One-Dimensional Systemic Modeling of Thermal Sensors Based on Miniature Bead-Type Thermistors
Abstract
1. Introduction
- the steady-state methods, such as the guarded hot plate and the heated thermocouple methods.
- the self-heating mode [10], in which the sensitive element serves as both a heat source and a temperature sensor. The basic principle of this mode of operation is that the less heat conducting the surrounding materials to be characterized, the greater the self-heating of the sensor element. Thus, the average temperature of the sensor and the electrical power it dissipates are, in most situations, the basic informative signals considered in electro-thermal methods used for thermal characterization.
2. Materials and Circuits
2.1. Glycerol
2.2. NTC Bead-Type Thermistor
2.2.1. Composition—Electrical Properties
- Radiative heat losses at the external surface of the NTC: These losses can be estimated using Stefan–Boltzmann’s law: . Under the working conditions presented above, and considering a maximal emissivity , we obtain mW. Therefore, it is justified to neglect in front of . Under the typical working conditions described in this work, it can be assumed that radiation losses have a negligible influence on the thermal characterization of materials using a miniature bead-type thermistor.
- Thermal losses at the electrical contacts between the thermistor and the control circuit: It is difficult to precisely estimate these heat losses because they are closely linked to the nature of the experimental system implemented: electrical insulation of the connecting wires (using a varnish or silicone) and length L of the connecting wires; use of metal or plastic mounting probe.Under the operating conditions described above, and for varnish insulated copper wires, with a diameter mm and a length of cm, immersed in pure glycerol at rest, a finite element modeling has led to heat losses typically in the order of 3 mW.Therefore, heat losses via the electrical connections are considerable and can in no way be neglected in the modeling of the thermistor.
- Convective losses when the material to characterize is a fluid: Convective losses always lead to an additional heat extraction from the sensor and are at the origin of an overestimation in the measurement of the conductivity of the fluid to be characterized. Therefore, it is essential to limit these convective losses if we want to correctly estimate the thermal conductivity of the fluid to be characterized. This requirement dictated the choice of glycerol as a test liquid for 1D systemic modeling of NTCs. The thermal power evacuated from the thermistor to the fluid can be evaluated in the presence of natural convection, from the Churchill correlation [33], which gives the following Nusselt number expression, valid for natural convection around a sphere:where is the Prandtl number of the fluid, and is the Rayleigh number for the bead-type thermistor, with: the acceleration of gravity; the kinematic viscosity of the fluid ; its thermal diffusivity ; and its volumetric expansion coefficient . Note that, in the absence of natural convection (), the Nusselt number takes the limiting value , which corresponds to pure thermal conduction through the liquid at rest. Typical values (at ) of water physical properties are collected in Table 1. Typical values of glycerol properties at 20 can be found for example in [34].Using the values of Table 1 for , we find in the case of glycerol that , which remains close to the value obtained in the absence of natural convection, and , which is negligible compared to . It can be concluded that it is acceptable, for temperature variations near room temperature, to neglect the contribution of natural convection around the NTC in the case of immersion in glycerol.In contrast, in the case of NTC immersion in water, considering a temperature difference (thermistor heating is less here than in the case of glycerol) near room temperature, we find that , which is quite different from the values obtained in the absence of natural convection, and , which can no longer be ignored.
- Poor thermal contacts: There are two main sources of poor thermal contact here: the thermal contacts between the active core of the NTC and its protective sheath and between the sheath and the surrounding medium to be characterized. If the latter is a fluid (which is the case in the present study), we can assume that the corresponding sheath/fluid thermal contact resistance is negligible. In contrast, the contact resistance between the sheath and the core is potentially significant, unknown and a priori different from one sensor to another and will be taken into account in the 1D systemic modeling proposed in this study.
