Estimating Functional Threshold Power in Endurance Running from Shorter Time Trials Using a 6-Axis Inertial Measurement Sensor
Abstract
1. Introduction
2. Materials and Methods
2.1. Participants
2.2. Procedures
2.3. Materials and Testing
2.4. StrydTM System
2.5. Statistical Analysis
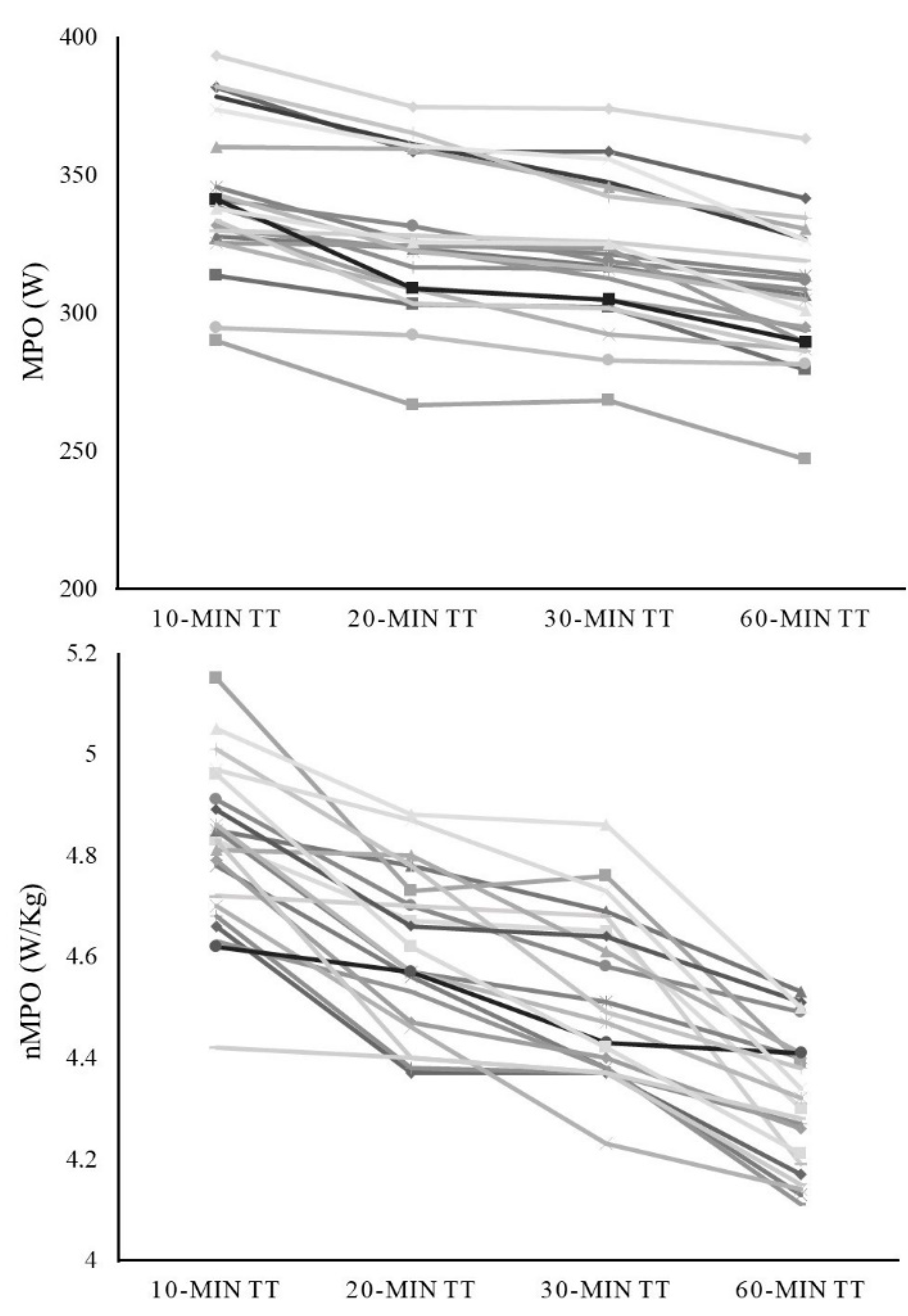
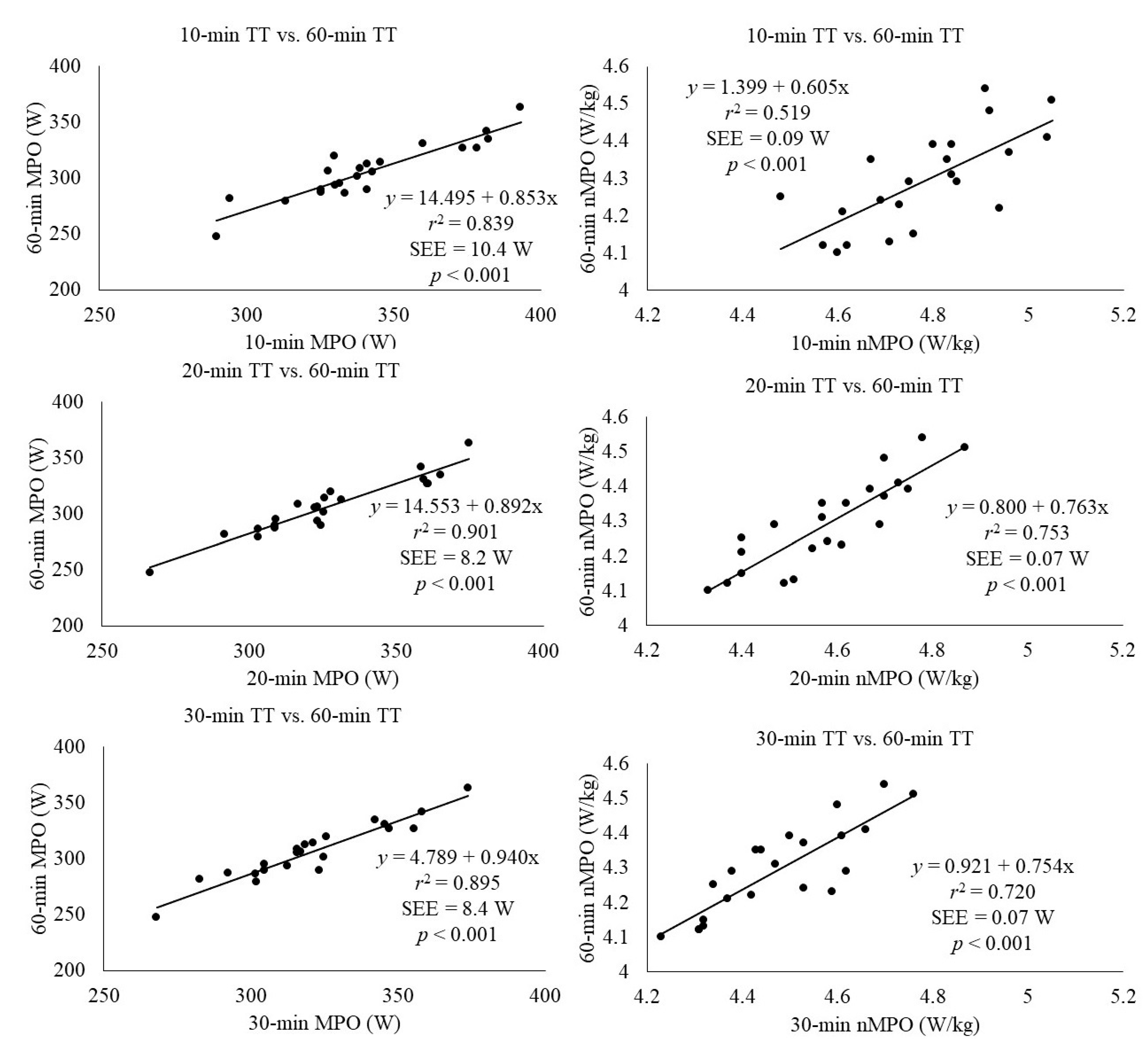
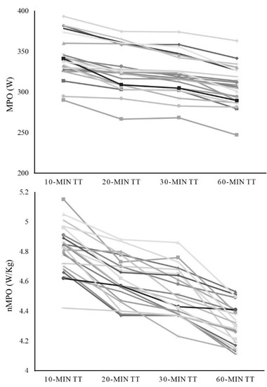
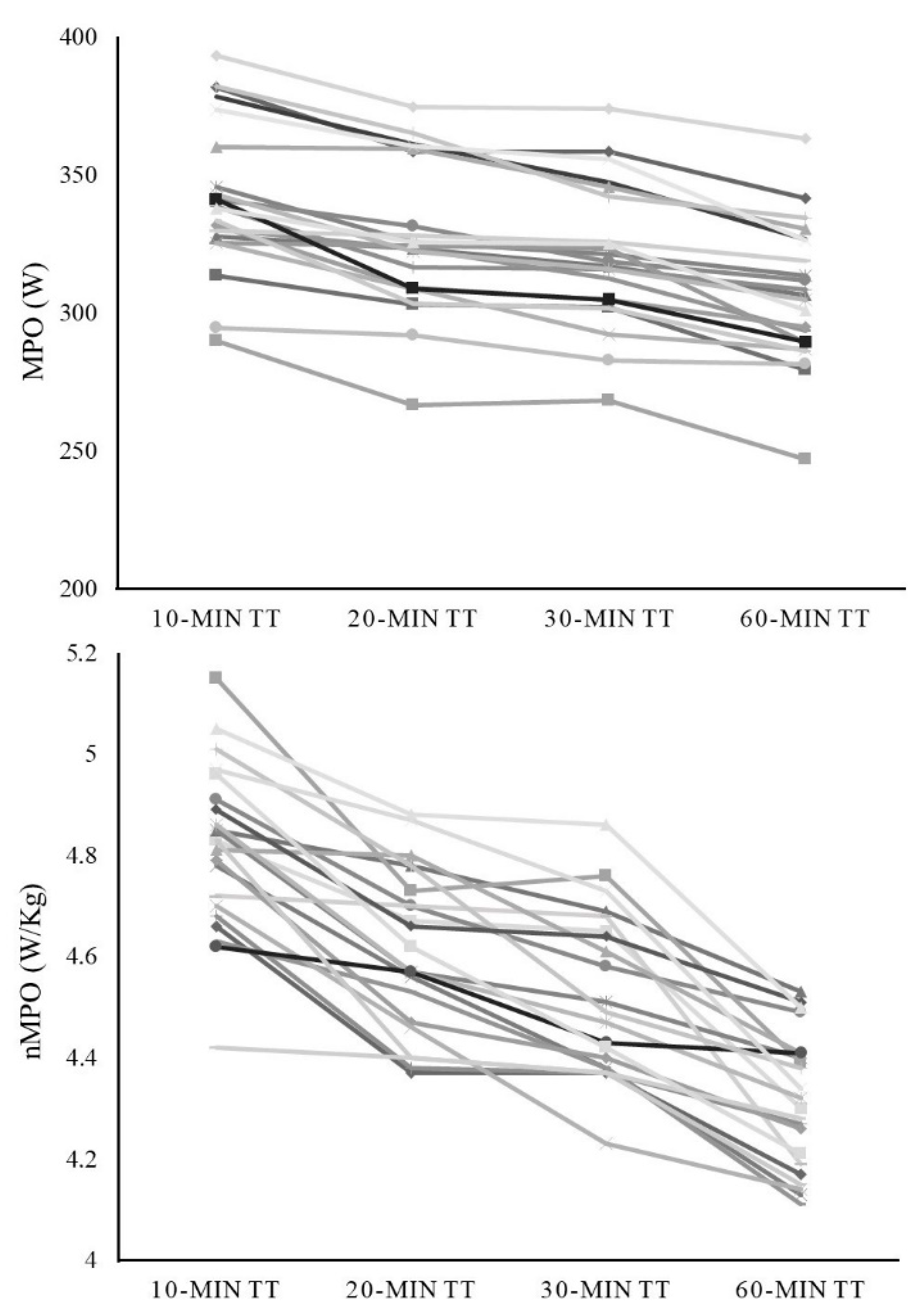
3. Results
4. Discussion
4.1. FTP60
4.2. FTP10
4.3. FTP20
4.4. FTP30
5. Conclusions
Author Contributions
Funding
Institutional Review Board Statement
Informed Consent Statement
Data Availability Statement
Acknowledgments
Conflicts of Interest
References
- Mujika, I. Quantification of Training and Competition Loads in Endurance Sports: Methods and Applications. Int. J. Sports Physiol. Perform. 2017, 12 (Suppl. 2), S29–S217. [Google Scholar] [CrossRef]
- Borresen, J.; Lambert, M.I. The quantification of training load, the training response and the effect on performance. Sports Med. 2009, 39, 779–795. [Google Scholar] [CrossRef] [PubMed]
- Sanders, D.; Myers, T.; Akubat, I. Training-Intensity Distribution in Road Cyclists: Objective Versus Subjective Measures. Int. J. Sports Physiol. Perform. 2017, 12, 1232–1237. [Google Scholar] [CrossRef] [PubMed]
- Passfield, L.; Hopker, J.G.; Jobson, S.; Friel, D.; Zabala, M. Knowledge is power: Issues of measuring training and performance in cycling. J. Sports Sci. 2017, 35, 1426–1434. [Google Scholar] [CrossRef] [PubMed]
- Kram, R.; Griffin, T.M.; Donelan, J.M.; Chang, Y.H. Force treadmill for measuring vertical and horizontal ground reaction forces. J. Appl. Physiol. 1998, 85, 764–769. [Google Scholar] [CrossRef]
