Design and Implementation of Symmetric Legged Robot for Highly Dynamic Jumping and Impact Mitigation
Abstract
:1. Introduction
- (1)
- High force production and impact mitigation are crucial for highly dynamic jumping. It was found that the symmetric leg structure is better for landing impact mitigation. In the jumping and landing process, the symmetric leg requires lower joint torque and resists a moderate joint torque impact.
- (2)
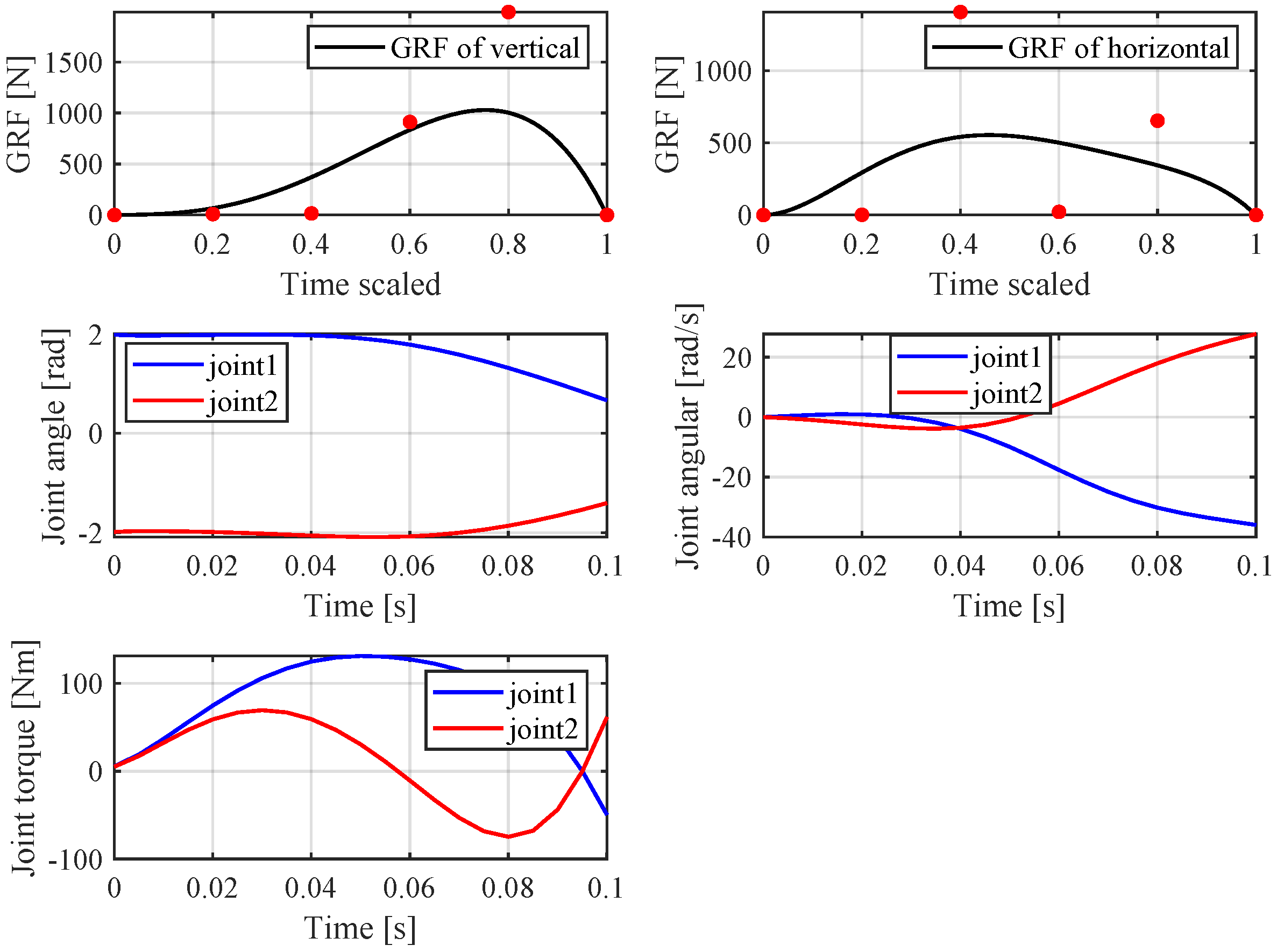
- For jumping and landing locomotion, nonlinear dynamic optimization was carried out with consideration of the dynamic constraints and peak impact force to determine the jumping GRF and landing stiffness for high jumping and impact mitigation.
