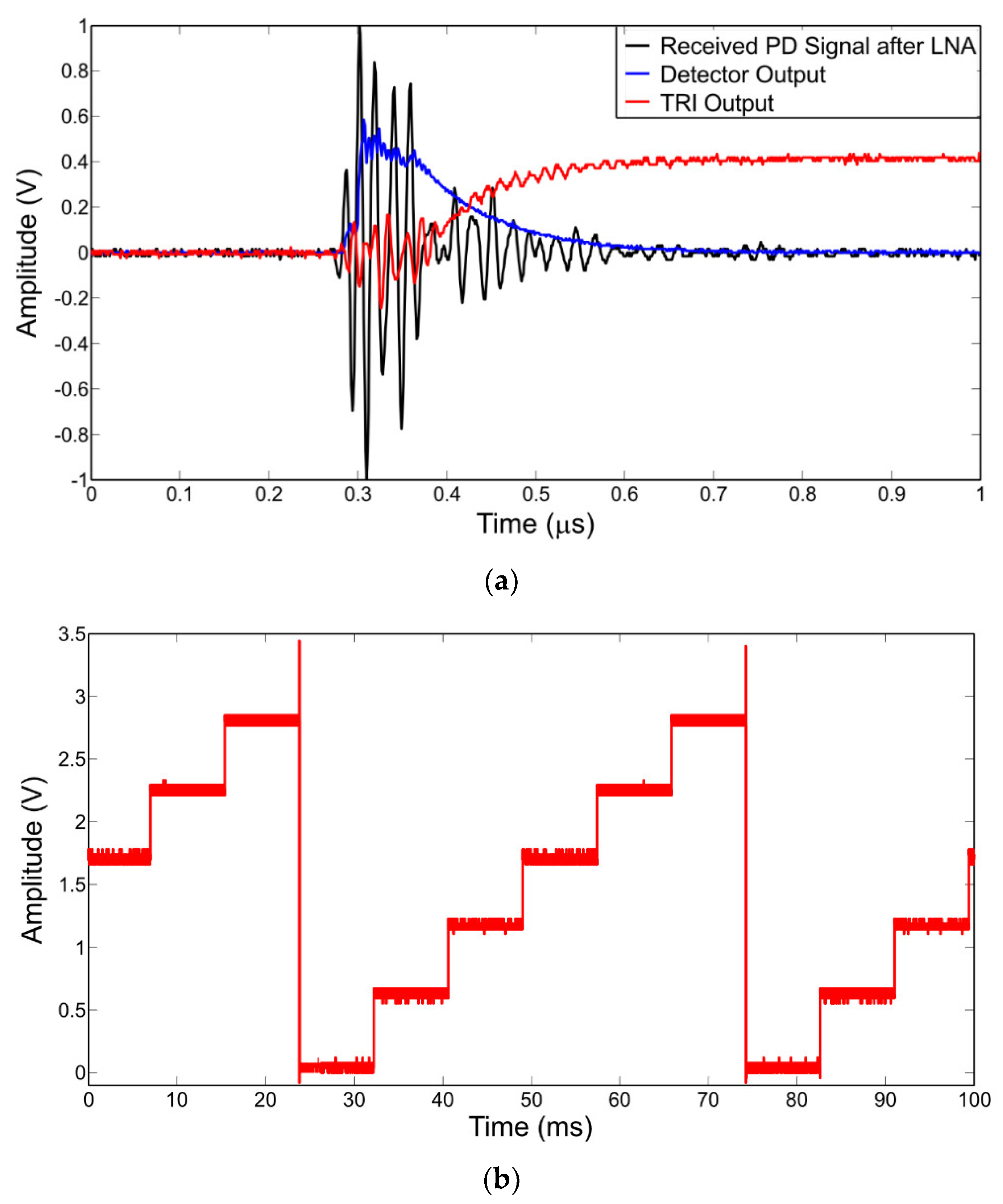
3. Radiometric PD Detection Using TRI Based WSN
4. Conclusions
Author Contributions
Funding
Data Availability Statement
Acknowledgments
Conflicts of Interest
References
- Ryan, M.H. High Voltage Engineering and Testing, 2nd ed.; IEE: Herts, UK, 2001. [Google Scholar]
- Lemke, E.; Berlijn, S.; Gulski, E.; Muhr, H.M.; Pultrum, E.; Strehl, T.; Hauschild, W.; Rickmann, J.; Rizzi, G. Guide for Electrical Partial Discharge Measurements in compliance to IEC 60270. Electra 2008, 241, 60–68. [Google Scholar]
- Bartnikas, R.; McMahon, E.J. Engineering Dielectrics, 1st ed.; American Society for Testing and Materials, Baltimore: West Conshohocken, PA, USA, 1979.
