Feasibility Evaluation of Metamaterial Microwave Sensors for Non-Invasive Blood Glucose Monitoring
Abstract
:1. Introduction
2. Materials and Methods
2.1. Sensor Design
2.2. Phantom for Sensors Testing
2.3. Dielectric Parameters Measurement
2.4. S-parameter Measurements
2.5. Numerical Simulations
2.5.1. Computational Domain Geometry
2.5.2. Dielectric Properties of Computational Domains
2.5.3. Discretization Mesh Settings
2.5.4. Additional Settings of Numerical Models
2.6. Data Evaluation
3. Results
3.1. Liquid Phantoms
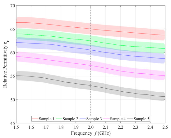
3.2. Dielectric Properties of Phantoms
3.3. VNA Measurement
3.4. Measurement vs. Simulation
4. Discussion
4.1. Microwave Sensors
4.2. Liquid Phantoms for Sensor Testing
4.3. VNA Measurements Assessment
4.4. Numerical Simulations Assessment
5. Conclusions
Author Contributions
Funding
Conflicts of Interest
References
- Wilkinson, I.B.; Raine, T.; Wiles, K.; Goodhart, A.; Hall, C.; O’Neill, H. Oxford Handbook of Clinical Medicine, 10th ed.; OUP Oxford: Oxford, UK, 2017; ISBN 978-0-19-968990-3. [Google Scholar]
- Siddiqui, S.A.; Zhang, Y.; Lloret, J.; Song, H.; Obradovic, Z. Pain-Free Blood Glucose Monitoring Using Wearable Sensors: Recent Advancements and Future Prospects. IEEE Rev. Biomed. Eng. 2018, 11, 21–35. [Google Scholar] [CrossRef]
- Lin, X.; Xu, Y.; Pan, X.; Xu, J.; Ding, Y.; Sun, X.; Song, X.; Ren, Y.; Shan, P.-F. Global, Regional, and National Burden and Trend of Diabetes in 195 Countries and Territories: An Analysis from 1990 to 2025. Sci. Rep. 2020, 10, 14790. [Google Scholar] [CrossRef] [PubMed]
- Tasker, R.C.; Acerini, C.L.; Holloway, E.; Shah, A.; Lillitos, P. Oxford Handbook of Paediatrics, 3rd ed.; Oxford University Press: Oxford, UK, 2021; ISBN 978-0-19-878988-8. [Google Scholar]
- Bruen, D.; Delaney, C.; Florea, L.; Diamond, D. Glucose Sensing for Diabetes Monitoring: Recent Developments. Sensors 2017, 17, 1866. [Google Scholar] [CrossRef] [PubMed] [Green Version]
- Tang, L.; Chang, S.J.; Chen, C.-J.; Liu, J.-T. Non-Invasive Blood Glucose Monitoring Technology: A Review. Sensors 2020, 20, 6925. [Google Scholar] [CrossRef] [PubMed]
- Jang, C.; Lee, H.-J.; Yook, J.-G. Radio-Frequency Biosensors for Real-Time and Continuous Glucose Detection. Sensors 2021, 21, 1843. [Google Scholar] [CrossRef] [PubMed]
- Yilmaz, T.; Foster, R.; Hao, Y. Radio-Frequency and Microwave Techniques for Non-Invasive Measurement of Blood Glucose Levels. Diagnostics 2019, 9, 6. [Google Scholar] [CrossRef] [Green Version]
- GlucoTrack®, Your Track to Health! DF-F; Integrity Applications: Ashdod, Israel, 2021.
- CoG—Hybrid Glucometer|Cnoga Digital Care. Available online: https://www.cnogacare.co/cog-hybrid-glucometer (accessed on 15 August 2021).