2. Leg Design
2.1. Leg Topology
2.2. Actuator Design
3. Nonlinear Optimization for High Jump and Impact Mitigation
3.1. Model and Analysis
3.2. Nonlinear Optimization
4. Simulation and Experiments
4.1. Simulation
4.2. Experiments and Discussion
5. Conclusions
Author Contributions
Funding
Conflicts of Interest
Appendix A
References
- Kuindersma, S.; Deits, R.; Fallon, M.; Valenzuela, A.; Dai, H.; Permenter, F.; Koolen, T.; Marion, P.; Tedrake, R. Optimization-based locomotion planning, estimation, and control design for the atlas humanoid robot. Auton. Robot. 2016, 40, 429–455. [Google Scholar] [CrossRef]
- Li, Q.; Meng, F.; Yu, Z.; Chen, X.; Huang, Q. Dynamic Torso Compliance Control for Standing and Walking Balance of Position-Controlled Humanoid Robots. IEEE/ASME Trans. Mechatronics 2021, 26, 679–688. [Google Scholar] [CrossRef]
- Raibert, M.; Blankespoor, K.; Nelson, G.; Playter, R. Bigdog, the rough-terrain quadruped robot. IFAC Proc. Vol. 2008, 41, 10822–10825. [Google Scholar] [CrossRef] [Green Version]
- Hutter, M.; Gehring, C.; Jud, D.; Lauber, A.; Bellicoso, C.D.; Tsounis, V.; Hwangbo, J.; Bodie, K.; Fankhauser, P.; Bloesch, M.; et al. Anymal-a highly mobile and dynamic quadrupedal robot. In Proceedings of the 2016 IEEE/RSJ International Conference on Intelligent Robots and Systems (IROS), Daejeon, Korea, 9–14 October 2016; pp. 38–44. [Google Scholar]
- Park, H.W.; Wensing, P.M.; Kim, S. High-speed bounding with the MIT Cheetah 2: Control design and experiments. Int. J. Robot. Res. 2017, 36, 167–192. [Google Scholar] [CrossRef]
- Yang, C.; Yuan, K.; Zhu, Q.; Yu, W.; Li, Z. Multi-expert learning of adaptive legged locomotion. Sci. Robot. 2020, 5. [Google Scholar] [CrossRef] [PubMed]
- Semini, C.; Barasuol, V.; Boaventura, T.; Frigerio, M.; Focchi, M.; Caldwell, D.G.; Buchli, J. Towards versatile legged robots through active impedance control. Int. J. Robot. Res. 2015, 34, 1003–1020. [Google Scholar] [CrossRef]
- Chen, T.; Sun, X.; Xu, Z.; Li, Y.; Rong, X.; Zhou, L. A trot and flying trot control method for quadruped robot based on optimal foot force distribution. J. Bionic Eng. 2019, 16, 621–632. [Google Scholar] [CrossRef]
- Kenneally, G.; De, A.; Koditschek, D.E. Design principles for a family of direct-drive legged robots. IEEE Robot. Autom. Lett. 2016, 1, 900–907. [Google Scholar] [CrossRef] [Green Version]
- Kau, N.; Schultz, A.; Ferrante, N.; Slade, P. Stanford doggo: An open-source, quasi-direct-drive quadruped. In Proceedings of the 2019 International Conference on Robotics and Automation (ICRA), Montreal, QC, Canada, 20–24 May 2019; pp. 6309–6315. [Google Scholar]
- Kalouche, S. GOAT: A legged robot with 3D agility and virtual compliance. In Proceedings of the 2017 IEEE/RSJ International Conference on Intelligent Robots and Systems (IROS), Vancouver, BC, Canada, 24–28 September 2017; pp. 4110–4117. [Google Scholar]
- Haldane, D.W.; Plecnik, M.M.; Yim, J.K.; Fearing, R.S. Robotic vertical jumping agility via series-elastic power modulation. Sci. Robot. 2016, 1. [Google Scholar] [CrossRef] [PubMed] [Green Version]
- Raibert, M.H.; Brown, H.B., Jr.; Chepponis, M. Experiments in balance with a 3D one-legged hopping machine. Int. J. Robot. Res. 1984, 3, 75–92. [Google Scholar] [CrossRef]
- Bledt, G.; Powell, M.J.; Katz, B.; Di Carlo, J.; Wensing, P.M.; Kim, S. MIT Cheetah 3: Design and control of a robust, dynamic quadruped robot. In Proceedings of the 2018 IEEE/RSJ International Conference on Intelligent Robots and Systems (IROS), Madrid, Spain, 1–5 October 2018; pp. 2245–2252. [Google Scholar]