2.2.2. Heat Transfer through NTC and Surrounding Medium
2.2.3. Mathematical Modeling
- (f) is an inert (non-biological) material at rest, with no heat source term. In this case, its temperature also obeys a diffuse heat transfer equation, with spherical symmetry:
- (f) is a biological material, which obeys a differential equation of the Penne type (bioheat transfer equation), for example [37,38]:where and are the metabolic and the perfusion heat source terms, respectively. The perfusion term describes the heat transfer between the medium (f) (biological tissues) and blood (b) flowing through the veins and arteries, with a volumetric mass flow (kg·ms) and blood specific heat .The initial condition to be considered for the partial differential Equation (8) or (9) is . The boundary condition to consider at depends on the thermal characterization apparatus that is used. We suppose here that the medium to characterize is in perfect thermal contact at with a thermostat at the temperature :While both situations (8) and (9) can be studied in the same way with the systemic modeling presented in this work, it is the (8) case that will be presented here in detail, both from a numerical and an experimental point of view.Finally, a perfect thermal contact is assumed between the thermistor sheath and the medium to be characterized (fluid at ), the following continuity relationships must then be satisfied at all times:
2.3. Electronic Circuit
- Since the temperature variations due to self-heating are generally of small amplitude (a few Kelvins at most), it is necessary to use an analog-to-digital converter (ADC) with a resolution of at least 14 bits. Moreover, as thermal phenomena are generally relatively slow (with time constants typically in the order of a few tenths of a second or more), a sampling period of around 10 ms or more is, therefore, sufficient in most cases. A digital-to-analog converter (DAC) with a resolution of 12 bits or better can be used to provide the excitation signal for transient methods. If the sensing element is to be excited in current rather than voltage, a voltage-to-current converter (of the Howland source type) can be used instead of the non-inverting amplifier shown in Figure 4.
- The inputs ADC0 and ADC1 must have a sufficiently large input impedance (typically, . In the case of USB-2537: ) to not load the circuit. If necessary, a high impedance buffer (voltage follower) can be used to isolate the control circuit from the influence of the ADC.
- The operational amplifiers (OA) used in circuit Figure 4 must operate in the linear regime. If the self-heating of the sensor requires an electric current with an intensity mA, then, the use of an operational amplifier capable of delivering high currents should be considered. This could be the case, for example, with low-resistance platinum wires, whose value is close to . In this case, a typical average electrical power mW requires about 100 mA electrical excitation current.To make the set-up as versatile as possible, a power OA of type L272 (delivering currents up to 1 A without significant harmonic distortion) was systematically used.
- The working (or baseline) temperature must be precisely regulated, usually by means of a temperature controlled bath. The variations of the working temperature must be negligible in front of the maximal temporal variations of the sensor core temperature , due to self-heating. An accuracy of is sufficient in most cases.
3. 1D Systemic Modeling
3.1. General Approach
3.2. NTC Bead-Type 1D Systemic Modeling
3.2.1. Ideal NTC Bead-Type 1D Systemic Modeling
3.2.2. Realistic NTC Bead-Type 1D Systemic Modeling
4. Results
4.1. Presentation
- the model does not require the knowledge of the active core thermal conductivity because the core temperature is assumed to be uniform ();
- the values of and shown in Table 3 are compatible with usual epoxy values; and
- the value of the shell external radius was determined using a caliper. The NTC being a prolate spheroid, an average value was considered.