- Norris, M.; Anderson, R.; Kenny, I.C. Method analysis of accelerometers and gyroscopes in running gait: A systematic review. Proc. Inst. Mech. Eng. Part P-J. Sports Eng. Technol. 2014, 228, 3–15. [Google Scholar] [CrossRef]
- Jenny, D.F.; Jenny, P. On the mechanical power output required for human running—Insight from an analytical model. J. Biomech. 2020, 110, 109948. [Google Scholar] [CrossRef]
- Blickhan, R. The spring-mass model for running and hopping. J. Biomech. 1989, 22, 1217–1227. [Google Scholar] [CrossRef]
- Cerezuela-Espejo, V.; Hernández-Belmonte, A.; Courel-Ibáñez, J.; Conesa-Ros, E.; Martínez-Cava, A.; Pallarés, J.G. Running power meters and theoretical models based on laws of physics: Effects of environments and running conditions. Physiol. Behav. 2020, 223, 112972. [Google Scholar] [CrossRef]
- Cerezuela-Espejo, V.; Hernandez-Belmonte, A.; Courel-Ibanez, J.; Conesa-Ros, E.; Mora-Rodriguez, R.; Pallares, J.G. Are we ready to measure running power? Repeatability and concurrent validity of five commercial technologies. Eur. J. Sport Sci. 2020, 1–10. [Google Scholar] [CrossRef]
- Jaén-Carrillo, D.; Roche-Seruendo, L.E.; Cartón-Llorente, A.; Ramírez-Campillo, R.; García-Pinillos, F. Mechanical Power in Endurance Running: A Scoping Review on Sensors for Power Output Estimation during Running. Sensors 2020, 20, 6482. [Google Scholar] [CrossRef]
- García-Pinillos, F.; Soto-Hermoso, V.M.; Latorre-Román, P.; Párraga-Montilla, J.A.; Roche-Seruendo, L.E. How Does Power During Running Change when Measured at Different Time Intervals? Int. J. Sports Med. 2019, 40, 609–613. [Google Scholar] [CrossRef]
- García-Pinillos, F.; Latorre-Román, P.; Roche-Seruendo, L.E.; García-Ramos, A. Prediction of power output at different running velocities through the two-point method with the Stryd(TM) power meter. Gait Posture 2019, 68, 238–243. [Google Scholar] [CrossRef]