- Hyun, D.J.; Seok, S.; Lee, J.; Kim, S. High speed trot-running: Implementation of a hierarchical controller using proprioceptive impedance control on the MIT Cheetah. Int. J. Robot. Res. 2014, 33, 1417–1445. [Google Scholar] [CrossRef]
- Arm, P.; Zenkl, R.; Barton, P.; Beglinger, L.; Dietsche, A.; Ferrazzini, L.; Hampp, E.; Hinder, J.; Huber, C.; Schaufelberger, D.; et al. Spacebok: A dynamic legged robot for space exploration. In Proceedings of the 2019 International Conference on Robotics and Automation (ICRA), Montreal, QC, Canada, 20–24 May 2019; pp. 6288–6294. [Google Scholar]
- Kang, R.; Meng, F.; Chen, X.; Yu, Z.; Fan, X.; Ming, A.; Huang, Q. Structural design and crawling pattern generator of a planar quadruped robot for high-payload locomotion. Sensors 2020, 20, 6543. [Google Scholar] [CrossRef] [PubMed]
- Hubicki, C.; Grimes, J.; Jones, M.; Renjewski, D.; Spröwitz, A.; Abate, A.; Hurst, J. ATRIAS: Design and validation of a tether-free 3D-capable spring-mass bipedal robot. Int. J. Robot. Res. 2016, 35, 1497–1521. [Google Scholar] [CrossRef]
- Blackman, D.J.; Nicholson, J.V.; Ordonez, C.; Miller, B.D.; Clark, J.E. Gait development on minitaur, a direct drive quadrupedal robot. In Unmanned Systems Technology XVIII; International Society for Optics and Photonics: Baltimore, MD, USA, 2016; Volume 9837, p. 98370I. [Google Scholar]
- Ding, Y.; Park, H.W. Design and experimental implementation of a quasi-direct-drive leg for optimized jumping. In Proceedings of the 2017 IEEE/RSJ International Conference on Intelligent Robots and Systems (IROS), Vancouver, BC, Canada, 24–28 September 2017; pp. 300–305. [Google Scholar]
- Hutter, M.; Gehring, C.; Bloesch, M.; Hoepflinger, M.A.; Remy, C.D.; Siegwart, R. StarlETH: A compliant quadrupedal robot for fast, efficient, and versatile locomotion. In Proceedings of the 15th International Conference on Climbing and Walking Robot (CLAWAR 2012), Baltimore, MD, USA, 23–26 July 2012; pp. 483–490. [Google Scholar]
- Thorson, I.; Caldwell, D. A nonlinear series elastic actuator for highly dynamic motions. In Proceedings of the 2011 IEEE/RSJ International Conference on Intelligent Robots and Systems, San Francisco, CA, USA, 25–30 September 2011; pp. 390–394. [Google Scholar]
- Lee, Y.H.; Lee, Y.H.; Lee, H.; Phan, L.T.; Kang, H.; Kim, Y.B.; Choi, H.R. Development of torque controllable leg for running robot, AiDIN-IV. In Proceedings of the 2017 IEEE/RSJ International Conference on Intelligent Robots and Systems (IROS), Vancouver, BC, Canada, 24–28 September 2017; pp. 4125–4130. [Google Scholar]
- Kazama, E.; Sato, R.; Miyamoto, I.; Ming, A. Development of a small quadruped robot with bi-articular muscle-tendon complex. In Proceedings of the IEEE International Conference on Robotics and Biomimetics, Zhuhai, China, 6–9 December 2015; pp. 1059–1064. [Google Scholar]
- Wang, L.; Meng, F.; Liu, H.; Fan, X.; Sato, R.; Ming, A.; Huang, Q. Design and implementation of jumping robot with multi-springs based on the coupling of polyarticular. In Proceedings of the 2018 IEEE International Conference on Robotics and Biomimetics (ROBIO), Kuala Lumpur, Malaysia, 12–15 December 2018; pp. 287–292. [Google Scholar]
- Hiasa, S.; Sato, R.; Kurokawa, K.; Wang, L.; Liu, H.; Meng, F.; Ming, A. A Legged Robot With Thigh Bi-Articular Muscle-Tendon Complex. IEEE Access 2021, 9, 62285–62297. [Google Scholar] [CrossRef]