4.2. Glycerol Thermal Characterization
4.2.1. Immersion Length Tests
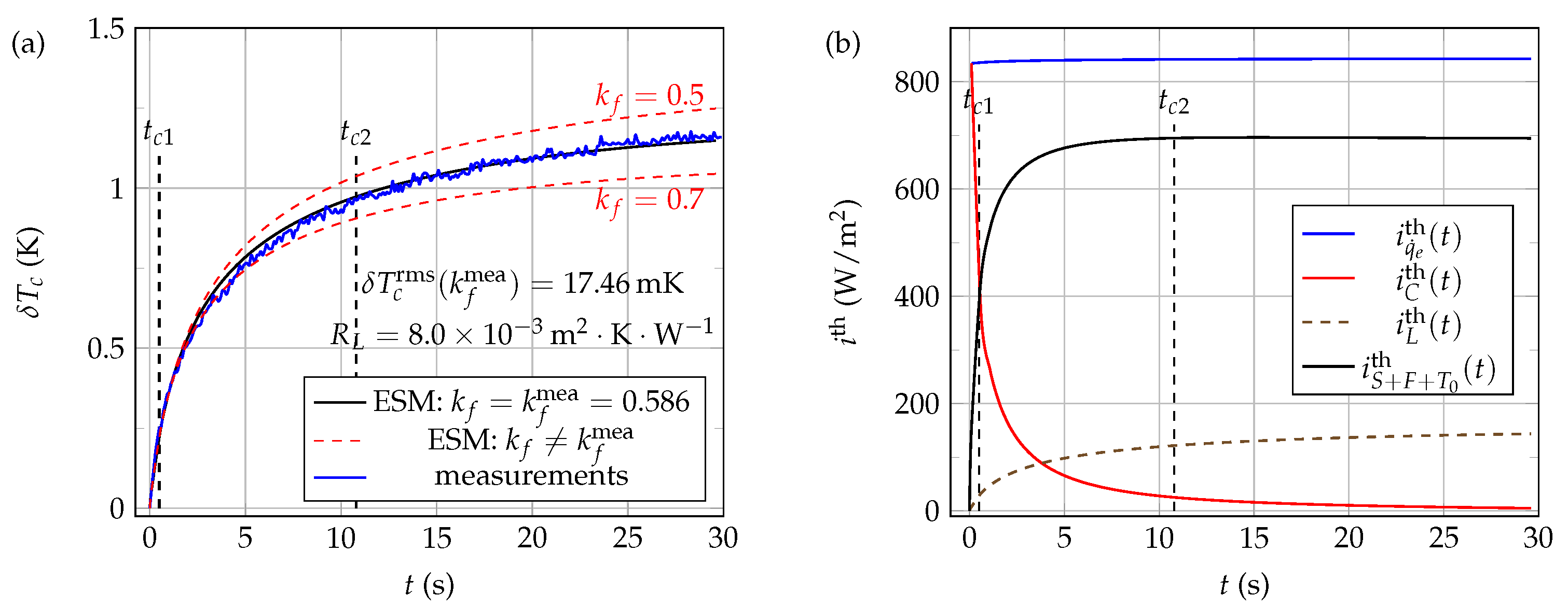
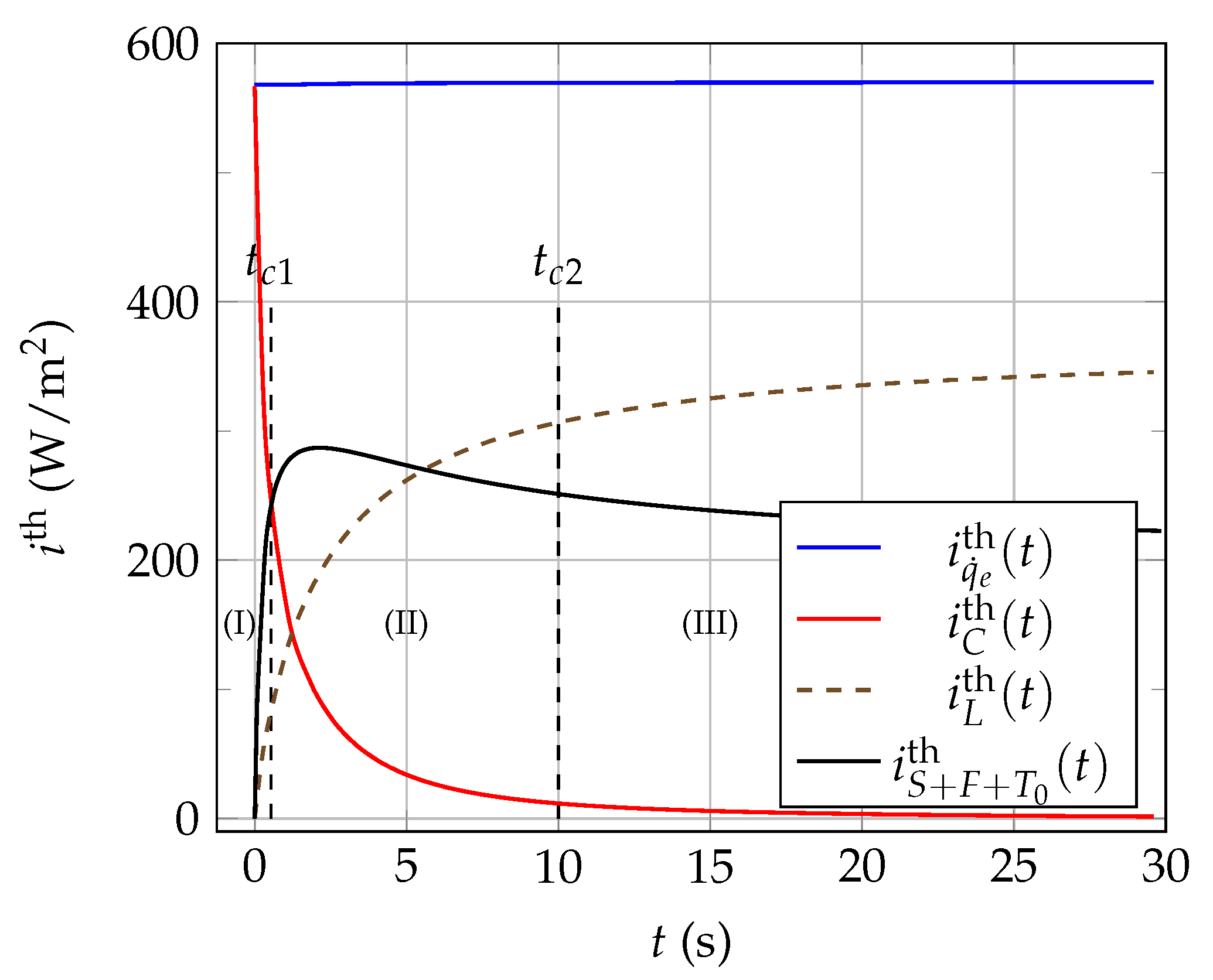
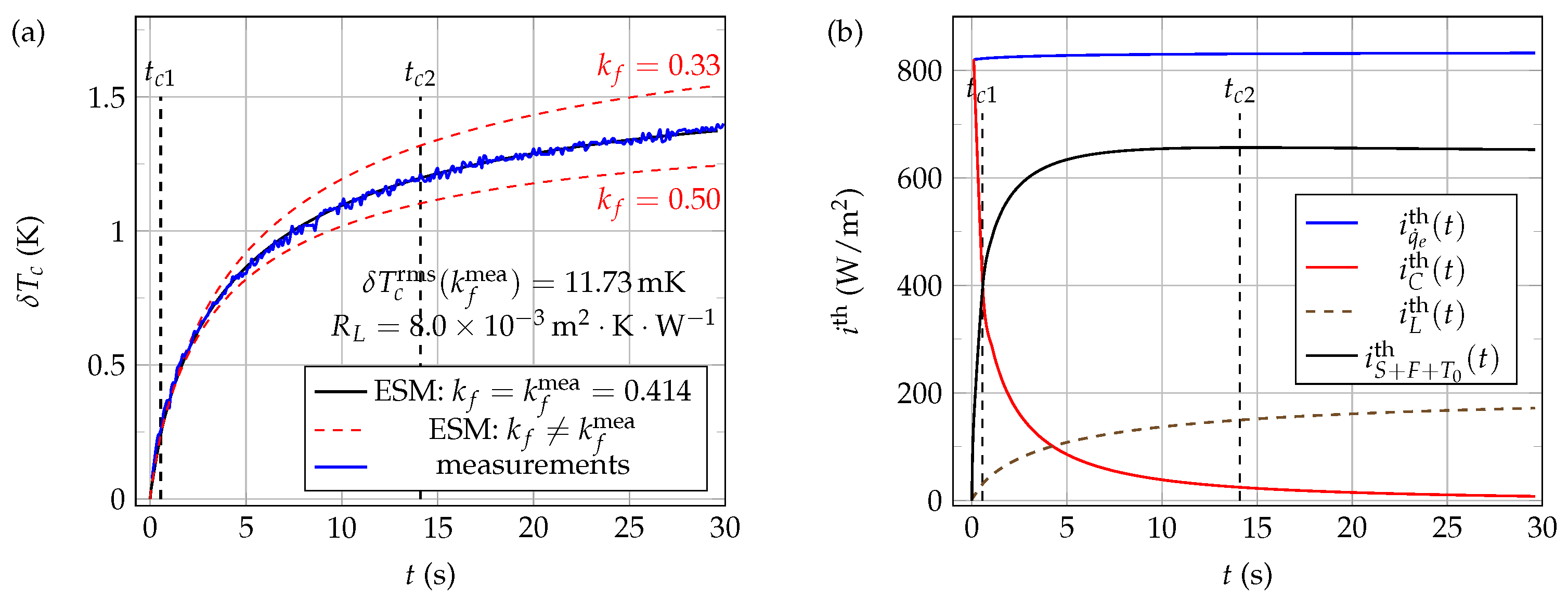
4.2.2. Thermal Power Balance and Characteristics Times
- when , time domain (I): only the thermal current density is significant, and the thermal power supplied by the electrical control circuit mainly serves here to raise the temperature of the NTC active core. This time domain cannot be used to characterize the fluid surrounding the NTC because the evolution of between 0 and is mainly influenced here by the physical properties of the active core and not by the physical properties of the surrounding fluid to be characterized, that is not yet probed by the thermal waves emitted by the NTC. In addition, we can see in Figure 15a that the curves giving the experimental temporal evolution of coincide with and this, whatever the value of and, thus, of . This observation confirms that the evolution of over the interval mainly reflects the physical properties of the thermistor active core only.
