Field Decorrelation and Isolation Improvement in an MIMO Antenna Using an All-Dielectric Device Based on Transformation Electromagnetics
Abstract
:1. Introduction
2. Design Methodology
3. Proposed Design Details
3.1. Radiating Elements
3.2. Dielectric Wave Tilting Structure (DWTS)
3.3. Realistic Design of the DWTS
3.4. Complete Antenna System
4. Simulation and Measurement Results
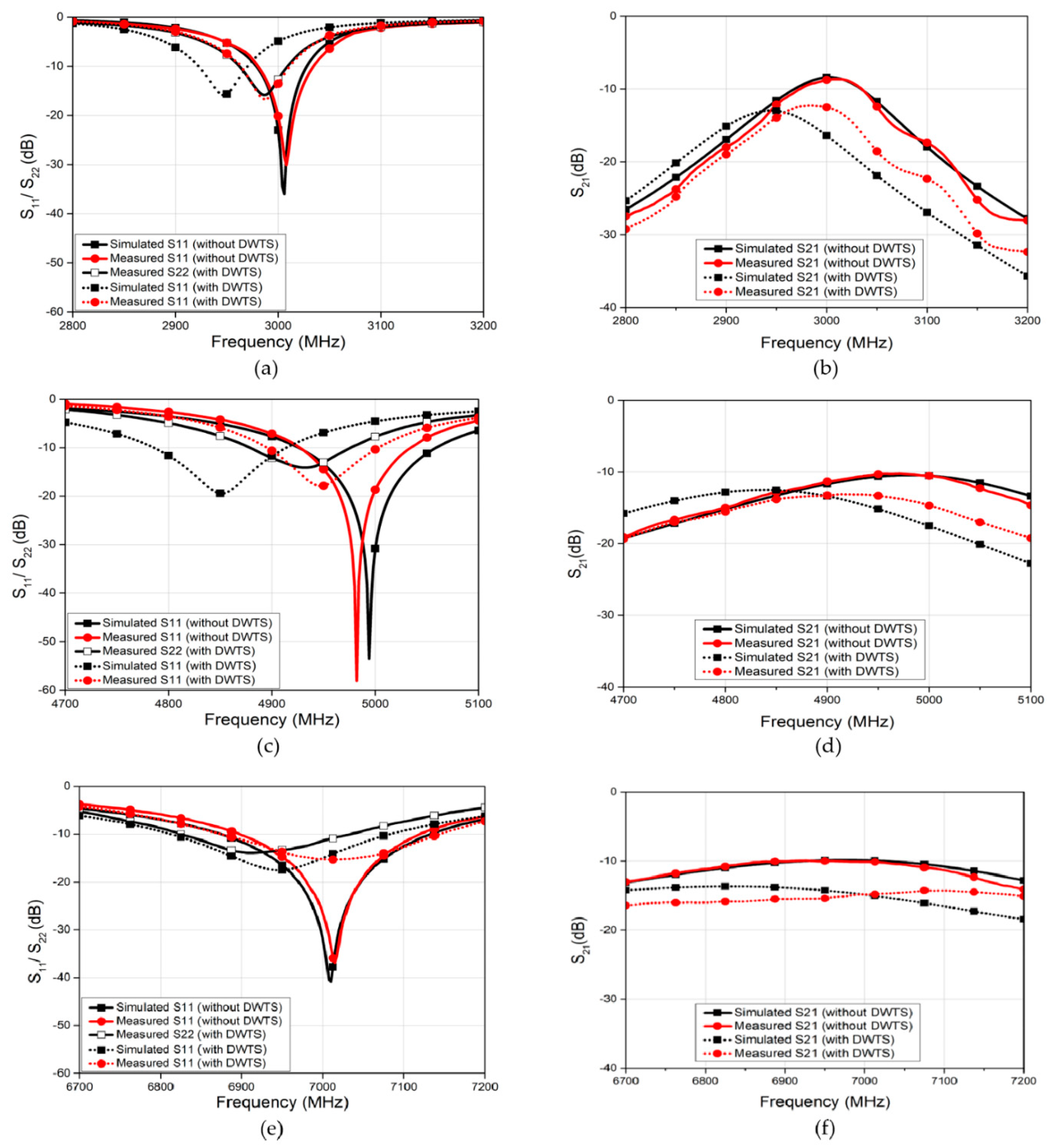
4.1. S-Parameters and Radiation Patterns
4.2. Correlation Coefficient and Other MIMO Parameters
5. Conclusions
Author Contributions
Funding
Institutional Review Board Statement
Informed Consent Statement
Data Availability Statement
Acknowledgments
Conflicts of Interest
References
- Paulraj, A.J.; Gore, D.A.; Nabar, R.U.; Bölcskei, H. An overview of MIMO communications-A key to gigabit wireless. Proc. IEEE 2004, 92, 198–217. [Google Scholar] [CrossRef] [Green Version]
- Costa, J.R.; Lima, E.B.; Medeiros, C.R.; Fernandes, C.A. Evaluation of a new wideband slot array for MIMO performance enhancement in indoor WLANs. IEEE Trans. Antennas Propag. 2011, 59, 1200–1206. [Google Scholar] [CrossRef]
- Vaughan, R.G.; Andersen, J.B. Antenna diversity in mobile communications. IEEE Trans. Veh. Technol. 1987, 36, 149–172. [Google Scholar] [CrossRef]
- Blanch, S.; Romeu, J.; Corbella, I. Exact representation of antenna system diversity performance from input parameter description. Electron. Lett. 2003, 39, 705–707. [Google Scholar] [CrossRef] [Green Version]
- Alibakhshikenari, M.; Virdee, B.S.; Shukla, P.; See, C.H.; Abd-Alhameed, R.; Khalily, M.; Falcone, F.; Limiti, E. Antenna Mutual Coupling Suppression Over Wideband Using Embedded Periphery Slot for Antenna Arrays. Electronics 2018, 7, 198. [Google Scholar] [CrossRef] [Green Version]
- Yon, H.; Rahman, N.H.A.; Aris, M.A.; Jamaluddin, M.H.; Kong Cheh Lin, I.; Jumaat, H.; Mohd Redzwan, F.N.; Yamada, Y. Development of C-Shaped Parasitic MIMO Antennas for Mutual Coupling Reduction. Electronics 2021, 10, 2431. [Google Scholar] [CrossRef]
- Khan, A.; Geng, S.; Zhao, X.; Shah, Z.; Jan, M.U.; Abdelbaky, M.A. Design of MIMO Antenna with an Enhanced Isolation Technique. Electronics 2020, 9, 1217. [Google Scholar] [CrossRef]
- Elwi, T.A. A miniaturized folded antenna array for MIMO applications. Wirel. Pers. Commun. 2018, 98, 1871–1883. [Google Scholar] [CrossRef]
