A Wideband Noise and Harmonic Distortion Canceling Low-Noise Amplifier for High-Frequency Ultrasound Transducers
Abstract
:1. Introduction
2. PVDF Ultrasound Transducer Model
3. LNA Design and Analysis
3.1. Resistive Shunt-Feedback
3.2. Feedforward Noise Cancellation
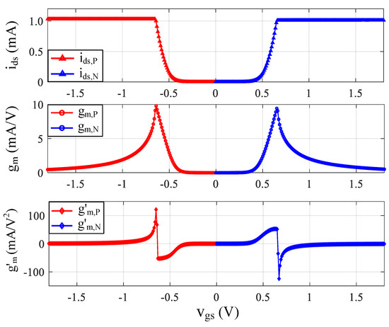
3.3. Complementary CMOS Topology
3.4. Current-Reuse Technique
4. Proposed LNA Design
5. Measurement Results and Analysis
6. Conclusions
Author Contributions
Funding
Institutional Review Board Statement
Informed Consent Statement
Data Availability Statement
Acknowledgments
Conflicts of Interest
References
- Shung, K. High frequency ultrasonic imaging. J. Med. Ultrasound 2009, 17, 25–30. [Google Scholar] [CrossRef] [Green Version]
- Chandrana, C.; Talman, J.; Pan, T.; Roy, S.; Fleischman, A. Design and analysis of MEMS based PVDF ultrasonic transducers for vascular imaging. Sensors 2010, 10, 8740–8750. [Google Scholar] [CrossRef] [PubMed] [Green Version]
- Bitton, R.; Zemp, R.; Yen, J.; Wang, L.; Shung, K. A 3-D high-frequency array based 16 channel photoacoustic microscopy system for in vivo micro-vascular imaging. IEEE Trans. Med. Imaging 2009, 28, 1190–1197. [Google Scholar] [CrossRef] [PubMed]
- Daoudi, K.; Kersten, B.; Ende, C.; Hoogen, F.; Vonk, M.; Korte, C. Photoacoustic and high-frequency ultrasound imaging of systemic sclerosis patients. Arthritis Res. Ther. 2021, 23, 22. [Google Scholar] [CrossRef] [PubMed]
- Kubelick, K.; Snider, E.; Ethier, C.; Emelianov, S. Development of a stem cell tracking platform for ophthalmic applications using ultrasound and photoacoustic imaging. Theranostics 2019, 9, 3812–3824. [Google Scholar] [CrossRef] [PubMed]
- Strohm, E.; Moore, M.; Kolios, M. High resolution ultrasound and photoacoustic imaging of single cells. Photoacoustics 2016, 4, 36–42. [Google Scholar] [CrossRef] [PubMed] [Green Version]
- Hsieh, B.; Chen, S.; Ling, T.; Guo, L.; Li, P. Integrated intravascular ultrasound and photoacoustic imaging scan head. Opt. Lett. 2010, 35, 2892–2894. [Google Scholar] [CrossRef] [PubMed]
- O’Connor, P.; Geronimo, G. Prospects for charge sensitive amplifiers in scaled CMOS. In Proceedings of the IEEE Nuclear Science Symposium and Medical Imaging Conference, Seattle, WA, USA, 24–30 October 1999; pp. 88–93. [Google Scholar]
- Li, X.; Zhang, Q.; Sun, Y. A low noise charge sensitive amplifier with adjustable leakage compensation in 0.18 µm CMOS process. In Proceedings of the IEEE International Conference of Electron Devices and Solid-State Circuits, Hong Kong, China, 15–17 December 2010; pp. 1–4. [Google Scholar]
- Chang, T.; Chen, J.; Rigge, L.; Lin, J. ESD-protected wideband CMOS LNAs using modified resistive feedback techniques with chip-on-board packaging. IEEE Trans. Microw. Theory Tech. 2008, 56, 1817–1826. [Google Scholar] [CrossRef]
- Bruccoleri, F.; Klumperink, E.; Nauta, B. Wide-band CMOS low-noise amplifier exploiting thermal noise canceling. IEEE J. Solid-State Circuits 2004, 39, 275–282. [Google Scholar] [CrossRef]
- Eriksrod, J.; Ytterdal, T. A 65nm CMOS front-end LNA for medical ultrasound imaging with feedback employing noise and distortion cancellation. In Proceedings of the European Conference on Circuit Theory and Design, Dresden, Germany, 8–12 September 2013; pp. 1–4. [Google Scholar]