- Austin, C.L.; Hokanson, J.F.; McGinnis, P.M.; Patrick, S. The Relationship between Running Power and Running Economy in Well-Trained Distance Runners. Sports 2018, 6, 142. [Google Scholar] [CrossRef]
- Aubry, R.L.; Power, G.A.; Burr, J.F. An Assessment of Running Power as a Training Metric for Elite and Recreational Runners. J. Strength Cond. Res. 2018, 32, 2258–2264. [Google Scholar] [CrossRef]
- Allen, H.; Coggan, A. Training and Racing with a Power Meter, 2nd ed.; Velopress: Boulder, CO, USA, 2006. [Google Scholar]
- Coyle, E.F.; Coggan, A.R.; Hopper, M.K.; Walters, T.J. Determinants of endurance in well-trained cyclists. J. Appl. Physiol. 1988, 64, 2622–2630. [Google Scholar] [CrossRef]
- McGrath, E.; Mahony, N.; Fleming, N.; Donne, B. Is the FTP Test a Reliable, Reproducible and Functional Assessment Tool in Highly-Trained Athletes? Int. J. Exerc. Sci. 2019, 12, 1334–1345. [Google Scholar]
- Lajoie, C.; Laurencelle, L.; Trudeau, F. Physiological responses to cycling for 60 minutes at maximal lactate steady state. Can. J. Appl. Physiol. 2000, 25, 250–261. [Google Scholar] [CrossRef]
- Faude, O.; Kindermann, W.; Meyer, T. Lactate threshold concepts: How valid are they? Sports Med. 2009, 39, 469–490. [Google Scholar] [CrossRef]
- Cerezuela-Espejo, V.; Courel-Ibáñez, J.; Morán-Navarro, R.; Martínez-Cava, A.; Pallarés, J.G. The Relationship Between Lactate and Ventilatory Thresholds in Runners: Validity and Reliability of Exercise Test Performance Parameters. Front. Physiol. 2018, 9, 1320. [Google Scholar] [CrossRef]
- Sanders, D.; Taylor, R.J.; Myers, T.; Akubat, I. A field-based cycling test to assess predictors of endurance performance and establishing training zones. J. Strength Cond. Res. 2020, 34, 3482–3488. [Google Scholar] [CrossRef]