- Pleus, S.; Schauer, S.; Jendrike, N.; Zschornack, E.; Link, M.; Hepp, K.D.; Haug, C.; Freckmann, G. Proof of Concept for a New Raman-Based Prototype for Noninvasive Glucose Monitoring. J. Diabetes Sci. Technol. 2021, 15, 11–18. [Google Scholar] [CrossRef] [PubMed]
- Lundsgaard-Nielsen, S.M.; Pors, A.; Banke, S.O.; Henriksen, J.E.; Hepp, D.K.; Weber, A. Critical-Depth Raman Spectroscopy Enables Home-Use Non-Invasive Glucose Monitoring. PLoS ONE 2018, 13, e0197134. [Google Scholar] [CrossRef] [Green Version]
- Gabriel, C.; Gabriel, S.; Corthout, E. The Dielectric Properties of Biological Tissues: I. Literature Survey. Phys. Med. Biol. 1996, 41, 2231–2249. [Google Scholar] [CrossRef] [Green Version]
- Beam, K.; Venkataraman, J. Phantom Models for In-Vitro Measurements of Blood Glucose. In Proceedings of the 2011 IEEE International Symposium on Antennas and Propagation (APSURSI), Spokane, WA, USA, 3–8 July 2011; Institute of Electrical and Electronics Engineers: Piscataway, NJ, USA, 2011; pp. 1860–1862. [Google Scholar]
- Karacolak, T.; Moreland, E.C.; Topsakal, E. Cole-Cole Model for Glucose-Dependent Dielectric Properties of Blood Plasma for Continuous Glucose Monitoring. Microw. Opt. Technol. Lett. 2013, 55, 1160–1164. [Google Scholar] [CrossRef]
- So, C.-F.; Choi, K.-S.; Wong, T.K.; Chung, J.W. Recent Advances in Noninvasive Glucose Monitoring. Med. Devices Auckl. NZ 2012, 5, 45–52. [Google Scholar] [CrossRef] [Green Version]
- Hofmann, M.; Fischer, G.; Weigel, R.; Kissinger, D. Microwave-Based Noninvasive Concentration Measurements for Biomedical Applications. IEEE Trans. Microw. Theory Tech. 2013, 61, 2195–2204. [Google Scholar] [CrossRef]
- Hayashi, Y.; Livshits, L.; Caduff, A.; Feldman, Y. Dielectric Spectroscopy Study of Specific Glucose Influence on Human Erythrocyte Membranes. J. Phys. Appl. Phys. 2003, 36, 369. [Google Scholar] [CrossRef]
- Freer, B.; Venkataraman, J. Feasibility Study for Non-Invasive Blood Glucose Monitoring. In Proceedings of the 2010 IEEE Antennas and Propagation Society International Symposium (APSURSI), Toronto, ON, Canada, 11–17 July 2010; Institute of Electrical and Electronics Engineers: Piscataway, NJ, USA; pp. 1–4. [Google Scholar]
- Huang, S.; Omkar; Yoshida, Y.; Inda, A.; Chia, X.X.; Mu, W.C.; Meng, Y.; Yu, W. Microstrip Line-Based Glucose Sensor for Noninvasive Continuous Monitoring Using the Main Field for Sensing and Multivariable Crosschecking. IEEE Sens. J. 2019, 19, 535–547. [Google Scholar] [CrossRef]
- Yilmaz, T.; Ozturk, T.; Joof, S. A Comparative Study for Development of Microwave Glucose Sensors. In Proceedings of the 32nd URSI General Assembly and Scientific Symposium (URSI GASS 2017), Montreal, QC, Canada, 19–26 August 2017; International Union of Radio Science (URSI): Ghent, Belgium, 2017. [Google Scholar]
- Saleh, G.; Ateeq, I.S.; Al-Naib, I. Glucose Level Sensing Using Single Asymmetric Split Ring Resonator. Sensors 2021, 21, 2945. [Google Scholar] [CrossRef] [PubMed]
- Odabashyan, L.; Babajanyan, A.; Baghdasaryan, Z.; Kim, S.; Kim, J.; Friedman, B.; Lee, J.-H.; Lee, K. Real-Time Noninvasive Measurement of Glucose Concentration Using a Modified Hilbert Shaped Microwave Sensor. Sensors 2019, 19, 5525. [Google Scholar] [CrossRef] [PubMed] [Green Version]