- Arief, Y.Z.; Izzati, W.A.; Adzis, Z.A. Modeling of Partial Discharge Mechanisms in Solid Dielectric Material. Int. J. Eng. Innov. Technol. 2012, 1, 315–320. [Google Scholar]
- 60270, I.I.S. High Voltage Test Techniquies—Partial Discharge Measurements, 3rd ed.; International Electrotechnical Commission (IEC): Geneva, Switzerland, 2000. [Google Scholar]
- Short, A.T. Electric Power Distribution Handbook, 2nd ed.; CRC Press: Boca Raton, FL, USA, 2014. [Google Scholar]
- Gemant, A.; Philipoff, W. Die Funkenstrecke mit Vorkondensator. (German) [The spark gap with precondenser]. Zeitschift F. Techn. Phys. 1931, 9, 425–430. [Google Scholar]
- Okubo, H.; Hayakawa, N.; Matsushita, A. The Relationship Between Partial Discharge Current Pulse Waveforms and Physical Mechanisms. IEEE Electr. Insul. Mag. 2002, 18, 38–45. [Google Scholar] [CrossRef]
- Kind, D.; Feser, K. High Voltage Test Techniques, 2nd ed.; Newnes: Oxford, UK, 2001. [Google Scholar]
- Stone, G.C. Partial Discharge Diagnostics and Electrical Equipment Insulation Condition Assessment. IEEE Trans. Dielectr. Electr. Insul. 2005, 12, 891–903. [Google Scholar] [CrossRef]
- Jennings, E.; Collinson, A. A Partial Discharge Monitor for the Measurement of Partial Discharges in a High Voltage Plant by the Transient Earth Voltage Technique. In Proceedings of the IET International Conference on Partial Discharge, Canterbury, UK, 28–30 September 1993; pp. 90–91. [Google Scholar]
- Schwarz, R.; Muhr, M. Modern Technologies in Optical Partial Discharge Detection. In Proceedings of the Electrical Insulation and Dielectric Phenomena (CEIDP), Vancouver, BC, Canada, 14–17 October 2007; pp. 163–166. [Google Scholar]
- Markalous, S.M.; Tenbohlen, S.; Feser, K. Detection and Location of Partial Discharges in Power Transformers using Acoustic and Electromagnetic Signals. IEEE Trans. Dielectr. Electr. Insul. 2008, 15, 1576–1583. [Google Scholar] [CrossRef]
- Czichos, H. Handbook of Technical Diagnostics—Fundamentals and Application to Structures and Systems, 1st ed.; Springer: Berlin, Germany, 2013. [Google Scholar]
- Ao, S.L.; Gelman, L. Electrical Engineering and Applied Computing, 1st ed.; Springer: New York, NY, USA, 2011. [Google Scholar]
- Swedan, A.; El-Hag, A.H.; Assaleh, K. Enhancement of Acoustic based Partial Discharge Detection using Pattern Recognition Techniques. In Proceedings of the International Conference on Electric Power and Energy Conversion Systems (EPECS), Sharjah, United Arab Emirates, 15–17 November 2011; pp. 1–4. [Google Scholar]
- Cselko, R.; Tamus, Z.A.; Szabo, A.; Berta, I. Comparison of Acoustic and Electrical Partial Discharge Measurements on Cable Terminations. In Proceedings of the IEEE International Symposium on Electrical Insulation, San Diego, CA, USA, 6–9 June 2010; pp. 1–4. [Google Scholar]
