Algorithm for Evaluating Energy Detection Spectrum Sensing Performance of Cognitive Radio MIMO-OFDM Systems
Abstract
:1. Introduction
- The presentation of the mathematical model which defines the ED process based on the SLC method in MIMO-OFDM systems.
- The development of a novel algorithm for simulating the ED process impacted by the different operating parameters in CRNs based on the MIMO-OFDM transmission.
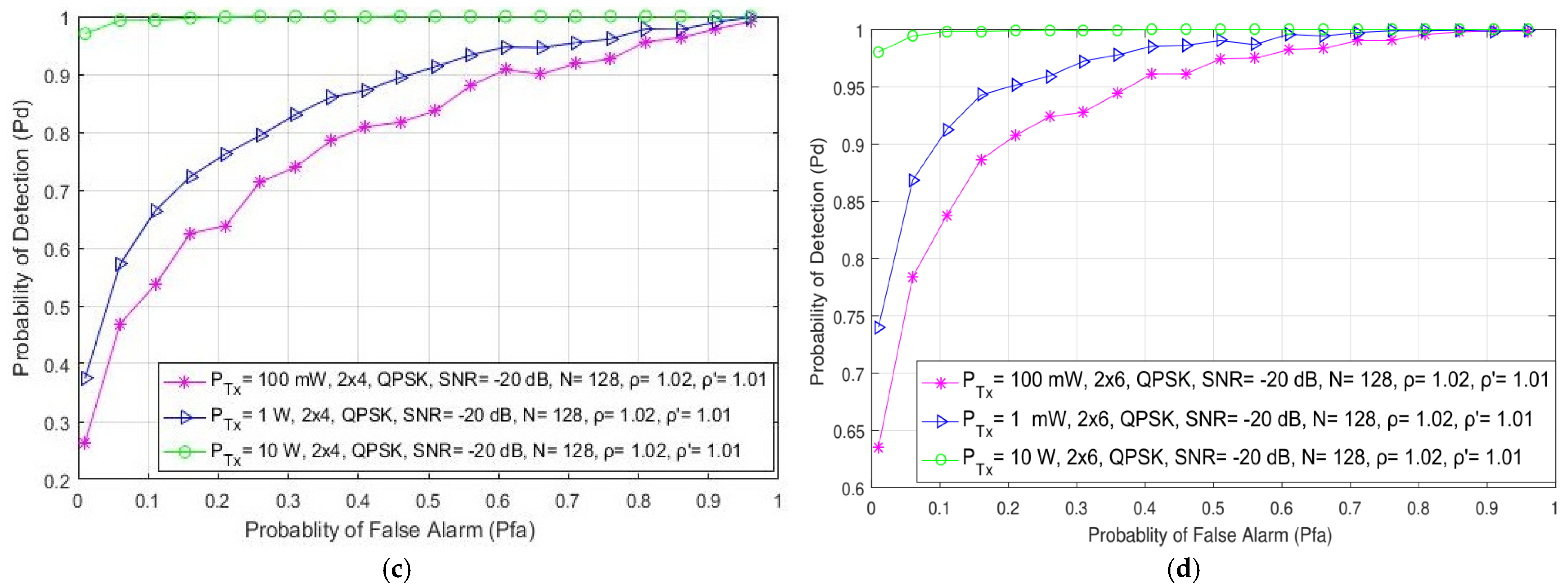
- The presentation of the simulation results indicating the impact of false alarm probability on detection probability for the different operating parameters, such as the SNRs, the number of samples, the Tx powers of the PU, the modulation types and the SISO, symmetric and asymmetric MIMO transmissions with different Tx and Rx antenna combinations.
