Raman and Photoluminescence Spectroscopy with a Variable Spectral Resolution
Abstract
:1. Introduction
2. Materials and Methods
2.1. Instrumental Setup
2.2. The Samples Analysed for Comparison
2.3. Raman and PL Spectra
- -
- is the true Raman bandwidth;
- -
- is the spectral resolution of the spectrometer;
- -
- is the Raman line width.
3. Results and Discussion
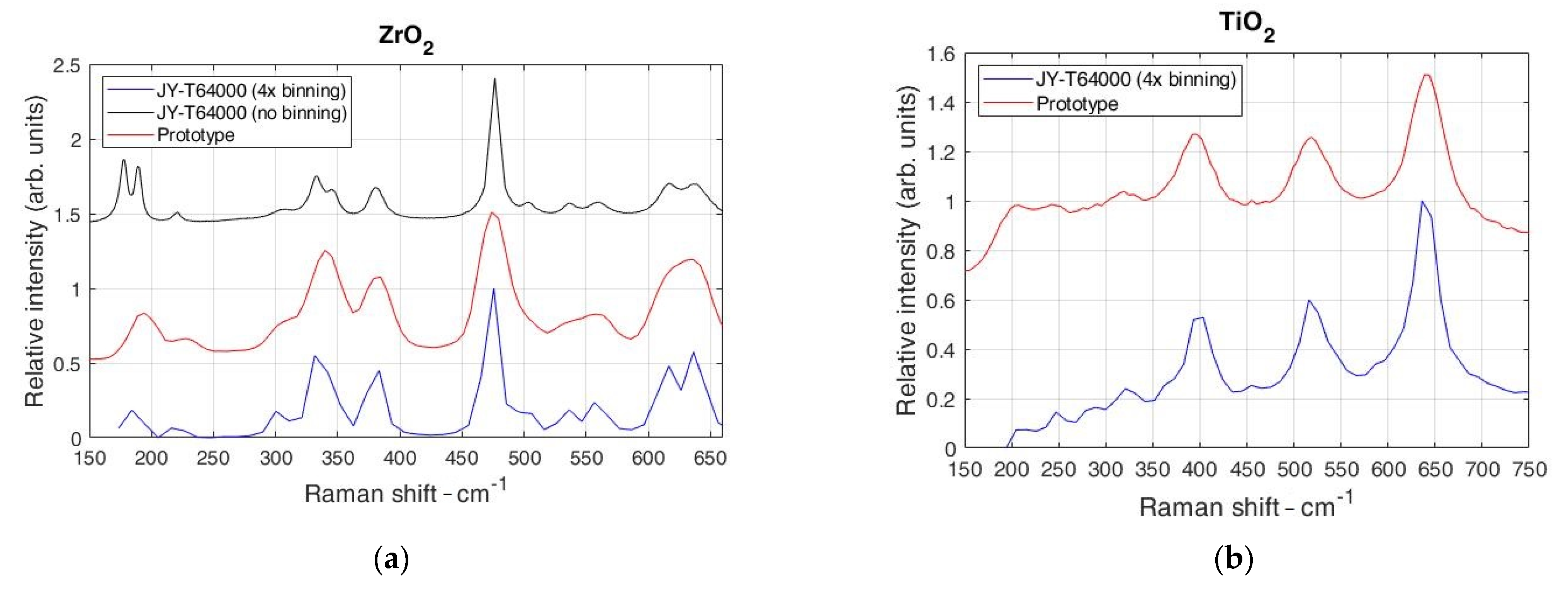
3.1. Raman Spectra
3.2. Spectral Resolution
3.3. Photoluminescence Spectra
4. Conclusions
Author Contributions
Funding
Institutional Review Board Statement
Informed Consent Statement
Data Availability Statement
Acknowledgments
Conflicts of Interest
References
- Li, Q.; Li, Y.; Li, H.; Yan, X.; Han, G.; Chen, F.; Song, Z.; Zhang, J.; Fan, W.; Yi, C.; et al. Highly Luminescent Copper Nanoclusters Stabilized by Ascorbic Acid for the Quantitative Detection of 4-Aminoazobenzene. Nanomaterials 2020, 10, 1531. [Google Scholar] [CrossRef]
- Matuszewska, A.; Czaja, M. The Use of Synchronous Luminescence Spectroscopy in Qualitative Analysis of Aromatic Fraction of Hard Coal Thermolysis Products. Talanta 2000, 52, 457–464. [Google Scholar] [CrossRef]
- Bakkar, M.A.; Nawaz, H.; Majeed, M.I.; Naseem, A.; Ditta, A.; Rashid, N.; Ali, S.; Bajwa, J.; Bashir, S.; Ahmad, S.; et al. Raman Spectroscopy for the Qualitative and Quantitative Analysis of Solid Dosage Forms of Sitagliptin. Spectrochim. Acta—Part A Mol. Biomol. Spectrosc. 2021, 245, 118900. [Google Scholar] [CrossRef] [PubMed]
- Raman, C.V.; Krishnan, K.S. A New Type of Secondary Radiation [11]. Nature 1928, 121, 501–502. [Google Scholar] [CrossRef]
- Society, R.; Riess, F. The 1930 Nobel Prize for Physics: A Close Decision? Notes Rec. R. Soc. Lond. 2019, 55, 267–283. [Google Scholar]
- Polubotko, A.M.; Chelibanov, V.P. The Theory of Surface Enhanced Hyper Raman Scattering (A Review). Opt. Spectrosc. 2016, 120, 86–108. [Google Scholar] [CrossRef]
- Madzharova, F.; Heiner, Z.; Kneipp, J. Surface-Enhanced Hyper Raman Spectra of Aromatic Thiols on Gold and Silver Nanoparticles. J. Phys. Chem. C 2020, 124, 6233–6241. [Google Scholar] [CrossRef]
- Verma, P. Tip-Enhanced Raman Spectroscopy: Technique and Recent Advances. Chem. Rev. 2017, 117, 6447–6466. [Google Scholar] [CrossRef] [PubMed]
- Shao, F.; Zenobi, R. Tip-Enhanced Raman Spectroscopy: Principles, Practice, and Applications to Nanospectroscopic Imaging of 2D Materials. Anal. Bioanal. Chem. 2019, 411, 37–61. [Google Scholar] [CrossRef] [PubMed] [Green Version]
- Begley, R.F.; Harvey, A.B.; Byer, R.L. Coherent Anti-Stokes Raman Spectroscopy. Appl. Phys. Lett. 1974, 25, 387–390. [Google Scholar] [CrossRef] [Green Version]
- Prince, R.C.; Frontiera, R.R.; Potma, E.O. Stimulated Raman Scattering: From Bulk to Nano. Chem. Rev. 2017, 117, 5070–5094. [Google Scholar] [CrossRef]