- Borszcz, F.K.; Tramontin, A.F.; Bossi, A.H.; Carminatti, L.J.; Costa, V.P. Functional Threshold Power in Cyclists: Validity of the Concept and Physiological Responses. Int. J. Sports Med. 2018, 39, 737–742. [Google Scholar]
- Valenzuela, P.L.; Morales, J.S.; Foster, C.; Lucia, A.; de la Villa, P. Is the Functional Threshold Power a Valid Surrogate of the Lactate Threshold? Int. J. Sports Physiol. Perform. 2018, 13, 1293–1298. [Google Scholar] [CrossRef]
- Klitzke Borszcz, F.; Tramontin, A.F.; Costa, V.P. Reliability of the Functional Threshold Power in Competitive Cyclists. Int. J. Sports Med. 2020, 41, 175–181. [Google Scholar] [CrossRef]
- Jeffries, O.; Simmons, R.; Patterson, S.D.; Waldron, M. Functional Threshold Power Is Not Equivalent to Lactate Parameters in Trained Cyclists. J. Strength Cond. Res. 2019. [Google Scholar] [CrossRef]
- Lillo-Beviá, J.R.; Courel-Ibáñez, J.; Cerezuela-Espejo, V.; Morán-Navarro, R.; Martínez-Cava, A.; Pallarés, J.G. Is the Functional Threshold Power a Valid Metric to Estimate the Maximal Lactate Steady State in Cyclists? J. Strength Cond. Res. 2019. [Google Scholar] [CrossRef]
- Inglis, E.C.; Iannetta, D.; Passfield, L.; Murias, J.M. Maximal Lactate Steady State Versus the 20-Minute Functional Threshold Power Test in Well-Trained Individuals: “Watts” the Big Deal? Int. J. Sports Physiol. Perform. 2019, 1, 1–7. [Google Scholar] [CrossRef]
- Capostagno, B.; Lambert, M.I.; Lamberts, R.P. A Systematic Review of Submaximal Cycle Tests to Predict, Monitor, and Optimize Cycling Performance. Int. J. Sports Physiol. Perform. 2016, 11, 707–714. [Google Scholar] [CrossRef] [PubMed]
- Fontana, P.; Boutellier, U.; Knöpfli-Lenzin, C. Time to exhaustion at maximal lactate steady state is similar for cycling and running in moderately trained subjects. Eur. J. Appl. Physiol. 2009, 107, 187–192. [Google Scholar] [CrossRef] [PubMed]