2. Literature Review
3. System Model and Formulation of ED Process
3.1. Model of the Analyzed System
3.2. Process of Energy Detection
3.3. False Alarm and Detection Probabilities
4. Algorithm for Simulating Energy Detection Process
| Algorithm 1. The pseudocode of the proposed ED process. |
| 1: INPUT: mimo_ofdm_received_signal_M× r, number of samples (N), SNR_loop, DT factor (), NU factor (ρ), noise variance (, range ofand number of Monte Carlo simulations (kk) 2: OUTPUT: Probability of detection ( 3: ON INITIALIZED Received MIMO-OFDM signal (mimo_ofdm_received_signal_M×r) do: Step 1: Simulation of interdependence between the detection probability () and false alarm probability () 4: set kk = number of Monte Carlo simulations 5: set= probability of false alarm in interval [0,1] 6: FOR p = 1:length () 7: i1= 0; 8: FOR i = 1:10,000; Step 2: Modeling the impact of NU on the received signal 9: Noise uncertiaity (> 1.00) = sqrt(). * randn (1, framelen); 10: received_signal_M× r = mimo_ofdm_received_signal_M×r + Noise uncertaiity; Step 3: Calculation of energy of received signal based on SLC method 11: REPEATE FOR r = 1:R 12: energy_calc_r = abs(received_signal_M×r).^2; 13: END Step 4:Test statistic calculation (based on (7)) 14: FOR r = 1:R 15: test_stat = sum(energy_calc_r); 16: END Step 5: Threshold evaluation 17: thresh (p) = ((qfuncinv((p)). * ρ./sqrt(N))+ ρ)./; Step 6: Decision making process (based on (8), (9)) 18: IF (test_stat >= thresh (p)); 19: i1 = i1 + 1; 20: END 21: END Step 7: Monte Carlo simulation-determining(based on (15)) 22: (p) = i1/kk; 23: END 24: UNTIL = [0,1] |
4.1. Algorithm for Simulating the ED Process in MIMO-OFDM Systems
4.2. Relevance of the Simulation Algorithm
5. Simulation Results
5.1. Simulation Software and Parameters
5.2. Impact of the SNR on the ED Probability
5.3. Impact of Tx Power on ED Probability
5.4. Impact of Number of Samples on ED Probability
5.5. Impact of Modulation Type on the ED Probability
5.6. Impact of Symmetric and Asymmetric MIMO Transmission on ED Probability
6. Conclusions
Author Contributions
Funding
Institutional Review Board Statement
Informed Consent Statement
Data Availability Statement
Conflicts of Interest
Abbreviations
| AWGN | Additive white Gaussian noise |
| CR | Cognitive radio |
| CRN | Cognitive radio networks |
| CSI | Channel state information |
| CSS | Cooperative spectrum sensing |
| DSA | Dynamic spectrum access |
| DT | Dynamic threshold |
| ED | Energy detection |
| EGC | Equal gain combining |
| IoT | Internet of Things |
| ISI | Inter-symbol interference |
| MIMO | Multiple-input multiple-output |
| MISO | Multiple-input single-output |
| NU | Noise uncertainty |
| OFDM | Orthogonal frequency division multiplexing |
| Probability density function | |
| PU | Primary user |
| RF | Radio frequency |
| ROC | Receiver operating characteristic |
| SISO | Single-input single-output |
| SL | Square law |
| SLC | Square-law combining |
| SNR | Signal-to-noise ratio |
| SS | Spectrum sensing |
| STBC | Space–time block codes |
| SU | Secondary users |
References
- Mahmoud, H.A.; Yucek, T.; Arslan, H. OFDM for Cognitive Radio: Merits and Challenges. IEEE Wirel. Commun. 2009, 16, 6–15. [Google Scholar] [CrossRef]
- Pan, G.; Li, J.; Lin, F.A. Cognitive Radio Spectrum Sensing Method for an OFDM Signal Based on Deep Learning and Cycle Spectrum. Int. J. Digit. Multimedia Broadcast. 2020, 2020, 5069021. [Google Scholar] [CrossRef]
- Xiao, Y.; Hu, F. Cognitive Radio Networks, 1st ed.; Auerbach Publications: Boca Raton, FL, USA, 2008; pp. 3–37. [Google Scholar]