- When , time domain (II): in the case of Figure 16, the three thermal current densities , , and have comparable values; therefore, the thermal characterization of the surrounding fluid using the time evolution of the core temperature will be influenced by both the properties of the core, of the insulating shell and by the thermal losses via the connecting wires. Given these various influences, the usual transient methods of thermal characterization (which do not use systemic modeling) based on bead-type NTCs should avoid the use of domain (II) data.
- When , time domain (III): in this case, the thermal current density has become negligible in front of and , and it can be supposed that the properties of the core are then without any significant influence on the temporal evolution of its temperature . Consequently, it is this time domain that should be used preferably for thermal characterization of materials by using bead-type NTCs self-heating methods. However, since thermal losses and the insulating sheath still have an influence on the temporal evolution of in the (III) domain, thermal characterization methods that do not use systemic modeling must imperatively resort to a prior calibration of the measuremen device by using several reference fluids, such as glycerol, ethanol, water–glycerol mixtures, and gelled water (using agar-agar, for example).Note that, in this work, the characteristic time has been calculated using the following relation: , where .
4.2.3. Constant Voltage Excitation Signal Processing
4.3. Liquids Thermal Conductivity Measurements
4.3.1. Electro-Thermal Systemic Modeling (ESM) Method
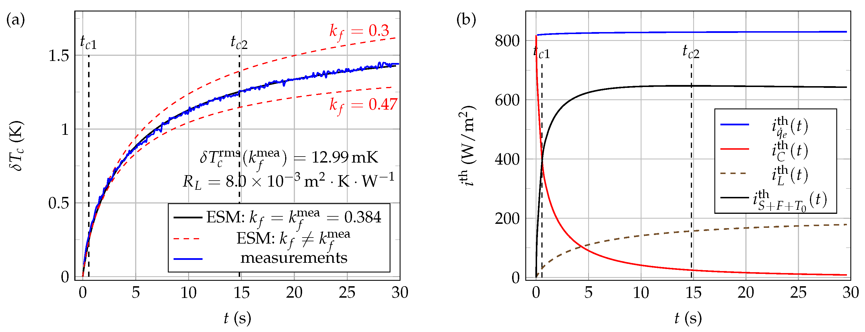
- Determination of the model parameters values , , , , , , and from the thermal characterization of pure glycerol at rest, when mm (see Section 4.2).
- Voltage step excitation of the NTC (using the circuit of Figure 4) precisely immersed at mm in the liquid to characterize, at constant working temperature, . The experimental time variations of the NTC core temperature were extracted from the and voltages, recorded using a data acquisition board (see Section 2.3).
- Determination of the measured thermal conductivity value by minimization of , given by Equation (21), as a function of the thermal conductivity value used in the systemic model. The values of the fluid density and its specific heat are supposed known.