- Borg, G. Borg’s Perceived Exertion and Pain Scales; Human Kinetics Pub Inc.: Champaign, IL, USA, 1998. [Google Scholar]
- Schieb, D. Kinematic Accommodation of Novice Treadmill Runners. Res. Q. Exerc. Sport 1986, 57, 1–7. [Google Scholar] [CrossRef]
- Garcia-Pinillos, F.; Latorre-Roman, P.A.; Ramirez-Campillo, R.; Parraga-Montilla, J.A.; Roche-Seruendo, L.E. How does the slope gradient affect spatiotemporal parameters during running? Influence of athletic level and vertical and leg stiffness. Gait Posture 2019, 68, 72–77. [Google Scholar] [CrossRef] [PubMed]
- Navalta, J.W.; Montes, J.; Bodell, N.G.; Aguilar, C.D.; Radzak, K.; Manning, J.W.; DeBeliso, M. Reliability of Trail Walking and Running Tasks Using the Stryd Power Meter. Int. J. Sports Med. 2019, 40, 498–502. [Google Scholar] [CrossRef] [PubMed]
- Hopkins, W.G.; Marshall, S.W.; Batterham, A.M.; Hanin, J. Progressive statistics for studies in sports medicine and exercise science. Med. Sci. Sports Exerc. 2009, 41, 3–13. [Google Scholar] [CrossRef] [PubMed]
- Koo, T.K.; Li, M.Y. A Guideline of Selecting and Reporting Intraclass Correlation Coefficients for Reliability Research. J. Chiropr. Med. 2016, 15, 155–163. [Google Scholar] [CrossRef]
- Landis, J.R.; Koch, G.G. The measurement of observer agreement for categorical data. Biometrics 1977, 33, 159–174. [Google Scholar] [CrossRef]
- Nimmerichter, A.; Williams, C.; Bachl, N.; Eston, R. Evaluation of a field test to assess performance in elite cyclists. Int. J. Sports Med. 2010, 31, 160–166. [Google Scholar] [CrossRef]
- MacInnis, M.J.; Thomas, A.C.Q.; Phillips, S.M. The Reliability of 4-min and 20-min Time Trials and Their Relationships to Functional Threshold Power in Trained Cyclists. Int. J. Sports Physiol. Perform. 2018, 14, 38–45. [Google Scholar] [CrossRef]