- Chen, Q.; Gong, X.; Gao, W.; Li, F.; Tan, K. The UHF Method for Measurement of Partial Discharge in Oil-Impregnated Insulation. In Proceedings of the 7th International Conference on Properties and Applications of Dielectric Materials, Nagoya, Japan, 1–5 June 2003; pp. 451–454. [Google Scholar]
- Franceschetti, M. Wave Theory of Information, 1st ed.; Cambridge University Press: Cambridge, UK, 2018. [Google Scholar]
- Jaber, A.A.; Lazaridis, P.I.; Moradzadeh, M.; Glover, I.A.; Zaharis, Z.D.; Vieira, M.F.Q.; Judd, M.D.; Atkinson, R.C. Calibration of Free-Space Radiometric Partial Discharge Measurements. IEEE Trans. Dielectr. Electr. Insul. 2017, 24, 3004–3014. [Google Scholar] [CrossRef]
- Candela, R.; Stefano, A.D.; Fiscelli, G.; Bononi, S.F.; Rai, L.D. A novel partial discharge detection system based on wireless technology. In Proceedings of the AEIT Annual Conference, Mondello, Italy, 3–5 October 2013; pp. 1–6. [Google Scholar]
- Moore, P.J.; Portugues, I.; Glover, I.A. A non-intrusive partial discharge measurement system based on RF technology. In Proceedings of the IEEE Power Engineering Society General Meeting, Toronto, ON, Canada, 13–17 July 2003; Volume 4, pp. 628–633. [Google Scholar]
- Meijer, S.; Agoris, P.D.; Gulski, E.; Seitz, P.P.; Hermans, T.J.W.H. Condition assessment of power cable accessories using advanced VHF/UHF PD radio-frequency techniques. In Proceedings of the IEEE International Symposium on Electrical Insulation, Toronto, ON, Canada, 11–14 June 2006; pp. 482–485. [Google Scholar]
- Kakeeto, P.; Judd, M.; Pearson, J.; Templeton, D. Experimental investigation of positional accuracy for UHF partial discharge location. In Proceedings of the International Conference on Condition Monitoring and Diagnosis (CMD 2008), Beijing, China, 21–24 April 2008; pp. 1070–1073. [Google Scholar]
- Liu, Y.; Zhou, W.; Li, P.; Yang, S.; Tian, Y. An Ultrahigh Frequency Partial Discharge Signal De-Noising Method Based on a Generalized S-Transform and Module Time-Frequency Matrix. Sensors 2016, 16, 941. [Google Scholar] [CrossRef]
- Tenbohlen, S.; Denissov, D.; Hoek, S.M.; Markalous, S.M. Partial Discharge Measurement in the Ultra High Frequency (UHF) Range. IEEE Trans. Dielectr. Electr. Insul. 2008, 15, 1544–1552. [Google Scholar] [CrossRef]
- Siegel, M.; Tenbohlen, S. Comparison between Electrical and UHF PD Measurement concerning Calibration and Sensitivity for Power Transformers. In Proceedings of the International Conference on Condition Monitoring and Diagnosis (CMD), Jeju, Korea, 22 September 2014; pp. 5–8. [Google Scholar]
- Albarracin, R.; Ardila-Rey, J.A.; Mas’ud, A.A. Separation of Sources in Radiofrequency Measurements of Partial DIscharges using Time-Power Ratio Maps. Isa Trans. 2015, 58, 389–397. [Google Scholar] [CrossRef]
- Ofcom. United Kingdom Frequency Allocation Table; Issue No. 18v1.1.; Ofcom: London, UK, 2017.
- Ofcom. UK Interface Requirement 2028; 2015/1535/EU Notification Number: 2006/511/UK; Ofcom: London, UK, 2018.
- Ofcom. Analogue and Digital PMR446 Information Sheet; Ofcom: London, UK, 2018.