- Rwodzi, J. Energy-Detection Based Spectrum Sensing for Cognitive Radio on a Real-Time SDR Platform. Master’s Thesis, University of Cape Town, Cape Town, South Africa, 2016. [Google Scholar]
- Eduardo, A.F.; Caballero, R.G.G. Experimental Evaluation of Performance for Spectrum Sensing: Matched Filter vs Energy Detector. In Proceedings of the IEEE Colombian Conference on Communication and Computing, Popayán, Colombia, 13–15 May 2015; pp. 1–6. [Google Scholar]
- Arar, A.M.; Masri, A.M.; Ghannam, H.O.; Tumar, I.K. A Proposed Scheme for Dynamic Threshold Versus Noise Uncertainty in Cognitive Radio Networks (DTNU). Wirel. Pers. Commun. 2017, 96, 4543–4555. [Google Scholar] [CrossRef]
- Thuo, N. An Adaptive Threshold Energy Detection Technique with Noise Variance Estimation for Cognitive Radio Sensor Networks. Master’s Thesis, University of Cape Town, Cape Town, South Africa, 2015. [Google Scholar]
- Singh, J.; Garg, R.; Aulakh, I.K. Effect of OFDM in Cognitive Radio: Advantages & Issues. In Proceedings of the 2016 Second International Conference on Computational Intelligence & Communication Technology (CICT), Ghaziabad, India, 12–13 February 2016; pp. 554–558. [Google Scholar]
- Cho, Y.S.; Kim, J.; Yang, W.Y.; Kang, C.G. MIMO-OFDM Wireless Communications with Matlab; John Wiley & Sons: Singapore, 2010; pp. 294–307. [Google Scholar]
- Rodes, L.; Kaushik, A.; Sharma, S.K.; Chatzinotas, S.; Jondral, F. Square-Law Selector and Square-Law Combiner for Cognitive Radio Systems: An Experimental Study. In Proceedings of the 2016 IEEE 84th Vehicular Technology Conference (VTC-Fall), Montréal, QC, Canada, 18–21 September 2016; pp. 1–5. [Google Scholar]
- Santumon, S.D.; Sujatha, B.R. Space-Time Block Coding (STBC) for Wireless Networks. Inter. Jour. Distrib. Parallel Syst. 2021, 3, 183–195. [Google Scholar] [CrossRef]
- Huang, D.; Hou, M.; Lu, W. Subcarrier Allocation Based Cooperative Spectrum Sharing with Wireless Energy Harvesting in OFDM Relaying Networks. Sensors 2019, 19, 2663. [Google Scholar] [CrossRef] [PubMed] [Green Version]
- Dang, W.; Tao, M.; Mu, H.; Huang, J. Subcarrier-Pair Based Resource Allocation for Cooperative Multi-Relay OFDM Systems. IEEE Trans. Wirel. Commun. 2010, 9, 1640–1649. [Google Scholar] [CrossRef]
- Nandhakumar, P.; Kumar, A. Analysis of OFDM System with Energy Detection Spectrum Sensing. Indian J. Sci. Technol. 2016, 9, 1–6. [Google Scholar] [CrossRef] [Green Version]
- Chen, Z.; Luan, T.; Zhang, X.-D. Sensing Orthogonal Frequency Division Multiplexing Systems for Cognitive Radio with Cyclic Prefix and Pilot Tones. IET Commun. 2012, 6, 97–106. [Google Scholar] [CrossRef]
- Stuber, G.; Barry, J.; McLaughlin, S.; Li, Y.; Ingram, M.; Pratt, T. Broadband MIMO-OFDM Wireless Communications. IEEE 2004, 92, 271–294. [Google Scholar] [CrossRef] [Green Version]
- Hwang, T.; Yang, C.; Wu, G.; Li, S.; Li, G.Y. OFDM and Its Wireless Applications: A Survey. IEEE Trans. Veh. Technol. 2009, 58, 1673–1694. [Google Scholar] [CrossRef]
- Gupta, A.; Jha, R.K. A Survey of 5G Network: Architecture and Emerging Technologies. IEEE Access 2015, 3, 1206–1232. [Google Scholar] [CrossRef]
- Kuppusamy, V.; Mahapatra, R. Primary User Detection in OFDM based MIMO Cognitive Radio. In Proceedings of the 2008 3rd International Conference on Cognitive Radio Oriented Wireless Networks and Communications (CrownCom 2008), Singapore, 15–17 May 2008; pp. 1–5. [Google Scholar]