- Samek, O.; Bernatová, S.; Dohnal, F. The Potential of SERS as an AST Methodology in Clinical Settings. Nanophotonics 2021, 10, 2537–2561. [Google Scholar] [CrossRef]
- Foti, A.; D’Andrea, C.; Villari, V.; Micali, N.; Donato, M.; Fazio, B.; Maragò, O.; Gillibert, R.; Lamy de la Chapelle, M.; Gucciardi, P. Optical Aggregation of Gold Nanoparticles for SERS Detection of Proteins and Toxins in Liquid Environment: Towards Ultrasensitive and Selective Detection. Materials 2018, 11, 440. [Google Scholar] [CrossRef] [PubMed] [Green Version]
- Guilbault, G.G., III. Types of Luminescence. In Practical Fluorescence; Marcel Dekker, INC.: New York, NY, USA, 1990; pp. 1–825. ISBN 0-8247-8350-6. [Google Scholar]
- Bebb, H.B.; Williams, E.W. Chapter 4 Photoluminescence I: Theory. In Semiconductors and Semimetals Volume 8; Academic Press: London, UK, 1972; pp. 181–320. ISBN 978-0-12-752108-4. [Google Scholar]
- Cadusch, P.J.; Hlaing, M.M.; Wade, S.A.; McArthur, S.L.; Stoddart, P.R. Improved Methods for Fluorescence Background Subtraction from Raman Spectra. J. Raman Spectrosc. 2013, 44, 1587–1595. [Google Scholar] [CrossRef] [Green Version]
- Kostamovaara, J.; Tenhunen, J.; Kögler, M.; Nissinen, I.; Nissinen, J.; Keränen, P. Fluorescence Suppression in Raman Spectroscopy Using a Time-Gated CMOS SPAD. Opt. Express 2013, 21, 31632. [Google Scholar] [CrossRef] [PubMed]
- Chiuri, A.; Angelini, F. Fast Gating for Raman Spectroscopy. Sensors 2021, 21, 2579. [Google Scholar] [CrossRef]
- Crawford, S.E.; Ohodnicki, P.R.; Baltrus, J.P. Materials for the Photoluminescent Sensing of Rare Earth Elements: Challenges and Opportunities. J. Mater. Chem. C 2020, 8, 7975–8006. [Google Scholar] [CrossRef]
- Cai, C.; Nishimura, T.; Hwang, J.; Hu, X.M.; Kuroda, A. Asbestos Detection with Fluorescence Microscopy Images and Deep Learning. Sensors 2021, 21, 4582. [Google Scholar] [CrossRef] [PubMed]
- Eaton-magaña, S.; Breeding, C.M.; Palke, A.C.; Homkrajae, A.; Sun, Z.; McElhenny, G. Raman and Photoluminescence Mapping of Gem Materials. Minerals 2021, 11, 177. [Google Scholar] [CrossRef]
- Alshehawy, A.M.; Mansour, D.E.A.; Ghali, M.; Lehtonen, M.; Darwish, M.M.F. Photoluminescence Spectroscopy Measurements for Effective Condition Assessment of Transformer Insulating Oil. Processes 2021, 9, 732. [Google Scholar] [CrossRef]
- Huang, C.-C. Applications of Raman Spectroscopy in Herbal Medicine. Appl. Spectrosc. Rev. 2016, 51, 1–11. [Google Scholar] [CrossRef]
- Bernatová, S.; Rebrošová, K.; Pilát, Z.; Šerý, M.; Gjevik, A.; Samek, O.; Ježek, J.; Šiler, M.; Kizovský, M.; Klementová, T.; et al. Rapid Detection of Antibiotic Sensitivity of Staphylococcus Aureus by Raman Tweezers. Eur. Phys. J. Plus 2021, 136, 233. [Google Scholar] [CrossRef]
- Kong, K.; Kendall, C.; Stone, N.; Notingher, I. Raman Spectroscopy for Medical Diagnostics—From in-Vitro Biofluid Assays to in-Vivo Cancer Detection. Adv. Drug Deliv. Rev. 2015, 89, 121–134. [Google Scholar] [CrossRef] [PubMed] [Green Version]