- Al-Dulaimi, Z.; Elwi, T.A.; Atilla, D.C. Design of a Meander Line Monopole Antenna Array Based Hilbert-Shaped Reject Band Structure for MIMO Applications. IETE J. Res. 2020, 66, 1–10. [Google Scholar] [CrossRef]
- Sharawi, M.S. Current Misuses and Future Prospects for Printed Multiple-Input, Multiple-Output Antenna Systems [Wireless Corner]. IEEE Antennas Propag. Mag. 2017, 59, 162–170. [Google Scholar] [CrossRef]
- Mikki, S.M.; Antar, Y.M.M. On cross correlation in antenna arrays with applications to spatial diversity and MIMO systems. IEEE Trans. Antennas Propag. 2015, 63, 1798–1810. [Google Scholar] [CrossRef]
- Hassan, T.; Khan, M.U.; Attia, H.; Sharawi, M.S. An FSS Based Correlation Reduction Technique for MIMO Antennas. IEEE Trans. Antennas Propag. 2018, 66, 4900–4905. [Google Scholar] [CrossRef]
- Qureshi, U.; Khan, M.U.; Hassan, T.; Sharawi, M.S.; Burokur, S.N.; Mittra, R. Field decorrelation in a MIMO antenna using transformation electromagnetics. In Proceedings of the 2020 International Workshop on Antenna Technology (iWAT), Bucharest, Romania, 25–28 February 2020. [Google Scholar] [CrossRef]
- Pendry, J.B.; Schurig, D.; Smith, D.R. Controlling electromagnetic fields. Science 2006, 312, 1780–1782. [Google Scholar] [CrossRef] [Green Version]
- Schurig, D.; Pendry, J.B.; Smith, D.R. Calculation of material properties and ray tracing in transformation media. Opt. Express 2006, 14, 9794. [Google Scholar] [CrossRef] [PubMed]
- Rahm, M.; Roberts, D.A.; Pendry, J.B.; Smith, D.R. Transformation-optical design of adaptive beam bends and beam expanders. Opt. Express 2008, 16, 11555. [Google Scholar] [CrossRef]
- Kwon, D.H.; Werner, D.H. Transformation electromagnetics: An overview of the theory and applications. IEEE Antennas Propag. Mag. 2010, 52, 24–46. [Google Scholar] [CrossRef]
- Hu, J.; Zhou, X.; Hu, G. Design method for electromagnetic cloak with arbitrary shapes based on Laplace’s equation: Erratum. Opt. Express 2009, 17, 13070. [Google Scholar] [CrossRef]
- Ma, H.F.; Cui, T.J. Three-dimensional broadband and broad-angle transformation-optics lens. Nat. Commun. 2010, 1, 124. [Google Scholar] [CrossRef] [PubMed] [Green Version]
- Tang, W.; Argyropoulos, C.; Kallos, E.; Song, W.; Hao, Y. Discrete coordinate transformation for designing all-dielectric flat antennas. IEEE Trans. Antennas Propag. 2010, 58, 3795–3804. [Google Scholar] [CrossRef] [Green Version]
