Soft Array Surface-Changing Compound Eye
Abstract
1. Introduction
2. Structural Design and Principle
3. Model Analysis
3.1. Structural Analysis of SAM
3.1.1. The Problem Is Solved by the Von Karman Equation
3.1.2. Solving Large Deflection with Governing Equation
3.2. SAM Finite Element Analysis
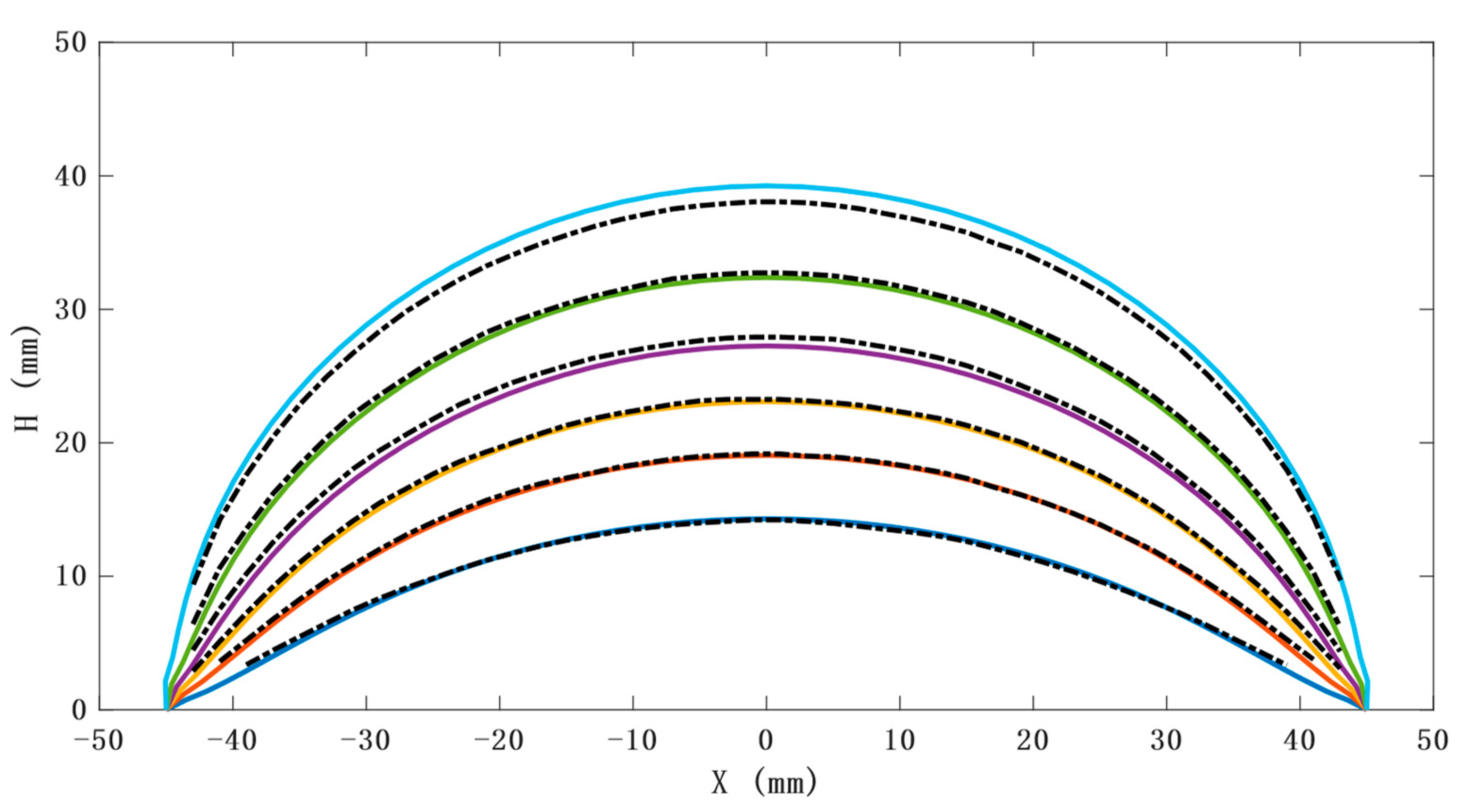
- The position and orientation of the sensor can be further obtained by predicting the outer contour of the model. In the limited air-pressure range, the outer contour of CTPM tends to be spherical under the action of air pressure. The radius of the ball decreases and the center angle increases with an increase in air pressure. Due to the sensor constraints, the contour of the unconstrained part of the CAM is approximately spherical, and its radius and spherical center angle are consistent with the variation law of the radius and spherical center angle of a circular thin plate with a change in air pressure. However, its contour radius is greater than the contour radius of CTPM under the same air pressure, and the spherical center angle is less than the spherical center angle of CTPM under the same air pressure. The contour of the constrained part is approximately plane, as shown in Figure 7.