- Matteini, P.; Cottat, M.; Tavanti, F.; Panfilova, E.; Scuderi, M.; Nicotra, G.; Menziani, M.C.; Khlebtsov, N.; De Angelis, M.; Pini, R. Site-Selective Surface-Enhanced Raman Detection of Proteins. ACS Nano 2017, 11, 918–926. [Google Scholar] [CrossRef] [PubMed]
- Krafft, C.; Popp, J. The Many Facets of Raman Spectroscopy for Biomedical Analysis. Anal. Bioanal. Chem. 2015, 407, 699–717. [Google Scholar] [CrossRef] [PubMed]
- Izake, E.L. Forensic and Homeland Security Applications of Modern Portable Raman Spectroscopy. Forensic Sci. Int. 2010, 202, 1–8. [Google Scholar] [CrossRef]
- Ong, T.T.X.; Blanch, E.W.; Jones, O.A.H. Surface Enhanced Raman Spectroscopy in Environmental Analysis, Monitoring and Assessment. Sci. Total Environ. 2020, 720, 137601. [Google Scholar] [CrossRef] [PubMed]
- Li, Y.; Igne, B.; Drennen, J.K.; Anderson, C.A. Method Development and Validation for Pharmaceutical Tablets Analysis Using Transmission Raman Spectroscopy. Int. J. Pharm. 2016, 498, 318–325. [Google Scholar] [CrossRef]
- Somekawa, T.; Fujita, M.; Izawa, Y.; Kasaoka, M.; Nagano, Y. Furfural Analysis in Transformer Oils Using Laser Raman Spectroscopy. IEEE Trans. Dielectr. Electr. Insul. 2015, 22, 229–231. [Google Scholar] [CrossRef]
- Olson, D.H.; Deijkers, J.A.; Quiambao-Tomko, K.; Gaskins, J.T.; Richards, B.T.; Opila, E.J.; Hopkins, P.E.; Wadley, H.N.G. Evolution of Microstructure and Thermal Conductivity of Multifunctional Environmental Barrier Coating Systems. Mater. Today Phys. 2021, 17, 100304. [Google Scholar] [CrossRef]
- De Coster, D.; Loterie, D.; Ottevaere, H.; Vervaeke, M.; Van Erps, J.; Missinne, J.; Thienpont, H. Free-Form Optics Enhanced Confocal Raman Spectroscopy for Optofluidic Lab-on-Chips. IEEE J. Sel. Top. Quantum Electron. 2015, 21, 79–86. [Google Scholar] [CrossRef]
- Yu, H.; Tan, Y.; Cunningham, B.T. Smartphone Fluorescence Spectroscopy. Anal. Chem. 2014, 86, 8805–8813. [Google Scholar] [CrossRef]
- Somerville, W.R.C.; Le Ru, E.C.; Northcote, P.T.; Etchegoin, P.G. High Performance Raman Spectroscopy with Simple Optical Components. Am. J. Phys. 2010, 78, 671–677. [Google Scholar] [CrossRef] [Green Version]
- Emmanuel, N.; Nair, R.B.; Abraham, B.; Yoosaf, K. Fabricating a Low-Cost Raman Spectrometer to Introduce Students to Spectroscopy Basics and Applied Instrument Design. J. Chem. Educ. 2021, 98, 2109–2116. [Google Scholar] [CrossRef]
- Mohr, C.; Spencer, C.L.; Hippler, M. Inexpensive Raman Spectrometer for Undergraduate and Graduate Experiments and Research. J. Chem. Educ. 2010, 87, 326–330. [Google Scholar] [CrossRef]
- Montoya-Rossi, E.; Baltuano-Elías, Ó.; Arbildo-López, A. A Homemade Cost Effective Raman Spectrometer with High Performance. J. Lab. Chem. Educ. 2015, 3, 67–75. [Google Scholar] [CrossRef]