- Yi, J.; Burokur, S.N.; de Lustrac, A. Conceptual design of a beam steering lens through transformation electromagnetics. Opt. Express 2015, 23, 12942. [Google Scholar] [CrossRef]
- Yi, J.; Burokur, S.N.; Piau, G.P.; de Lustrac, A. Coherent beam control with an all-dielectric transformation optics based lens. Sci. Rep. 2016, 6, 18819. [Google Scholar] [CrossRef] [PubMed] [Green Version]
- Yi, J.; Burokur, S.N.; Piau, G.P.; de Lustrac, A. 3D printed broadband transformation optics based all-dielectric microwave lenses. J. Opt. 2016, 18, 044010. [Google Scholar] [CrossRef]
- Smith, D.R.; Schultz, S.; Markoš, P.; Soukoulis, C.M. Determination of effective permittivity and permeability of metamaterials from reflection and transmission coefficients. Phys. Rev. B-Condens. Matter Mater. Phys. 2002, 65, 195104. [Google Scholar] [CrossRef] [Green Version]
- Ratni, B.; Yi, J.; Ding, X.; de Lustrac, A.; Zhang, K.; Piau, G.-P.; Burokur, S.N. Gradient phase partially reflecting surfaces for beam steering in microwave antennas. Opt. Express 2018, 26, 6724. [Google Scholar] [CrossRef]
- Das, G.; Sharma, A.; Gangwar, R.K.; Sharawi, M.S. Performance improvement of multiband MIMO dielectric resonator antenna system with a partially reflecting surface. IEEE Antennas Wirel. Propag. Lett. 2019, 18, 2105–2109. [Google Scholar] [CrossRef]
- Das, G.; Sahu, N.K.; Sharma, A.; Gangwar, R.K.; Sharawi, M.S. FSS-Based Spatially Decoupled Back-to-Back Four-Port MIMO DRA with Multidirectional Pattern Diversity. IEEE Antennas Wirel. Propag. Lett. 2019, 18, 1552–1556. [Google Scholar] [CrossRef]
- Hassan, T.; Khan, M.U.; Shoaib, N.; Hussain, R.; Sharawi, M.S. Correlation Reduction in a 4-Element MIMO Antenna using Partially Reflective Surface. In Proceedings of the 13th European Conference on Antennas and Propagation (EuCAP), Krakow, Poland, 31 March–5 April 2019; pp. 2019–2022. [Google Scholar]
- Qi, H.; Liu, L.; Yin, X.; Zhao, H.; Kulesza, W.J. Mutual Coupling Suppression Between Two Closely Spaced Microstrip Antennas with an Asymmetrical Coplanar Strip Wall. IEEE Antennas Wirel. Propag. Lett. 2016, 15, 191–194. [Google Scholar] [CrossRef]
- Wei, K.; Li, J.; Wang, L.; Xing, Z.; Xu, R. Mutual Coupling Reduction by Novel Fractal Defected Ground Structure Bandgap Filter. IEEE Trans. Antennas Propag. 2016, 64, 4328–4335. [Google Scholar] [CrossRef]