4.3.2. Pure Water Liquid (100W0G)
4.3.3. Glycerol–Water Mixtures 50W50G and 40W60G
Glycerol–Water Mixture 40W60G
Glycerol–Water Mixture 50W50G
4.3.4. Synthesis
5. Concluding Remarks and Perspectives
Funding
Institutional Review Board Statement
Informed Consent Statement
Data Availability Statement
Acknowledgments
Conflicts of Interest
Abbreviations
| HVAC | Heating, Ventilation, and Air Conditioning |
| SPICE | Simulation Program with Integrated Circuit Emphasis |
| THW | Transient Hot Wire |
| THS | Transient Hot Strip |
| TPS | Transient Plane Source |
| NTC | Negative Temperature Coefficient |
| HMW | Hot Metal Wire |
| HMF | Hot Metal Film |
| RTD | Resistance Temperature Detector |
| ODE | Ordinary Differential Equation |
| PDE | Partial Differential Equation |
| ESM | Electro-thermal Systemic Modeling |
| ADC | Analog to Digital Converter |
| DAC | Digital to Analog Converter |
| OA | Operational Amplifier |
| BC | Boundary Condition |
| CTHT | Constant Temperature Heating Technique |
References
- Liu, X.; Zhang, Y.; Wang, Y.; Zhu, W.; Li, G.; Ma, X.; Zhang, Y.; Chen, S.; Tiwari, S.; Shi, K.; et al. Comprehensive understanding of magnetic hyperthermia for improving antitumor therapeutic efficacy. Theranostics 2020, 10, 3793–3815. [Google Scholar] [CrossRef]
- Yi, N.; Park, B.K.; Kim, D.; Park, J. Micro-droplet detection and characterization using thermal responses. Lab Chip 2011, 11, 2378–2384. [Google Scholar] [CrossRef] [PubMed][Green Version]
- Yi, P.; Awang, R.A.; Rowe, W.S.T.; Kalantar-zadeh, K.; Khoshmanesh, K. PDMS Nanocomposites for Heat Transfer Enhancement in Microfluidic Platforms. Lab Chip 2014, 14, 3419–3426. [Google Scholar] [CrossRef]
- Choi, S.R.; Kim, D. Real-time thermal characterization of 12 nl fluid samples in a microchannel. Rev. Sci. Instrum. 2008, 79, 064901. [Google Scholar] [CrossRef] [PubMed]
- Liang, X.M.; Ding, W.; Chen, H.; Shu, Z.; Zhao, G.; Zhang, H.F.; Gao, D. Microfabricated thermal conductivity sensor: A high resolution tool for quantitative thermal property measurement of biomaterials and solutions. Biomed. Microdevices 2011, 13, 923–928. [Google Scholar] [CrossRef]
- Valvano, J.W.; Cochran, J.R.; Diller, K.R. Thermal Conductivity and Diffusivity of Biomaterials Measured with Self-Heated Thermistors. Int. J. Thermophys. 1985, 6, 301–311. [Google Scholar] [CrossRef]
- Liu, K.C. Thermal propagation analysis for living tissue with surface heating. Int. J. Therm. Sci. 2008, 47, 507–513. [Google Scholar] [CrossRef]
- Paul, G.; Chopkar, M.; Manna, I.; Das, P. Techniques for measuring the thermal conductivity of nanofluids: A review. Renew. Sustain. Energy Rev. 2010, 14, 1913–1924. [Google Scholar] [CrossRef]
- Liang, X.; Sekar, P.; Gao, D. Chapter Micro-sensors for Determination of Thermal Conductivity of Biomaterials and Solutions. In Handbook of Thermal Science and Engineering; Springer: Cham, Switzerland, 2017. [Google Scholar]
- Kulacki, F.A. Handbook of Thermal Science and Engineering; Springer: Cham, Switzerland, 2018. [Google Scholar]
- Kharalkar, N.M.; Hayes, L.J.; Valvano, J.W. Pulse-power integrated-decay technique for the measurement of thermal conductivity. Meas. Sci. Technol. 2008, 19, 1–10. [Google Scholar] [CrossRef]
- Balasubramaniam, T.A.; Bowman, H.F. Temperature field due to a time dependent heat source of spherical geometry in an infinite medium. J. Heat Transf. 1974, 93, 296–299. [Google Scholar] [CrossRef]