- Kumar, A.; Wang, C.; Meng, F.-Y.; Zhou, Z.-L.; Zhao, M.; Yan, G.-F.; Kim, E.-S.; Kim, N.-Y. High-Sensitivity, Quantified, Linear and Mediator-Free Resonator-Based Microwave Biosensor for Glucose Detection. Sensors 2020, 20, 4024. [Google Scholar] [CrossRef]
- Camli, B.; Kusakci, E.; Lafçi, B.; Salman, S.; Torun, H.; Yalcinkaya, A. Cost-Effective, Microstrip Antenna Driven Ring Resonator Microwave Biosensor for Biospecific Detection of Glucose. IEEE J. Sel. Top. Quantum Electron. 2017, 23, 404–409. [Google Scholar] [CrossRef]
- Sidley, M. Calibration for Real-Time Non-Invasive Blood Glucose Monitoring. Ph.D. Thesis, Rochester Institute of Technology, Rochester, NY, USA, 2013. [Google Scholar]
- Omkar; Yu, W.; Huang, S.Y. T-Shaped Patterned Microstrip Line for Noninvasive Continuous Glucose Sensing. IEEE Microw. Wirel. Compon. Lett. 2018, 28, 942–944. [Google Scholar] [CrossRef]
- Zeising, S.; Kirchner, J.; Khalili, H.F.; Ahmed, D.; Lübke, M.; Thalmayer, A.; Fischer, G. Towards Realisation of a Non-Invasive Blood Glucose Sensor Using Microstripline. TechRxiv 2021. preprint. [Google Scholar] [CrossRef]
- Vrba, J.; Vrba, D. A Microwave Metamaterial Inspired Sensor for Non-Invasive Blood Glucose Monitoring. Radioengineering 2015, 24, 877–884. [Google Scholar] [CrossRef]
- Pozar, D.M. Microwave Engineering, 2nd ed.; John Wiley and Sons: New York, NY, USA, 1998; ISBN 0-471-17096-8. [Google Scholar]
- Damm, C.; Schussler, M.; Puentes, M.; Maune, H.; Maasch, M.; Jakoby, R. Artificial Transmission Lines for High Sensitive Microwave Sensors. In Proceedings of the 2009 IEEE Sensors, Christchurch, New Zealand, 25–28 October 2009; Institute of Electrical and Electronics Engineers: Piscataway, NJ, USA, 2009; pp. 755–758. [Google Scholar]
- Vrba, J.; Vrba, D.; Díaz, L.; Fišer, O. Metamaterial Sensor for Microwave Non-invasive Blood Glucose Monitoring. Available online: https://www.springerprofessional.de/metamaterial-sensor-for-microwave-non-invasive-blood-glucose-mon/15802180 (accessed on 25 June 2021).
- Yilmaz, T.; Foster, R.; Hao, Y. Broadband Tissue Mimicking Phantoms and a Patch Resonator for Evaluating Noninvasive Monitoring of Blood Glucose Levels. IEEE Trans. Antennas Propag. 2014, 62, 3064–3075. [Google Scholar] [CrossRef]
- Adhyapak, A.; Sidley, M.; Venkataraman, J. Analytical Model for Real Time, Noninvasive Estimation of Blood Glucose Level. In Proceedings of the 2014 36th Annual International Conference of the IEEE Engineering in Medicine and Biology Society EMBC 2014, Chicago, IL, USA, 26–30 August 2014; Institute of Electrical and Electronics Engineers: Piscataway, NJ, USA, 2014; pp. 5020–5023. [Google Scholar]
- DAK » SPEAG, Schmid & Partner Engineering AG. Available online: https://speag.swiss/products/dak/dak-probes/ (accessed on 15 August 2021).
- R&S®ZNB Vector Network Analyzer. Available online: https://www.rohde-schwarz.com/pl/products/test-and-measurement/network-analyzers/rs-znb-vector-network-analyzer_63493-11648.html (accessed on 15 August 2021).
- Tyrrell, J.A. Lectures on curves on an algebraic surface: A book review. J. Lond. Math. Soc. 1968, s1-43, 570–571. [Google Scholar] [CrossRef]
- Ro4000-Laminates-Ro4003c-and-Ro4350b-Data-Sheet; Rogers Corporation: Shanghai, China, 2018.
- I-Tera Mt40 Data Sheet; Isola Group: Chandler, AZ, USA, 2017.
- PLA—Prusa Research. Available online: https://shop.prusa3d.com/en/21-pla (accessed on 15 August 2021).