- Hoshino, T.; Kato, K.; Hayakawa, N.; Okubo, H. A Novel Technique for Detecting Electromagnetic Wave Caused by Partial Discharge in GIS. IEEE Trans. Power Deliv. 2001, 16, 545–551. [Google Scholar] [CrossRef]
- Portugues, I.E.; Moore, P.J. Study of Propagation Effects of Wideband Radiated RF Signals from PD Activity. In Proceedings of the IEEE International Instrumentation and Measurement Technology Conference (I2MTC), Montreal, QC, Canada, 1 January 2006; pp. 1–6. [Google Scholar]
- Robles, G.; Martinez-Tarifa, J.M.; Rojas-Moerno, M.V.; Albarracin, R.; Ardila-Rey, J. Antenna selection and frequency response study for UHF detection of partial discharges. In Proceedings of the IEEE International Instrumentation and Measurement Technology Conference (I2MTC), Graz, Austria, 13–16 May 2012; pp. 1–4. [Google Scholar]
- Robles, G.; Sanchez-Fernandez, M.; Albarracin, R.; Rojas-Merno, M.V.; Rajo-Iglesias, E.; Martinez-Tarifa, J.M. Antenna Parametrization for the Detection of Partial Discharges. IEEE Trans. Instrum. Meas. 2013, 62, 932–941. [Google Scholar] [CrossRef]
- Weiner, M.M. Monopole Antennas, 1st ed.; Marcel Dekker, Inc.: New York, NY, USA, 2003. [Google Scholar]
- Albarracin, R.; Ardila-Rey, J.A.; Mas’ud, A.A. On the Use of Monopole Antennas for Determining the Effect of the Enclosure of a Power Transformer Tank in Partial Discharges Electromagnetic Propagation. Sensors 2016, 16, 148. [Google Scholar] [CrossRef] [PubMed]
- Jaber, A.; Lazaridis, P.; Saeed, B.; Zhang, Y.; Khan, U.; Upton, D.; Ahmed, H.; Mather, P.; Vieira, M.F.Q.; Atkinson, R.; et al. Frequency Spectrum Analysis of Radiated Partial Discharge Signals. In Proceedings of the IET European Electromagnetics Symposium (EUROOEM), London, UK, 11–14 July 2016; pp. 1–2. [Google Scholar]
- Yao, R.; Zhang, Y.; Si, G.; Yuan, Y.; Xie, Q. Measurement and Analysis of Partial Discharge on Floating Electrode Defect in GIS. In Proceedings of the IEEE International Conference on High Voltage Engineering and Application (ICHVE), Chengdu, China, 19–22 September 2016; pp. 1–4. [Google Scholar]
- Jaber, A.; Lazaridis, P.; Saeed, B.; Mather, P.; Vieira, M.F.Q.; Atkinson, R.; Tachtatzis, C.; Iorkyase, E.; Judd, M.; Glover, I.A. Diagnostic Potential of Free-Space Radiometric Partial Discharge Measurements. In Proceedings of the URSI General Assembly and Scientific Symposium (GASS), Montreal, QC, Canada, 19–26 August 2017; pp. 1–4. [Google Scholar]
- Bensky, A. Wireless Positioning Technologies and Applications, 2nd ed.; Artech House: Norwood, MA, USA, 2016. [Google Scholar]
- Yu, K.; Sharp, I.; Guo, Y.J. Ground-Based Wireless Positioning, 1st ed.; Wiley/IEEE: Chichester, UK, 2009. [Google Scholar]
- Nakashima, H.; Aghajan, H.; Augusto, J.C. Handbook of Ambient Intelligence and Smart Environments, 1st ed.; Springer: New York, NY, USA, 2010. [Google Scholar]
- Liu, Y.; Yang, Z.; Wang, X.; Jian, L. Location, Localization, and Localizability. J. Comput. Sci. Technol. 2010, 25, 274–297. [Google Scholar] [CrossRef]
- Sinaga, H.H.; Phung, B.T.; Blackburn, T.R. Partial Discharge Localization in Transformers Using UHF Detection Method. Trans. Dielectr. Electr. Insul. 2012, 19, 1891–1900. [Google Scholar] [CrossRef]