- Valvano, J.W.; Allen, J.T.; Bowman, M.F. The Simultaneous Measurement of Thermal Conductivity, Thermal Diffusivity, and Perfusion in Small Volumes of Tissue. J. Biomech. Eng. 1984, 106, 192–197. [Google Scholar] [CrossRef] [PubMed]
- Bruun, H. Hot-Wire Anemometry, Principles, and Signal Analysis; Oxford University Press: New York, NY, USA, 1995. [Google Scholar]
- Cahill, D. Thermal conductivity measurement from 30 to 750 K: The 3ω method. Rev. Sci. Instrum. 1990, 61, 802–808. [Google Scholar] [CrossRef]
- Heyd, R.; Hadaoui, A.; Fliyou, M.; Koumina, A.; Ameziane, L.E.; Outzourhit, A.; Saboungi, M. Development of absolute hot-wire anemometry by the 3ω method. Rev. Sci. Instrum. 2010, 81, 044901. [Google Scholar] [CrossRef] [PubMed]
- Heyd, R. Real-time heat conduction in a self-heated composite slab by Padé filters. Int. J. Heat Mass Transf. 2014, 71, 606–614. [Google Scholar] [CrossRef]
- Ziegler, G.R.; Rizvi, S.S.H. Thermal Conductivity of Liquid Foods by the Thermal Comparator Method. J. Food Sci. 1985, 50, 1458–1462. [Google Scholar] [CrossRef]
- Zhang, H.; He, L.; Cheng, S.; Zhai, Z.; Gao, D. A dual-thermistor probe for absolute measurement of thermal diffusivity and thermal conductivity by the heat pulse method. Meas. Sci. Technol. 2003, 14, 1396–1401. [Google Scholar] [CrossRef]
- Yi, M.; Panchawagh, H.V.; Podhajsky, R.J.; Mahajan, R.L. Micromachined hot-wire thermal conductivity probe for biomedical applications. IEEE Trans. Biomed. Eng. 2009, 56, 2477–2484. [Google Scholar] [CrossRef] [PubMed]
- Nagel, L. SPICE: A Computer Program to Simulate Semiconductor Circuits Memo No. UCB/ERL M520; Technical Report; University of California: Berkeley, CA, USA, 1975. [Google Scholar]
- Heyd, R.; Hadaoui, A.; Saboungi, M.L. 1D analog behavioral SPICE model for hot wire sensors in the continuum regime. Sens. Actuators A Phys. 2012, 174, 9–15. [Google Scholar] [CrossRef]
- Swart, N.R.; Nathan, A. Flow-rate microsensor modelling and optimization using SPICE. Sens. Actuator A Phys. 1992, 34, 109–122. [Google Scholar] [CrossRef]
- Chou, B.C.S.; Chen, Y.M.; Ou-Yang, M.; Shie, J.S. A sensitive Pirani vacuum sensor and the electrothermal SPICE modelling. Sens. Actuator A Phys. 1996, 53, 273–277. [Google Scholar] [CrossRef]
- Keskin, A. A simple analog behavioural model for NTC thermistors including selfheating effect. Sens. Actuator A Phys. 2005, 118, 244–247. [Google Scholar] [CrossRef]
- Ben-Yaakov, S.; Peretz, M.; Hesterman, B. A SPICE compatible Behavioral Electrical Model of a Heated Tungsten Filament. In Proceedings of the Applied Power Electronics Conference and Exposition, Austin, TX, USA, 6–10 March 2005. [Google Scholar]
- Zueco, J.; Alhama, F. Simultaneous inverse determination of temperature-dependent thermophysical properties in fluids using the network simulation method. Int. J. Heat Mass Transf. 2007, 50, 3234–3243. [Google Scholar] [CrossRef]
- Guo, W.; Prenat, G.; Javerliac, V.; Baraji, M.E.; de Mestier, N.; Baraduc, C.; Dieny, B. SPICE modelling of magnetic tunnel junctions written by spin-transfer torque. J. Phys. D Appl. Phys. 2010, 43, 215001. [Google Scholar] [CrossRef]