- Gastin, P.B. Energy system interaction and relative contribution during maximal exercise. Sports Med. 2001, 31, 725–741. [Google Scholar] [CrossRef]
- Morgan, P.T.; Black, M.I.; Bailey, S.J.; Jones, A.M.; Vanhatalo, A. Road cycle TT performance: Relationship to the power-duration model and association with FTP. J. Sports Sci. 2019, 37, 902–910. [Google Scholar] [CrossRef]
- Olaya Cuartero, J.; Pérez, S.; Ferriz-Valero, A.; Cejuela, R. A comparison between different tests for functional threshold power determination in running. J. Phys. Educ. Hum. Mov. 2019, 1, 4–15. [Google Scholar]
- Currell, K.; Jeukendrup, A.E. Validity, reliability and sensitivity of measures of sporting performance. Sports Med. 2008, 38, 297–316. [Google Scholar] [CrossRef] [PubMed]



| System Used | Device & Location | Aim | Results | |
|---|---|---|---|---|
| Cerezuela-Espejo et al. (2020) [10] | RunScribe | Attached to shoelaces and paired to a Garmin Forerunner 235 | To compare 4 power meter devices in terms of repeatability and concurrent validity between P data and oxygen consumption (VO2). | Fair repeatability indoor: SEM ≥ 30.1 W, CV ≥ 7.4%, ICC ≤ 0.709, and SEM ≥ 59.3 W, CV ≥ 14.8%, ICC ≤ 0.563. Low correlation between P and VO2 (r ≥ 0.582, SEE ≤ 13.7%) |
| Garmin Running Power | Garmin TRITM heart rate (chest) monitor band and Garmin Forerunner 935 watch Kansas, USA | Low repeatability indoor: SEM ≥ 47.0 W, CV ≥ 9.4%, ICC ≤ 0.495, fair repeatability outdoor: SEM ≥ 24.5 W, CV ≥ 7.7%, ICC = 0.823. Low correlation between P and VO2 (r ≥ 0.539, SEE ≤ 17.5%) | ||
| Polar Vantage V | Sport watch on the wrist. GPS and barometer sensors | Low repeatability outdoor: SEM ≥ 40.6 W, CV ≥ 14.5%, ICC = 0.487. Good correlation between P and VO2 (r = 0.841, SEE = 9.7%) | ||