- Tian, Y.; Qi, B.; Zhuo, R.; Fu, M.; Li, C. Locating partial discharge source occurring on transformer bushing by using the improved TDOA method. In Proceedings of the International Conference on Condition Monitoring and Diagnosis (CMD), Xi’ian, China, 25–28 September 2016; pp. 144–147. [Google Scholar]
- Judd, M.D. Radiometric Partial Discharge Detection. In Proceedings of the International Conference on Condition Monitoring and Diagnosis (CMD), Beijing, China, 21–24 April 2008; pp. 1–6. [Google Scholar]
- Portugues, I.E.; Moore, P.J.; Glover, I.A.; Johnstone, C.; McKosty, R.H.; Goff, M.B.; van der Zel, L. RF-Based Partial Discharge Early Warning System for Air-Insulated Substations. Trans. Dielectr. Electr. Insul. 2009, 24, 20–29. [Google Scholar]
- Zhu, M.X.; Wang, Y.B.; Li, Y.; Mu, H.B.; Deng, J.B.; Shao, X.J.; Zhang, G.J. Detection and Localization of Partial Discharge in Air-Insulated Substations using UHF Antenna Array. In Proceedings of the IEEE Conference on Power Engineering and Renewable Energy (ICPERE), Yogyakarta, Indonesia, 29–30 November 2016; pp. 221–224. [Google Scholar]
- Zhu, M.X.; Wang, Y.B.; Liu, Q.; Zhang, J.N.; Deng, J.B.; Zhang, G.J.; Shao, X.J.; He, W.L. Localization of Multiple Partial Discharge Sources in Air-Insulated Substation using Probability-Based Algorithm. IEEE Trans. Dielectr. Electr. Insul. 2017, 24, 157–166. [Google Scholar] [CrossRef]
- Li, P.; Zhou, W.; Yang, S.; Liu, Y.; Tian, Y.; Wang, Y. Method for Partial Discharge Localization in Air-Insulated Substations. Iet Sci. Meas. Technol. 2017, 11, 331–338. [Google Scholar]
- Buchanan, W.J. The Handbook of Data Communications and Networks, 2nd ed.; Springer: Dordrecht, The Netherlands, 2004. [Google Scholar]
- Robles, G.; Fresno, J.M.; Sanchez-Fernandez, M.; Martinex-Tarifa, J.M. Antenna Deployment for the Localization of Partial Discharges in Open-Air Substations. Sensors 2016, 16, 541. [Google Scholar] [CrossRef]
- Moore, P.J.; Portugues, I.E.; Glover, I.A. Radiometric Location of Partial Discharge Sources on Energized High-Voltage Plant. IEEE Trans. Power Deliv. 2005, 20, 2264–2272. [Google Scholar] [CrossRef]
- Robles, G.; Fresno, J.M.; Martinex-Tarifa, J.M. Separation of Radio-Frequency Sources and Localization of Partial Discharges in Noisy Environments. Sensors 2015, 15, 9882–9898. [Google Scholar] [CrossRef] [PubMed]
- De Souza Neto, J.M.R.; de Macedo, E.C.T.; da Rocha Neto, J.S.; Glover, I.A.; Judd, M.D.; Atkinson, R.; Soraghan, J. Plausability of Incoherent Detection for Radiometric Monitoring of Insulation Integrity in HV Substations. In Proceedings of the Loughborough Antennas & Propagation Conference, Loughborough, UK, 11–12 November 2013; pp. 494–499. [Google Scholar]
- Karl, H.; Willig, A. The Handbook of Data Communications and Networks, 1st ed.; Wiley: Hoboken, NJ, USA, 2007. [Google Scholar]
- Zekavat, R.; Buehrer, R.M. Handbook of Position Location: Theory, Practice and Advances, 1st ed.; Wiley/IEEE Press: Hoboken, NJ, USA, 2012. [Google Scholar]
- Baker, P.C.; Judd, M.D.; McArthur, S.D.J. A Frequency-Based RF Partial Discharge Detector for Low-Power Wireless Sensing. IEEE Trans. Dielectr. Electr. Insul. 2010, 17, 133–140. [Google Scholar]