- Zueco, J.; Bég, O.A. Network numerical analysis of hydromagnetic squeeze film flow dynamics between two parallel rotating disks with induced magnetic field effects. Tribol. Int. 2010, 43, 532–543. [Google Scholar] [CrossRef]
- Heyd, R. Chapter Resistive Electrothermal Sensors, Mechanism of Operation and Modelling. In Heat Transfer Studies and Applications; IntechOpen: London, UK, 2015; pp. 367–396. [Google Scholar]
- Steinhart, J.; Hart, S. Calibration curves for thermistors. Deep Sea Res. 1968, 15, 497–503. [Google Scholar] [CrossRef]
- Fraden, J. Handbook of Modern Sensors, Physics, Designs, and Applications, 4th ed.; Springer: Berlin/Heidelberg, Germany, 2010. [Google Scholar]
- Churchill, S.W. Chapter Free Convection around Immersed Bodies. In Heat Exchanger Design Handbook; Section 2.5.7; Hemisphere: New York, NY, USA, 1983. [Google Scholar]
- Kreith, F.; Manglik, R.M.; Bohn, M.S. Principles of Heat Transfer; Global Engineering: Stamford, CT, USA, 2011. [Google Scholar]
- International Association for the Properties of Water and Steam, IAPWS G5-01(2020). Available online: http://www.iapws.org/index.html (accessed on 16 September 2021).
- Carslaw, H.; Jaeger, J.C. Conduction of Heat in Solids; Oxford University Press: Oxford, UK, 1959. [Google Scholar]
- Arkin, H.; Xu, L.X.; Holmes, K.R. Recent Developments in Modeling Heat Transfer in Blood Perfused Tissues. IEEE Trans. Biomed. Eng. 1994, 41, 97–106. [Google Scholar] [CrossRef] [PubMed]
- Bergman, T.L.; Lavine, A.S.; Incropera, F.P.; Dewitt, D.P. Fundamentals of Heat and Mass Transfer, 7th ed.; John Wiley & Sons: Hoboken, NJ, USA, 2011. [Google Scholar]
- Sharifpur, M.; Tshimanga, N.; Meyer, J.; Manca, O. Experimental investigation and model development for thermal conductivity of α-Al2O3-glycerol nanofluids. Int. Commun. Heat Mass Transf. 2017, 85, 12–22. [Google Scholar] [CrossRef]
- Bell, I.H.; Wronski, J.; Quoilin, S.; Lemort, V. Pure and Pseudo-pure Fluid Thermophysical Property Evaluation and the Open-Source Thermophysical Property Library CoolProp. Ind. Eng. Chem. Res. 2014, 53, 2498–2508. [Google Scholar] [CrossRef]





















| Water (20 ) | ||||||
| Water (24 ) |
| Thermal | Electro-Thermal |
|---|---|
| Liquid | (%) | (%) | ||||
|---|---|---|---|---|---|---|
| Water (100W0G) | ||||||
| 50W50G | ||||||
| 40W60G |
Publisher’s Note: MDPI stays neutral with regard to jurisdictional claims in published maps and institutional affiliations. |
© 2021 by the author. Licensee MDPI, Basel, Switzerland. This article is an open access article distributed under the terms and conditions of the Creative Commons Attribution (CC BY) license (https://creativecommons.org/licenses/by/4.0/).
Share and Cite
Heyd, R. One-Dimensional Systemic Modeling of Thermal Sensors Based on Miniature Bead-Type Thermistors. Sensors 2021, 21, 7866. https://doi.org/10.3390/s21237866
Heyd R. One-Dimensional Systemic Modeling of Thermal Sensors Based on Miniature Bead-Type Thermistors. Sensors. 2021; 21(23):7866. https://doi.org/10.3390/s21237866
Chicago/Turabian StyleHeyd, Rodolphe. 2021. "One-Dimensional Systemic Modeling of Thermal Sensors Based on Miniature Bead-Type Thermistors" Sensors 21, no. 23: 7866. https://doi.org/10.3390/s21237866
APA StyleHeyd, R. (2021). One-Dimensional Systemic Modeling of Thermal Sensors Based on Miniature Bead-Type Thermistors. Sensors, 21(23), 7866. https://doi.org/10.3390/s21237866