- COMSOL. Multiphysics Reference Manual 2019; COMSOL Inc.: Burlington, MA, USA, 2019. [Google Scholar]
- Pham, H. A New Criterion for Model Selection. Mathematics 2019, 7, 1215. [Google Scholar] [CrossRef] [Green Version]
- Hasgall, P.A.; di Gennaro, F.; Baumgartner, C.; Neufeld, E.; Lloyd, B.; Gosselin, M.C.; Payne, D.; Klingenboeck, A.; Kuster, N. Tissue Properties Database V4.0 2018; IT’IS Foundation: Zurich, Switzerland, 2018. [Google Scholar]










| Sample ID | cbg (mmol/L) | Relative Permittivity | Electrical Conductivity (S/m) |
|---|---|---|---|
| 1 | 0 | 63.67 | 1.90 |
| 2 | 3 | 61.24 | 1.87 |
| 3 | 6 | 58.81 | 1.83 |
| 4 | 10 | 55.56 | 1.79 |
| 5 | 14 | 52.32 | 1.74 |
| Domain | Relative Permittivity εr | Electrical Conductivity σe (S/m) | Maximum Edge Length of Discretization Elements (mm) |
|---|---|---|---|
| Air | 1.00 | 0.00 | 3.8 |
| Rogers Ro4003c [38] | 3.38 | 0.8 × 10−3 | 2.0 |
| MT40 [39] | 3.45 | 0.0012 | 0.9 (z axis 0.05) |
| PLA [40] | 2.75 | 0.00 | 2.3 |
| Copper MS, MTM | 1.00 | 5.99 × 107 | 0.35, 0.02 |
| Phantom | Table 5 | Table 5 | 0.45 |
| Relative Permittivity—Coefficients of Cubic Functions p0, p1, p2, p3 |
Electrical Conductivity—Coefficients of Linear Functions q0, q1 | |
|---|---|---|
| Sample ID 1 | 55.87, 2.08 × 10−8, −1.22 × 10−17, 2.07 × 10−27 | −0.71, 1.32 × 10−9 |
| Sample ID 2 | 34.03, 5.10 × 10−8, −2.76 × 10−17, 4.59 × 10−27 | −0.97, 1.41 × 10−9 |
| Sample ID 3 | 22.46, 6.60 × 10−8, −3.51 × 10−17, 5.77 × 10−27 | −1.16, 1.47 × 10−9 |
| Sample ID 4 | 34.17, 4.41 × 10−8, −2.44 × 10−17, 4.02 × 10−27 | −1.24, 1.49 × 10−9 |
| Sample ID 5 | 32.44, 4.17 × 10−8, −2.36 × 10−17, 3.93 × 10−27 | −1.29, 1.48 × 10−9 |
| Sample ID | DI Water (mL) | IPA (mL) | Sodium Chloride (g) |
|---|---|---|---|
| 1 | 410 | 90 | 2.2 |
| 2 | 385 | 115 | 1.0 |
| 3 | 370 | 130 | 0.6 |
| 4 | 350 | 150 | 0.3 |
| 5 | 325 | 175 | 0.0 |
| Samle ID | cbg (mmol/L) | Relative Permittivity | Electrical Conductivity (S/m) |
|---|---|---|---|
| 1 | 0 | 65.0 ± 1.2 | 1.91 ± 0.05 |
| 2 | 3 | 62.5 ± 1.2 | 1.84 ± 0.05 |
| 3 | 6 | 60.5 ± 1.1 | 1.77 ± 0.06 |
| 4 | 10 | 57.2 ± 1.1 | 1.74 ± 0.04 |
| 5 | 14 | 53.0 ± 1.0 | 1.66 ± 0.06 |
| Sim. Avg. Sens. (° per mmol/L) | Meas. Avg. Sens. (° per mmol/L) | |
|---|---|---|
| MSTL | 0.60 | 0.48 |
| MTM5 | - | 1.19 |
| MTM7 | - | 2.54 |
| MTM9 | 3.43 | 3.66 |
Publisher’s Note: MDPI stays neutral with regard to jurisdictional claims in published maps and institutional affiliations. |
© 2021 by the authors. Licensee MDPI, Basel, Switzerland. This article is an open access article distributed under the terms and conditions of the Creative Commons Attribution (CC BY) license (https://creativecommons.org/licenses/by/4.0/).
Share and Cite
Malena, L.; Fiser, O.; Stauffer, P.R.; Drizdal, T.; Vrba, J.; Vrba, D. Feasibility Evaluation of Metamaterial Microwave Sensors for Non-Invasive Blood Glucose Monitoring. Sensors 2021, 21, 6871. https://doi.org/10.3390/s21206871
Malena L, Fiser O, Stauffer PR, Drizdal T, Vrba J, Vrba D. Feasibility Evaluation of Metamaterial Microwave Sensors for Non-Invasive Blood Glucose Monitoring. Sensors. 2021; 21(20):6871. https://doi.org/10.3390/s21206871
Chicago/Turabian StyleMalena, Lukas, Ondrej Fiser, Paul R. Stauffer, Tomas Drizdal, Jan Vrba, and David Vrba. 2021. "Feasibility Evaluation of Metamaterial Microwave Sensors for Non-Invasive Blood Glucose Monitoring" Sensors 21, no. 20: 6871. https://doi.org/10.3390/s21206871
APA StyleMalena, L., Fiser, O., Stauffer, P. R., Drizdal, T., Vrba, J., & Vrba, D. (2021). Feasibility Evaluation of Metamaterial Microwave Sensors for Non-Invasive Blood Glucose Monitoring. Sensors, 21(20), 6871. https://doi.org/10.3390/s21206871