- The prediction of the model thickness is important for the safety of SAM. CTPM expands under the action of air pressure, while its plate thickness decreases with an increase in air pressure, and the closer it is to the central axis, the thinner it becomes. The thickness of SAM at the constrained position will first increase and then decrease. However, with an increase in air pressure, the overall thickness still shows a thinning trend, and the thickness at the unconstrained part is close to the thickness of CTPM, as shown in Figure 8.
4. Fabrication
4.1. Production of SAM
4.2. Design of the VSICE Prototype System
4.3. Overall Model
5. Experiments and Results
5.1. Model Deformation Test
VSICE FOV Experiment
6. Discussion and Future Work
7. Conclusions
Author Contributions
Funding
Institutional Review Board Statement
Informed Consent Statement
Data Availability Statement
Conflicts of Interest
References
- Phan, H.; Yi, J.; Bae, J.; Ko, H.; Lee, S.; Cho, D.; Seo, J.-M.; Koo, K.-I. Artificial Compound Eye Systems and Their Application: A Review. Micromachines 2021, 12, 847. [Google Scholar] [CrossRef] [PubMed]
- Lee, G.J.; Yoo, Y.J.; Song, Y.M. Recent advances in imaging systems and photonic nanostructures inspired by insect eye geometry. Appl. Spectrosc. Rev. 2017, 53, 112–128. [Google Scholar] [CrossRef]
- Wu, S.; Jiang, T.; Zhang, G.; Schoenemann, B.; Neri, F.; Zhu, M.; Bu, C.; Han, J.; Kuhnert, K.-D. Artificial compound eye: A survey of the state-of-the-art. Artif. Intell. Rev. 2016, 48, 573–603. [Google Scholar] [CrossRef]
- Cheng, Y.; Cao, J.; Zhang, Y.; Hao, Q. Review of state-of-the-art artificial compound eye imaging systems. Bioinspiration Biomim. 2019, 14, 031002. [Google Scholar] [CrossRef]
- Hao, Q.; Wang, Z.; Cao, J.; Zhang, F. A Hybrid Bionic Image Sensor Achieving FOV Extension and Foveated Imaging. Sensors 2018, 18, 1042. [Google Scholar] [CrossRef]
- He, Q.; Liu, J.Q.; Yang, C.S. Research of Curved Artificial Compound Eyes Based on MEMS Technology. Key Eng. Mater. 2011, 483, 407–410. [Google Scholar] [CrossRef]
- Jakob, E.M.; Long, S.M.; Harland, D.P.; Jackson, R.R.; Carey, A.; Searles, M.E.; Porter, A.H.; Canavesi, C.; Rolland, J.P. Lateral eyes direct principal eyes as jumping spiders track objects. Curr. Biol. 2018, 28, R1092–R1093. [Google Scholar] [CrossRef] [PubMed]
- McCormick, L.; Cohen, J.H. Pupil light reflex in the Atlantic brief squid, Lolliguncula brevis. J. Exp. Biol. 2012, 215, 2677–2683. [Google Scholar] [CrossRef] [PubMed][Green Version]
- Rutowski, R.L.; Gislén, L.; Warrant, E.J. Visual acuity and sensitivity increase allometrically with body size in butterflies. Arthropod Struct. Dev. 2009, 38, 91–100. [Google Scholar] [CrossRef]
- Wei, Q. Research on automatic target acquisition and tracking in an infrared tracking system. In Proceedings of the 2017 16th International Conference on Optical Communications and Networks (ICOCN), Wuzhen, China, 7–10 August 2017; pp. 1–3. [Google Scholar]
- He, J.-H. A Lagrangian for von Karman equations of large deflection problem of thin circular plate. Appl. Math. Comput. 2003, 143, 543–549. [Google Scholar] [CrossRef]
- Li, Q.S.; Liu, J.; Xiao, H.B. A new approach for bending analysis of thin circular plates with large deflection. Int. J. Mech. Sci. 2004, 46, 173–180. [Google Scholar] [CrossRef]
- Tari, H. Modified variational iteration method. Phys. Lett. A 2007, 369, 290–293. [Google Scholar] [CrossRef]
- Abassy, T.A.; El-Tawil, M.A.; El Zoheiry, H. Toward a modified variational iteration method. J. Comput. Appl. Math. 2007, 207, 137–147. [Google Scholar] [CrossRef]
- He, J.-H. Generalized variational principles for buckling analysis of circular cylinders. Acta Mech. 2020, 231, 899–906. [Google Scholar] [CrossRef]