| Stryd (foot pod) | Attached to shoelaces and paired to a Garmin Forerunner 235 or a mobile phone | Best repeatability values both indoor: SEM ≤ 7.4 W, CV ≤ 2.8%, ICC ≥ 0.980, and outdoor: SEM ≤ 12.5 W, CV ≤ 4.3%, ICC ≥ 0.989. High correlation between P and VO2 (r3 ≥ 0.911, SEE ≤ 7.3%) | ||
| García-Pinillos et al. (2019) [12] | Stryd (foot pod) | Attached to shoelaces and paired to a mobile phone | To evaluate the stability of power output data while running at a constant comfortable velocity on a motorized treadmill. | P running at an easy pace is a stable metric with negligible differences, between intervals ranging from 10 to 180 s. |
| García-Pinillos et al. (2019) [13] | Stryd (foot pod) | Attached to shoelaces and paired to a mobile phone | To confirm the linear P-V relationship in endurance runners at submaximal velocities, and to predict P values with the “two-point method”. | Two distant velocities were able to provide P with the same accuracy than the multiple-point method. |
| Austin et al. (2018) [14] | Stryd (foot pod) | Attached to shoelaces and paired to a Garmin Fenix 3 watch | To determine the correlations between P and running economy at LT pace. | RE is positively correlated with Stryd’s power output data, however it may not be precise enough to notice changes in running economy |
| Aubry et al. (2018) [15] | Stryd (chest strap) | Stryd Pioneer 3-axial accelerometer chest band in conjunction with a mobile phone (with GPS). | To assess if running power could be a valid surrogate of metabolic demand (VO2) in a population of different level of training runners. | Running power is not a valid surrogate of the energy cost of running in a mixed ability population of runners. |
| 10-min Trial | 20-min Trial | 30-min Trial | 60-min Trial | Main Effect of Test p-Value | |
|---|---|---|---|---|---|