- Ustok, R.F. Spectrum Sensing Techniques for Cognitive Radio Systems with Multiple Antennas. Master’s Thesis, Graduate School of Engineering and Sciences of Izmir Institute of Technology, Izmir, Turkey, 2009. [Google Scholar]
- Lorincz, J.; Ramljak, I.; Begušić, D. A Survey on the Energy Detection of OFDM Signals with Dynamic Threshold Adaptation: Open Issues and Future Challenges. Sensors 2021, 21, 1–41. [Google Scholar] [CrossRef] [PubMed]
- Delcambre, C. Spectrum Sensing Methods and their Performance. In Handbook of Cognitive Radio, 1st ed.; Springer Nature: Singapore, 2018; pp. 163–185. [Google Scholar]
- Ranjeeth, M. Cooperative Spectrum Sensing with Square Law Combining Diversity Reception. In Proceedings of the 2015 3rd International Conference on Signal Processing, Communication and Networking (ICSCN), Chennai, India, 26–28 March 2015; pp. 1–6. [Google Scholar]
- Digham, F.; Alouini, M.-S.; Simon, M. On the Energy Detection of Unknown Signals over Fading Channels. IEEE Trans. Comm. 2007, 55, 3575–3579. [Google Scholar] [CrossRef]
- Braga, A.J.; De Souza, R.A.A.; Da Costa, J.P.C.L.; Carreno, J.D.P. Continuous Spectrum Sensing and Transmission in MIMO Cognitive Radio Network. In Proceedings of the 2014 IEEE Latin-America Conference on Communications (LATINCOM), Cartagena, Colombia, 5–7 November 2014; pp. 1–5. [Google Scholar]
- Al-Hmood, H. Performance Analysis of Energy Detector over Different Generalised Wireless Channels Based Spectrum Sensing in Cognitive Radio. Ph.D. Thesis, Brunel University, London, UK, 2015. [Google Scholar]
- Ma, W.; Wu, M.Q.; Liu, N.; Wang, M.L. User Sensing Based on MIMO Cognitive Radio Sensor Networks. In Proceedings of the 2009 2nd IEEE International Conference on Computer Science and Information Technology, Beijing, China, 8–11 August 2009; pp. 205–208. [Google Scholar]
- Salout, N.; Awin, F.A.; Alqawasmeh, A.F.; Abdel-Raheem, E. Hierarchical cluster-based cooperative spectrum sensing in cognitive radio employing soft-hard combination. In Proceedings of the 2017 IEEE 30th Canadian Conference on Electrical and Computer Engineering (CCECE), Windsor, ON, Canada, 30 April–3 May 2017; pp. 1–4. [Google Scholar]
- Zhang, J.; Liu, L.; Liu, M.; Yi, Y.; Yang, Q.; Gong, F. MIMO Spectrum Sensing for Cognitive Radio-Based Internet of Things. IEEE Internet Things J. 2020, 7, 8874–8885. [Google Scholar] [CrossRef]
- Lorincz, J.; Begusic, D.; Ramljak, I. Misdetection Probability Analyses of OFDM Signals in Energy Detection Cognitive Radio Systems. In Proceedings of the 2018 26th International Conference on Software, Telecommunications and Computer Networks (SoftCOM), Split, Croatia, 13–15 September 2018; pp. 13–15. [Google Scholar]
- Lorincz, J.; Ramljak, I.; Begušić, D. A Review of the Noise Uncertainty Impact on Energy Detection with Different OFDM System De-Signs. Comput. Commun. 2019, 148, 185–207. [Google Scholar] [CrossRef]
- Atapattu, S.; Tellambura, C.; Jiang, H. Energy Detection for Spectrum Sensing in Cognitive Radio; Springer International Publishing AG: New York, NY, USA; Heidelberg, Germany; Dordrecht, The Netherlands; London, UK, 2014; pp. 11–38. [Google Scholar]












| Index | Description |
|---|---|
| The hypothesis that determines the presence of the PU signal | |
| The hypothesis that determines the absence of the PU signal | |
| m | Number of PU Tx branches (antennas) |
| r | Number of SU Rx branches (antennas) |
| M | Total number of transmit antennas at the PU |
| R | Total number of receiving antennas at the SU |
| N | Total number of samples used in the detection process |