- Zhang, Y.; Zhang, L.; Liew, K.M.; Yu, J. Nonlocal continuum model for large deformation analysis of SLGSs using the kp-Ritz element-free method. Int. J. Non-Linear Mech. 2016, 79, 1–9. [Google Scholar] [CrossRef]
- Zelenina, A.; Zubov, L. The non-linear theory of the pure bending of prismatic elastic solids. J. Appl. Math. Mech. 2000, 64, 399–406. [Google Scholar] [CrossRef]
- Huang, W.; Xiao, J.; Xu, Z. A variable structure pneumatic soft robot. Sci. Rep. 2020, 10, 18778. [Google Scholar] [CrossRef]
- Huang, W.; Xu, Z.; Xiao, J.; Hu, W.; Huang, H.; Zhou, F. Multimodal Soft Robot for Complex Environments Using Bionic Omnidirectional Bending Actuator. IEEE Access 2020, 8, 193827–193844. [Google Scholar] [CrossRef]
- Lee, G.J.; Choi, C.; Kim, D.H.; Song, Y.M. Bioinspired Artificial Eyes: Optic Components, Digital Cameras, and Visual Prostheses. Adv. Funct. Mater. 2018, 28, 1705202. [Google Scholar] [CrossRef]
- Wang, Y.; Gong, Y.; Yang, L.; Xiong, Z.; Lv, Z.; Xing, X.; Zhou, Y.; Zhang, B.; Su, C.; Liao, Q.; et al. MXene-ZnO Memristor for Multimodal In-Sensor Computing. Adv. Funct. Mater. 2021, 31, 2100144. [Google Scholar] [CrossRef]
- Jiang, Y.; Wang, Y.; Miao, Z.; Na, J.; Zhao, Z.; Yang, C. Composite-Learning-Based Adaptive Neural Control for Dual-Arm Robots With Relative Motion. IEEE Trans. Neural Netw. Learn. Syst. 2020, 1–12. [Google Scholar] [CrossRef]
- Huang, H.; Yang, C.; Chen, C.L.P. Optimal Robot–Environment Interaction Under Broad Fuzzy Neural Adaptive Control. IEEE Trans. Cybern. 2021, 51, 3824–3835. [Google Scholar] [CrossRef] [PubMed]
- Yang, C.; Chen, C.; He, W.; Cui, R.; Li, Z. Robot Learning System Based on Adaptive Neural Control and Dynamic Movement Primitives. IEEE Trans. Neural Netw. Learn. Syst. 2019, 30, 777–787. [Google Scholar] [CrossRef]
- Wang, N.; Chen, C.; Yang, C. A robot learning framework based on adaptive admittance control and generalizable motion modeling with neural network controller. Neurocomputing 2020, 390, 260–267. [Google Scholar] [CrossRef]
- Yang, C.; Jiang, Y.; Na, J.; Li, Z.; Cheng, L.; Su, C.-Y. Finite-Time Convergence Adaptive Fuzzy Control for Dual-Arm Robot With Unknown Kinematics and Dynamics. IEEE Trans. Fuzzy Syst. 2019, 27, 574–588. [Google Scholar] [CrossRef]
- Yang, C.; Wu, H.; Li, Z.; He, W.; Wang, N.; Su, C.-Y. Mind Control of a Robotic Arm with Visual Fusion Technology. IEEE Trans. Ind. Inform. 2017, 14, 3822–3830. [Google Scholar] [CrossRef]
- Yang, C.; Chen, J.; Ju, Z.; Annamalai, A.S.K. Visual Servoing of Humanoid Dual-Arm Robot with Neural Learning Enhanced Skill Transferring Control. Int. J. Humanoid Robot. 2018, 15, 1750023. [Google Scholar] [CrossRef]

























Publisher’s Note: MDPI stays neutral with regard to jurisdictional claims in published maps and institutional affiliations. |
© 2021 by the authors. Licensee MDPI, Basel, Switzerland. This article is an open access article distributed under the terms and conditions of the Creative Commons Attribution (CC BY) license (https://creativecommons.org/licenses/by/4.0/).
Share and Cite
Wu, Y.; Hu, C.; Dai, Y.; Huang, W.; Li, H.; Lan, Y. Soft Array Surface-Changing Compound Eye. Sensors 2021, 21, 8298. https://doi.org/10.3390/s21248298
Wu Y, Hu C, Dai Y, Huang W, Li H, Lan Y. Soft Array Surface-Changing Compound Eye. Sensors. 2021; 21(24):8298. https://doi.org/10.3390/s21248298
Chicago/Turabian StyleWu, Yu, Chuanshuai Hu, Yingming Dai, Wenkai Huang, Hongquan Li, and Yuming Lan. 2021. "Soft Array Surface-Changing Compound Eye" Sensors 21, no. 24: 8298. https://doi.org/10.3390/s21248298
APA StyleWu, Y., Hu, C., Dai, Y., Huang, W., Li, H., & Lan, Y. (2021). Soft Array Surface-Changing Compound Eye. Sensors, 21(24), 8298. https://doi.org/10.3390/s21248298