- Tang, Y.; Feng, Y.; Zuo, Z.; Fan, Q.; Fang, C.; Zou, J.; Chen, J. Wideband LNA with 1.9 dB noise figure in 0.18 μm CMOS for high frequency ultrasound imaging applications. In Proceedings of the IEEE New Circuits and Systems Conference, Vancouver, BC, Canada, 26–29 June 2016; pp. 1–4. [Google Scholar]
- Zhang, X.; Chen, Z.; Gao, Y.; Ma, F.; Hao, J.; Zhu, G.; Chi, B. An interference-robust reconfigurable receiver with automatic frequency-calibrated LNA in 65-nm CMOS. IEEE Trans. Very Large Scale Integr. Syst. 2017, 25, 3113–3124. [Google Scholar] [CrossRef]
- Geha, C.; Nguyen, C.; Martinez, J. A wideband low-power-consumption 22–32.5-GHz 0.18- μm BiCMOS active balun-LNA with IM2 cancellation using a transformer-coupled cascode-cascade topology. IEEE Trans. Microw. Theory Tech. 2017, 65, 536–547. [Google Scholar] [CrossRef]
- Rahman, M.; Harjani, R. A sub-1V, 2.8 dB NF, 475 μW coupled LNA for internet of things employing dual-path noise and nonlinearity cancellation. In Proceedings of the IEEE Radio Frequency Integrated Circuits Symposium, Honolulu, HI, USA, 4–6 June 2017; pp. 236–239. [Google Scholar]
- Tang, Y.; Feng, Y.; Fan, Q.; Fang, C.; Zou, J.; Chen, J. A wideband complementary noise and distortion canceling LNA for high-frequency ultrasound imaging applications. In Proceedings of the IEEE Texas Symposium on Wireless and Microwave Circuits and Systems, Waco, TX, USA, 5–6 April 2018; pp. 1–4. [Google Scholar]
- Zou, W.; Holland, S.; Kim, K.; Sachse, W. Wideband high-frequency line-focus PVDF transducer for materials characterization. Ultrasonics 2003, 41, 157–161. [Google Scholar] [CrossRef]
- Foster, F.; Harasiewicz, K.; Sherar, M. A history of medical and biological imaging with polyvinylidene fluoride (PVDF) transducers IEEE Trans. Ultrason. Ferroelectr. Freq. Control 2000, 47, 1363–1371. [Google Scholar] [CrossRef]
- Smolorz, S.; Grill, W. Focusing PVDF transducers for acoustic microscopy. Res. Nondestruct. Eval. 1996, 7, 195–201. [Google Scholar] [CrossRef]
- Scholten, A.; Tromp, H.; Tiemeijer, L.; Langevelde, R.; Havens, R.; Vreede, P.; Roes, R.; Woerlee, P.; Montree, A.; Klaassen, D. Accurate thermal noise model for deep-submicron CMOS. In Proceedings of the International Electron Devices Meeting Technical Digest, Washington, DC, USA, 5–8 December 1999; pp. 155–158. [Google Scholar]
- Nam, I.; Kim, B.; Lee, K. CMOS RF amplifier and mixer circuits utilizing complementary characteristics of parallel combined NMOS and PMOS devices. IEEE J. Solid-State Circuits 2005, 53, 1662–1671. [Google Scholar] [CrossRef]
- Taris, T.; Begueret, J.; Deval, Y. A low voltage current reuse LNA in a 130 nm CMOS technology for UWB applications. In Proceedings of the European Microwave Integrated Circuit Conference, Munich, Germany, 8–10 October 2007; pp. 307–310. [Google Scholar]
- Tang, Y.; Feng, Y.; Fan, Q.; Zhang, R.; Chen, J. A current reuse wideband LNA with complementary noise and distortion cancellation for ultrasound imaging applications. In Proceedings of the IEEE Asia Pacific Conference on Circuits and Systems, Chengdu, China, 26–30 October 2018; pp. 171–174. [Google Scholar]
- Maxim Integrated. Noise Figure Measurement Methods and Formulas. Available online: https://www.maximintegrated.com (accessed on 5 November 2021).