- Youngworth, R.N.; Betensky, E.I. Fundamental Considerations for Zoom Lens Design. Zoom Lenses IV 2012, 8488, 848806. [Google Scholar] [CrossRef]
- Popp, J.; Mayerhöfer, T. (Eds.) Jürgen Popp and Thomas Mayerhöfer Micro-Raman Spectroscopy; Walter de Gruyter GmbH: Berlin/Boston, Germany, 2020; pp. 41–42. ISBN 978-3-11-051479-7. [Google Scholar]
- Dhankhar, D.; Nagpal, A.; Rentzepis, P.M. Cell-Phone Camera Raman Spectrometer. Rev. Sci. Instrum. 2021, 92, 054101. [Google Scholar] [CrossRef]
- Yuan, X.; Mayanovic, R.A. An Empirical Study on Raman Peak Fitting and Its Application to Raman Quantitative Research. Appl. Spectrosc. 2017, 71, 2325–2338. [Google Scholar] [CrossRef] [PubMed]
- Liu, C.; Berg, R.W. Determining the Spectral Resolution of a Charge-Coupled Device (CCD) Raman Instrument. Appl. Spectrosc. 2012, 66, 1034–1043. [Google Scholar] [CrossRef] [Green Version]






| Curves | MIN ZF | MAX ZF | |||||||
|---|---|---|---|---|---|---|---|---|---|
| A | b [cm−1] | σ | FWHM | A | b [cm−1] | σ | FWHM | ||
| P1 | n/a | n/a | 46.1 | 306.34 | 11.14 | 26.22 | |||
| P2 | 241.9 | 346.8 | 41.43 | 97.57 | 171.77 | 340.44 | 12.63 | 29.74 | |
| P3 | n/a | n/a | 127.1 | 382.25 | 11.59 | 27.29 | |||
| P4 | 248.5 | 483.5 | 34.77 | 81.88 | 239.1 | 475.14 | 11.73 | 27.62 | |
| P5 | n/a | n/a | 42.2 | 503.97 | 8.76 | 20.63 | |||
| P6 | n/a | n/a | 35.6 | 530.81 | 11.02 | 25.97 | |||
| P7 | n/a | n/a | 61.97 | 558.99 | 14.61 | 34.41 | |||
| P8 | n/a | n/a | 94.9 | 612.17 | 11.82 | 27.84 | |||
| P9 | 223.8 | 625.45 | 45.13 | 106.28 | 145.5 | 637.68 | 13.97 | 32.9 | |
| Publisher’s Note: MDPI stays neutral with regard to jurisdictional claims in published maps and institutional affiliations. | 
© 2021 by the authors. Licensee MDPI, Basel, Switzerland. This article is an open access article distributed under the terms and conditions of the Creative Commons Attribution (CC BY) license (https://creativecommons.org/licenses/by/4.0/).
Share and Cite
Pavić, I.; Šoda, J.; Gašparić, V.; Ivanda, M. Raman and Photoluminescence Spectroscopy with a Variable Spectral Resolution. Sensors 2021, 21, 7951. https://doi.org/10.3390/s21237951
Pavić I, Šoda J, Gašparić V, Ivanda M. Raman and Photoluminescence Spectroscopy with a Variable Spectral Resolution. Sensors. 2021; 21(23):7951. https://doi.org/10.3390/s21237951
Chicago/Turabian StylePavić, Ivan, Joško Šoda, Vlatko Gašparić, and Mile Ivanda. 2021. "Raman and Photoluminescence Spectroscopy with a Variable Spectral Resolution" Sensors 21, no. 23: 7951. https://doi.org/10.3390/s21237951
APA StylePavić, I., Šoda, J., Gašparić, V., & Ivanda, M. (2021). Raman and Photoluminescence Spectroscopy with a Variable Spectral Resolution. Sensors, 21(23), 7951. https://doi.org/10.3390/s21237951
 
         
                                                

 
       