- Tian, D.; Gao, J.; Liu, C.; Shi, X. Simulation of Upward Jump Control for One-Legged Robot Based on QP Optimization. Sensors 2021, 21, 1893. [Google Scholar] [CrossRef] [PubMed]
- Ding, Y.; Li, C.; Park, H.W. Single leg dynamic motion planning with mixed-integer convex optimization. In Proceedings of the 2018 IEEE/RSJ International Conference on Intelligent Robots and Systems (IROS), Madrid, Spain, 1–5 October 2018; pp. 1–6. [Google Scholar]
- Seok, S.; Wang, A.; Otten, D.; Kim, S. Actuator design for high force proprioceptive control in fast legged locomotion. In Proceedings of the 2012 IEEE/RSJ International Conference on Intelligent Robots and Systems, Algarve, Portugal, 7–12 October 2012; pp. 1970–1975. [Google Scholar]
- Li, C.; Ding, Y.; Park, H.W. Centroidal-momentum-based trajectory generation for legged locomotion. Mechatronics 2020, 68, 102364. [Google Scholar] [CrossRef]
- Farouki, R.T.; Rajan, V. Algorithms for polynomials in Bernstein form. Comput. Aided Geom. Des. 1988, 5, 1–26. [Google Scholar] [CrossRef]
- Wensing, P.M.; Wang, A.; Seok, S.; Otten, D.; Lang, J.; Kim, S. Proprioceptive actuator design in the MIT Cheetah: Impact mitigation and high-bandwidth physical interaction for dynamic legged robots. IEEE Trans. Robot. 2017, 33, 509–522. [Google Scholar] [CrossRef]
- Blickhan, R. The spring-mass model for running and hopping. J. Biomech. 1989, 22, 1217–1227. [Google Scholar] [CrossRef]
- Feeney, D.; Stanhope, S.J.; Kaminski, T.W.; Machi, A.; Jaric, S. Loaded vertical jumping: Force–velocity relationship, work, and power. J. Appl. Biomech. 2016, 32, 120–127. [Google Scholar] [CrossRef] [PubMed]
- Meghdari, A.; Aryanpour, M. Dynamical modeling and analysis of the human jumping process. In Proceedings of the ASME International Mechanical Engineering Congress and Exposition, New Orleans, LA, USA, 17–22 November 2002; Volume 36290, pp. 453–461. [Google Scholar]
















| Parameter | Value | Units |
|---|---|---|
| Gear Ratio | 17.4 | |
| Motor Max Torque | 7.8 | Nm |
| Gear Backdrive Impact Max Torque | 380 | Nm |
| Max Joint Speed | 36 | Rad/s |
| Max End Effector force | 1600 | N |
Publisher’s Note: MDPI stays neutral with regard to jurisdictional claims in published maps and institutional affiliations. |
© 2021 by the authors. Licensee MDPI, Basel, Switzerland. This article is an open access article distributed under the terms and conditions of the Creative Commons Attribution (CC BY) license (https://creativecommons.org/licenses/by/4.0/).
Share and Cite
Wang, L.; Meng, F.; Kang, R.; Sato, R.; Chen, X.; Yu, Z.; Ming, A.; Huang, Q. Design and Implementation of Symmetric Legged Robot for Highly Dynamic Jumping and Impact Mitigation. Sensors 2021, 21, 6885. https://doi.org/10.3390/s21206885
Wang L, Meng F, Kang R, Sato R, Chen X, Yu Z, Ming A, Huang Q. Design and Implementation of Symmetric Legged Robot for Highly Dynamic Jumping and Impact Mitigation. Sensors. 2021; 21(20):6885. https://doi.org/10.3390/s21206885
Chicago/Turabian StyleWang, Lei, Fei Meng, Ru Kang, Ryuki Sato, Xuechao Chen, Zhangguo Yu, Aiguo Ming, and Qiang Huang. 2021. "Design and Implementation of Symmetric Legged Robot for Highly Dynamic Jumping and Impact Mitigation" Sensors 21, no. 20: 6885. https://doi.org/10.3390/s21206885
APA StyleWang, L., Meng, F., Kang, R., Sato, R., Chen, X., Yu, Z., Ming, A., & Huang, Q. (2021). Design and Implementation of Symmetric Legged Robot for Highly Dynamic Jumping and Impact Mitigation. Sensors, 21(20), 6885. https://doi.org/10.3390/s21206885