- Steyaert, M.; Sansen, W.; Chang, Z. A micropower low-noise monolithic instrumentation amplifier for medical purposes. IEEE J. Solid-State Circuits 1987, 22, 1163–1168. [Google Scholar] [CrossRef]
- Yoon, J.; Lee, S.; Kim, J.; Song, N.; Koh, J.; Choi, J. Low-noise amplifier path for ultrasound system applications. In Proceedings of the IEEE Asia Pacific Conference on Circuits and Systems, Kuala Lumpur, Malaysia, 6–9 December 2010; pp. 244–247. [Google Scholar]
- Luo, L.; Wu, Y.; Diao, J.; Ye, F.; Ren, J. Low power low noise amplifier with DC offset correction at 1 V supply voltage for ultrasound imaging systems. In Proceedings of the IEEE International Midwest Symposium on Circuits and Systems, Windsor, ON, Canada, 5–8 August 2018; pp. 137–140. [Google Scholar]
- Diao, J.; Li, S.; Wu, Y.; Ye, F.; Xu, J.; Ren, J. Energy-efficient analog frond-end design for ultrasound imaging applications. In Proceedings of the IEEE International Midwest Symposium on Circuits and Systems, Dallas, TX, USA, 4–7 August 2019; pp. 1171–1174. [Google Scholar]
- Wang, Y.; Koen, M.; Ma, D. Low-noise CMOS TGC amplifier with adaptive gain control for ultrasound imaging receivers. IEEE Trans. Circuits Systems. II Express Briefs 2011, 58, 26–30. [Google Scholar] [CrossRef]
- Kim, I.; Kim, H.; Griggio, F.; Tutwiler, R.; Jackson, T.; Trolier-McKinstry, S.; Choi, K. CMOS ultrasound transceiver chip for high resolution ultrasonic imaging systems. IEEE Trans. Biomed. Circuits Syst. 2009, 3, 293–303. [Google Scholar] [CrossRef] [PubMed]
- Lay, L.; Carey, S.; Hatfield, J. Pre-amplifier arrays for intraoral ultrasound probe receiving electronics. In Proceedings of the IEEE Ultrasonics Symposium, Montreal, QC, Canada, 23–27 August 2005; pp. 1753–1756. [Google Scholar]
- Jung, S.; Hong, S.; Kwon, O. Low-power low-noise amplifier using attenuation-adaptive noise control for ultrasound imaging systems. IEEE Trans. Biomed. Circuits Systems 2017, 11, 108–116. [Google Scholar] [CrossRef] [PubMed]





















| PIN (dBm) | −62 | −56 | −50 | |
|---|---|---|---|---|
| THD (dBc) @ 80 MHz | NC only (NMOS) | −55.1 | −49.1 | −42.7 |
| NC only (PMOS) | −55.7 | −49.6 | −43.5 | |
| NC with complementary | −65.3 | −59.3 | −53.7 | |
| Parameters | This Work * | [27] * | [28] ** | [29] ** | [30] * | [31] * | [32] * | [33] * |
|---|---|---|---|---|---|---|---|---|
| Process [nm] | 180 | 180 | 28 | 180 | 130 | 350 | 350 | 180 |
| Power supply [V] | 1.8 | 1.8 | 1.0 | 1.8 | 3 | 3.3 | ±2.5 | 1.8 |
| Bandwidth [MHz] | 770 a/90 b | 100 | 100 | 30 | 10 | 75 | 30 | 33 |
| Gain [dB] | 37 | 17.6 | 20 | 15.2 | 36 | 20 | 12 | 19.1 |
| Input-referred noise density [nV/sqrt (Hz)] | 1.36 | 4.19 | 1.74 | 3.5 | 7.41 | 2.68 | 6.3 | 1.01 |
| Total input-referred noise [µV] | 14.2 | − | 20.8 | 34.9 | 23.4 | − | 35.6 | 5.8 |
| THD [dBc] | −55 | − | − | − | − | − | − | −53.5 |
| S11 [dB] | −16 | − | − | − | − | − | − | − |
| Power consumption [mW] | 37 | 43 | 2 | 0.27 | 12.6 | − | 20 | 16.2 |
| Noise efficiency factor | 2.66 | − | 3.57 | 3.02 | 18.51 | − | 15.36 | 3.69 |
| Core area [mm2] | 0.063 | 0.683 | 0.001 | − | 0.22 | − | − | 0.363 |
Publisher’s Note: MDPI stays neutral with regard to jurisdictional claims in published maps and institutional affiliations. |
© 2021 by the authors. Licensee MDPI, Basel, Switzerland. This article is an open access article distributed under the terms and conditions of the Creative Commons Attribution (CC BY) license (https://creativecommons.org/licenses/by/4.0/).
Share and Cite
Tang, Y.; Feng, Y.; Hu, H.; Fang, C.; Deng, H.; Zhang, R.; Zou, J.; Chen, J. A Wideband Noise and Harmonic Distortion Canceling Low-Noise Amplifier for High-Frequency Ultrasound Transducers. Sensors 2021, 21, 8476. https://doi.org/10.3390/s21248476
Tang Y, Feng Y, Hu H, Fang C, Deng H, Zhang R, Zou J, Chen J. A Wideband Noise and Harmonic Distortion Canceling Low-Noise Amplifier for High-Frequency Ultrasound Transducers. Sensors. 2021; 21(24):8476. https://doi.org/10.3390/s21248476
Chicago/Turabian StyleTang, Yuxuan, Yulang Feng, He Hu, Cheng Fang, Hao Deng, Runxi Zhang, Jun Zou, and Jinghong Chen. 2021. "A Wideband Noise and Harmonic Distortion Canceling Low-Noise Amplifier for High-Frequency Ultrasound Transducers" Sensors 21, no. 24: 8476. https://doi.org/10.3390/s21248476
APA StyleTang, Y., Feng, Y., Hu, H., Fang, C., Deng, H., Zhang, R., Zou, J., & Chen, J. (2021). A Wideband Noise and Harmonic Distortion Canceling Low-Noise Amplifier for High-Frequency Ultrasound Transducers. Sensors, 21(24), 8476. https://doi.org/10.3390/s21248476