- Baker, P.C.; Stephen, B.; JUdd, M.D. Compositional Modeling of Partial Discharge Pulse Spectral Characteristics. Trans. Instrum. Meas. 2013, 62, 1909–1916. [Google Scholar] [CrossRef]
- Reid, A.J.; Judd, M.D.; Fouracre, R.A.; Stewart, B.G.; Hepburn, B.M. Simultaneous measurement of partial discharge using IEC60270 and radio-frequency techniques. Trans. Dielectr. Electr. Insul. 2011, 18, 444–455. [Google Scholar] [CrossRef]
- Reid, A.J.; Judd, M.D.; Stewart, B.G.; Fouracre, R.A.; Venkatesan, S. Correlation between RF energy and IEC60270 apparent charge for selected partial discharge source geometries. In Proceedings of the 15th International Symposium on High Voltage Engineering, Ljubljana, Slovenia, 27–31 August 2007; p. T7-531. [Google Scholar]
- Reid, A.J.; Judd, M.D.; Stewart, B.G.; Fouracre, R.A. Comparing IEC60270 and RF partial discharge patterns. In Proceedings of the International Conference on Condition Monitoring and Diagnosis (CMD), Beijing, China, 21–24 April 2008; pp. 89–92. [Google Scholar]
- Reid, A.J.; Judd, M.D.; Duncan, G. Simultaneous Measurement of Partial Discharge using TEV, IEC60270 and UHF Techniques. In Proceedings of the IEEE Symposium on Electrical Insulation (ISEI), San Juan, PR, USA, 10–13 June 2012; pp. 439–442. [Google Scholar]
- Iorkyase, E.T.; Tachtatzis, C.; Atkinson, R.C.; Glover, I.A. Localization of Partial Discharge Sources using Radio Fingerprinting Technique. In Proceedings of the Loughborough Antennas and Propagation Conference (LAPC), Loughborough, UK, 2–3 November 2015; pp. 1–5. [Google Scholar]
- Zhang, W.; Bi, K.; Li, Z.; Luo, L.; Sheng, G.; Jiang, X. RSSI Fingerprinting-based UHF Partial Discharge Localization Technology. In Proceedings of the IEEE PES Asia-Pacific Power and Energy Engineering Conference (APPEEC), Xi’ian, China, 25–28 October 2016; pp. 1364–1367. [Google Scholar]
- Sarkar, B.; Koley, C.; Roy, N.K.; Kumbhakar, P. Low-Cost RF Sensor for Partial Discharge Detection of High Voltage Apparatus. In Proceedings of the IEEE International Conference on Condition Assessment Techniques in Electrical Systems, Kolkata, India, 6–8 December 2013; pp. 259–264. [Google Scholar]
- Luo, Y.; Li, Z.; Wang, H. A Review of Online Partial Discharge Measurement of Large Generators. Energies 2017, 10, 1694. [Google Scholar] [CrossRef]
- Huang, W.; Zhang, C.; Dong, M.; Zhou, J. Research on Partial Discharge Monitoring System of Switchgear Based on Wireless Distributed TEV Sensors. In Proceedings of the 1st International Conference on Electrical Materials and Power Equipment (ICEMPE), Xi’ian, China, 14–17 May 2017; pp. 647–650. [Google Scholar]
- Neto, J.M.R.D.S.; Neto, J.S.D.R.; Macedo, E.C.T.; Glover, I.A.; Judd, M.D. An envelope detector as a trading cost technique for radiometric partial discharge detection. In Proceedings of the IEEE Int’l Instrumentation and Measurement Technology Conference (I2MTC), Montevideo, Uruguay, 12–15 May 2014; pp. 1584–1589. [Google Scholar]
- Baker, P.C.; Stephen, B.; Judd, M.D.; McArthur, S.D.J. Development of an Integrated Low-Power RF Partial Discharge Detector. In Proceedings of the IEEE Electrical Insulation Conference (EIC), Montreal, QC, Canada, 31 May–3 June 2009; pp. 273–277. [Google Scholar]