| Transmit (Tx) power allocated through the m-th antenna element of the PU | |
| P | Total instantaneous Tx power of the PU transmitted over the M Tx branches |
| The complex signal transmitted over the m-th Tx antenna of the PU | |
| The overall complex signal transmitted by the PU from the M Tx branches | |
| The received signal at the r-th Rx branch (antenna) of the SU during the n-th SS period | |
| The overall signal received at the R Rx branches (antennas) of the SU during the n-th SS period | |
| Channel gain between the M Tx antennas and the r-th Rx branch (complex vector of size ) during the n-th SS period | |
| Signal vector received during the n-th sample at the r-th Tx branch (antenna) | |
| Complex noise vector at the r-th Rx branch (antenna) of the SU in the n-th SS period | |
| Nose variance of the signal detected at the r-th Rx antenna of the SU in the n-th SS period | |
| Total SNR associated with the M Rx antenna branches in the moment of the n-th SS period | |
| Average SNR detected at the location of the SU device for all R Rx antenna branches in the n-th SS period | |
| Test statistics of the signals received over the r-th Rx branch (antennas) at the SU | |
| Total test statistics of the signals received over the R Rx branches (antennas) at the SU | |
| Variance operation | |
| Expectation operation | |
| False alarm probability | |
| Detection probability | |
| Gaussian-Q function | |
| Detection threshold | |
| ρ | NU factor |
| DT factor |
| Parameters | Type/Quantity |
|---|---|
| Transmission type of the PU signal | OFDM |
| Number of transmitted antennas | 1–5 |
| Number of received antennas | 1–6 |
| Type of OFDM (constellation) | QPSK, 16 QAM, 64 QAM |
| Analyzed channel noise model | AWGN |
| Number of samples (FFT size) | 128, 256, 512, 1024 |
| The SNRs value at the location of the SU (dB) | −20, −15 and −10 dB |
| The detection and false alarm probability ranges | 0–1 |
| Number of Monte Carlo iterations/simulations | 10,000 |
| NU factor DT factor | 1.02 1.01 |
| Server Number | CPU Type | RAM (GB) | CPU Frequency (GHz) |
|---|---|---|---|
| Server 1 | Intel(R) Core(TM)—i7 4771 | 8.00 | 3.5 |
| Server 2 | Intel(R) Core(TM)—i5 6200 | 4.00 | 2.4 |
| Server 3 | Intel(R) Core(TM)—i5 6200 | 8.00 | 2.4 |
Publisher’s Note: MDPI stays neutral with regard to jurisdictional claims in published maps and institutional affiliations. |
© 2021 by the authors. Licensee MDPI, Basel, Switzerland. This article is an open access article distributed under the terms and conditions of the Creative Commons Attribution (CC BY) license (https://creativecommons.org/licenses/by/4.0/).
Share and Cite
Lorincz, J.; Ramljak, I.; Begusic, D. Algorithm for Evaluating Energy Detection Spectrum Sensing Performance of Cognitive Radio MIMO-OFDM Systems. Sensors 2021, 21, 6881. https://doi.org/10.3390/s21206881
Lorincz J, Ramljak I, Begusic D. Algorithm for Evaluating Energy Detection Spectrum Sensing Performance of Cognitive Radio MIMO-OFDM Systems. Sensors. 2021; 21(20):6881. https://doi.org/10.3390/s21206881
Chicago/Turabian StyleLorincz, Josip, Ivana Ramljak, and Dinko Begusic. 2021. "Algorithm for Evaluating Energy Detection Spectrum Sensing Performance of Cognitive Radio MIMO-OFDM Systems" Sensors 21, no. 20: 6881. https://doi.org/10.3390/s21206881
APA StyleLorincz, J., Ramljak, I., & Begusic, D. (2021). Algorithm for Evaluating Energy Detection Spectrum Sensing Performance of Cognitive Radio MIMO-OFDM Systems. Sensors, 21(20), 6881. https://doi.org/10.3390/s21206881