- Cheng, Y.; Ding, X.; Shao, W.; Wang, B. Reduction of Mutual Coupling Between Patch Antennas Using a Polarization-Conversion Isolator. IEEE Antennas Wirel. Propag. Lett. 2017, 16, 1257–1260. [Google Scholar] [CrossRef]













| Ref. | Radiating Element/Ports | Edge to Edge Spacing | Beam Tilt Angle | Isolation | Reduction in Correlation |
|---|---|---|---|---|---|
| [12] | Patch/2 | 0.13λ | 51° | Degrade | 95% |
| [26] | DRA/6 | 0.31λ | 45° | Improve | 42.3% |
| [27] | DRA/4 | 0.24λ | 35° | Improve | 43.2% |
| [28] | Patch/4 | 0.23λ | 27° | Degrade | 65% |
| [29] | Patch/2 | 0.03λ | 35° | Improve | Not given |
| [30] | Patch/2 | 0.15λ | 0° | Improve | Inaccurate |
| [31] | Patch/2 | 0.17λ | 0° | Improve | Not given |
| This work | Patch/2 | 0.06λ | 44° | Improve | 62% to 99% |
| at 3 GHz | |||||
| 0.1λ | 67° | 37% to 97% | |||
| at 5 GHz | |||||
| 0.1λ | 76° | 57% to 95% | |||
| at 7 GHz |
Publisher’s Note: MDPI stays neutral with regard to jurisdictional claims in published maps and institutional affiliations. |
© 2021 by the authors. Licensee MDPI, Basel, Switzerland. This article is an open access article distributed under the terms and conditions of the Creative Commons Attribution (CC BY) license (https://creativecommons.org/licenses/by/4.0/).
Share and Cite
Qureshi, U.; Khan, M.U.; Sharawi, M.S.; Burokur, S.N.; Mittra, R. Field Decorrelation and Isolation Improvement in an MIMO Antenna Using an All-Dielectric Device Based on Transformation Electromagnetics. Sensors 2021, 21, 7577. https://doi.org/10.3390/s21227577
Qureshi U, Khan MU, Sharawi MS, Burokur SN, Mittra R. Field Decorrelation and Isolation Improvement in an MIMO Antenna Using an All-Dielectric Device Based on Transformation Electromagnetics. Sensors. 2021; 21(22):7577. https://doi.org/10.3390/s21227577
Chicago/Turabian StyleQureshi, Usman, Muhammad Umar Khan, Mohammad S. Sharawi, Shah Nawaz Burokur, and Raj Mittra. 2021. "Field Decorrelation and Isolation Improvement in an MIMO Antenna Using an All-Dielectric Device Based on Transformation Electromagnetics" Sensors 21, no. 22: 7577. https://doi.org/10.3390/s21227577
APA StyleQureshi, U., Khan, M. U., Sharawi, M. S., Burokur, S. N., & Mittra, R. (2021). Field Decorrelation and Isolation Improvement in an MIMO Antenna Using an All-Dielectric Device Based on Transformation Electromagnetics. Sensors, 21(22), 7577. https://doi.org/10.3390/s21227577