- De Souza Neto, J.M.R.; de Macedo, E.C.T.; da Rocha Neto, J.S.; da Costa, E.G.; Bhatti, S.A.; Glover, I.A. Partial Discharge Location using Unsynchronized Radiometer Network for Condition Monitoring in HV Substations–A Proposed Approach. J. Phys. Conf. Ser. 2012, 361, 1–11. [Google Scholar] [CrossRef]
- Vedral, J.; Kriz, M. Signal Processing in Partial Discharge Measurement. Metrol. Meas. Syst. 2010, 17, 55–64. [Google Scholar] [CrossRef][Green Version]
- Upton, D.W.; Haigh, R.P.; Mather, P.J.; Lazaridis, P.I.; Mistry, K.K.; Zaharis, Z.D.; Tachtatzis, C.; Atkinson, R.C. Gated Pipelined Folding ADC-Based Low Power Sensor for Large-Scale Radiometric Partial Discharge Monitoring. IEEE Sens. J. 2020, 20, 7826–7836. [Google Scholar] [CrossRef]
- Khan, U.F.; Lazaridis, P.I.; Mohamed, H.; Albarracín, R.; Zaharis, Z.D.; Atkinson, R.C.; Tachtatzis, C.; Glover, I.A. An Efficient Algorithm for Partial Discharge Localization in High-Voltage Systems Using Received Signal Strength. Sensors 2018, 18, 4000. [Google Scholar] [CrossRef]
- Mohamed, H.; Lazaridis, P.; Mather, P.; Tachtatzis, C.; Judd, M.; Atkinson, R.; Glover, I.A. Partial Discharge Detection and Localization: Using Software-Defined Radio. Ind. Electron. Mag. 2019, 13, 77–85. [Google Scholar] [CrossRef]
- Upton, D.W.; Saeed, B.I.; Mather, P.J.; Lazaridis, P.I.; Vieira, M.F.Q.; Atkinson, R.C.; Tachtatzis, C.; Garcia, M.S.; Judd, M.D.; Glover, I.A. Wireless Sensor Network for Radiometric Detection and Assessment of Partial Discharge in High-Voltage Equipment. Radio Sci. 2018, 53, 357–364. [Google Scholar] [CrossRef]
- Upton, D.W.; Saeed, B.I.; Mather, P.J.; Sibley, M.J.N.; Lazaridis, P.I.; Mistry, K.K.; Glover, I.A.; Filho, F.T.; Tachtatzis, C.; Atkinson, R.C.; et al. Low power radiometric partial discharge sensor using composite transistor-reset integrator. Trans. Dielectr. Electr. Insul. 2018, 25, 984–992. [Google Scholar] [CrossRef]
















Publisher’s Note: MDPI stays neutral with regard to jurisdictional claims in published maps and institutional affiliations. |
© 2021 by the authors. Licensee MDPI, Basel, Switzerland. This article is an open access article distributed under the terms and conditions of the Creative Commons Attribution (CC BY) license (http://creativecommons.org/licenses/by/4.0/).
Share and Cite
Upton, D.W.; Mistry, K.K.; Mather, P.J.; Zaharis, Z.D.; Atkinson, R.C.; Tachtatzis, C.; Lazaridis, P.I. A Review of Techniques for RSS-Based Radiometric Partial Discharge Localization. Sensors 2021, 21, 909. https://doi.org/10.3390/s21030909
Upton DW, Mistry KK, Mather PJ, Zaharis ZD, Atkinson RC, Tachtatzis C, Lazaridis PI. A Review of Techniques for RSS-Based Radiometric Partial Discharge Localization. Sensors. 2021; 21(3):909. https://doi.org/10.3390/s21030909
Chicago/Turabian StyleUpton, David W., Keyur K. Mistry, Peter J. Mather, Zaharias D. Zaharis, Robert C. Atkinson, Christos Tachtatzis, and Pavlos I. Lazaridis. 2021. "A Review of Techniques for RSS-Based Radiometric Partial Discharge Localization" Sensors 21, no. 3: 909. https://doi.org/10.3390/s21030909
APA StyleUpton, D. W., Mistry, K. K., Mather, P. J., Zaharis, Z. D., Atkinson, R. C., Tachtatzis, C., & Lazaridis, P. I. (2021). A Review of Techniques for RSS-Based Radiometric Partial Discharge Localization. Sensors, 21(3), 909. https://doi.org/10.3390/s21030909