| Running speed (km/h−1) | 17.16 (0.65) b,c,d | 16.33 (0.53) a,c,d | 15.88 (0.50) a,b,d | 15.12 (0.56) a,b,c | <0.001 |
| Mean power output (W) | 341.73 (27.19) b,c,d | 326.90 (26.97) a,c,d | 320.63 (25.51) a,b,d | 306.15 (25.33) a,b,c | <0.001 |
| Normalized mean power output (W/kg−1) | 4.78 (0.15) b,c,d | 4.58 (0.15) a,c,d | 4.47 (0.15) a,b,d | 4.29 (0.13) a,b,c | <0.001 |
| RPE (6–20) | 19.27 (0.83) c | 18.95 (0.84) | 18.64 (0.73) a,d | 19.27 (0.88) c | 0.011 |
| Mean Power (W) | Normalized Mean Power (W/kg) | ||
|---|---|---|---|
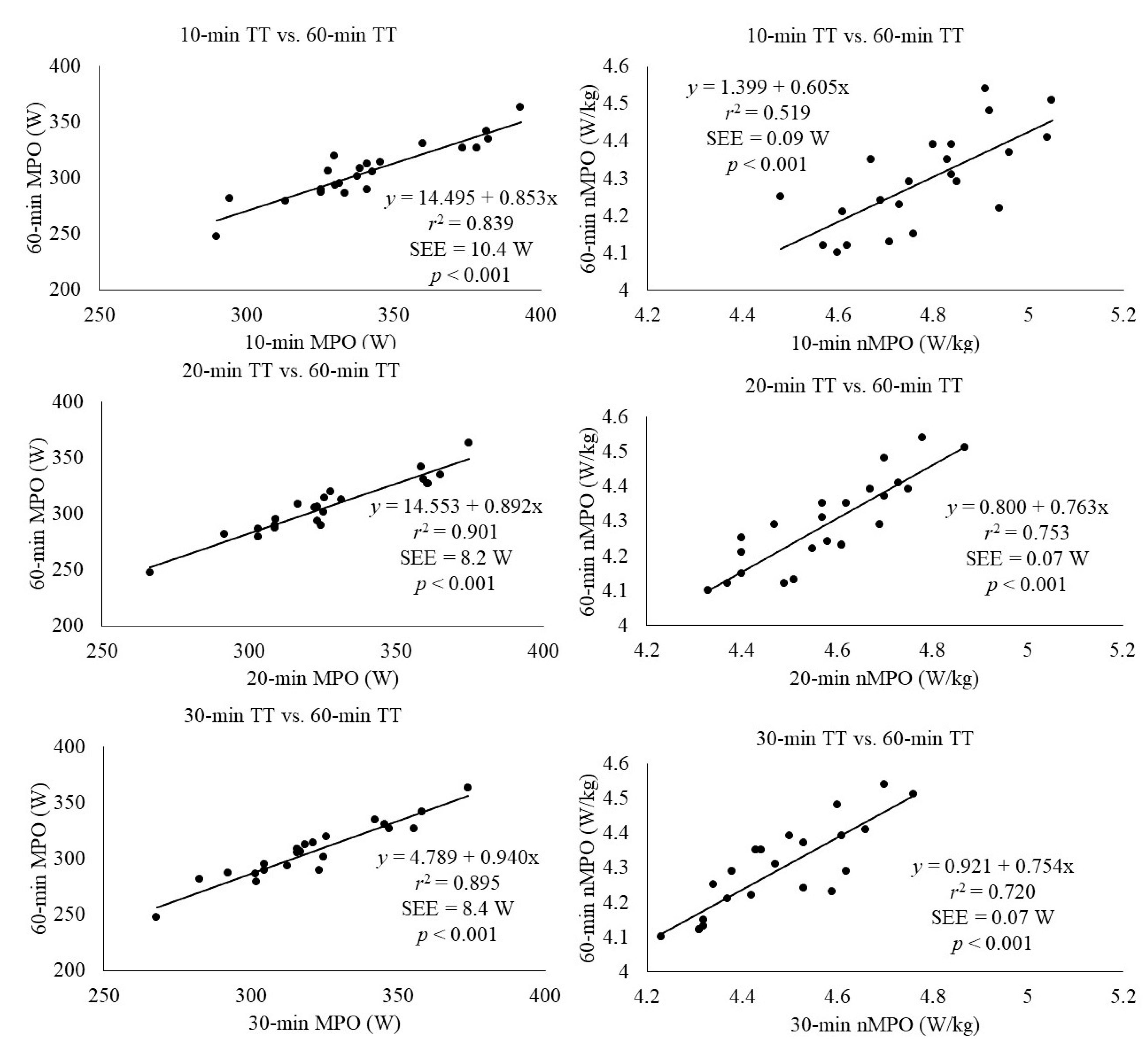
| 10-min vs. 60-min | Correlation (r-coefficient) | 0.916 *** | 0.720 *** |
| ICC (95% CI) | 0.647 (−0.084–0.909) | 0.188 (−0.046–0.566) | |
| ICF% (CI) | 89.6 (88.2–90.9) | 89.8 (88.8–90.7) | |
| 20-min vs. 60-min | Correlation (r-coefficient) | 0.949 *** | 0.868 *** |
| ICC (95% CI) | 0.839 (−0.120–0.964) | 0.432 (−0.061–0.808) | |
| ICF% (CI) | 93.6 (92.5–94.7) | 93.7 (93.1–94.4) | |
| 30-min vs. 60-min | Correlation (r-coefficient) | 0.946 *** | 0.859 *** |
| ICC (95% CI) | 0.899 (−0.089–0.976) | 0.625 (−0.152–0.895) | |
| ICF% (CI) | 95.5 (94.3–96.6) | 95.9 (95.2−96.6) |
Publisher’s Note: MDPI stays neutral with regard to jurisdictional claims in published maps and institutional affiliations. |
© 2021 by the authors. Licensee MDPI, Basel, Switzerland. This article is an open access article distributed under the terms and conditions of the Creative Commons Attribution (CC BY) license (http://creativecommons.org/licenses/by/4.0/).
Share and Cite
Cartón-Llorente, A.; García-Pinillos, F.; Royo-Borruel, J.; Rubio-Peirotén, A.; Jaén-Carrillo, D.; Roche-Seruendo, L.E. Estimating Functional Threshold Power in Endurance Running from Shorter Time Trials Using a 6-Axis Inertial Measurement Sensor. Sensors 2021, 21, 582. https://doi.org/10.3390/s21020582
Cartón-Llorente A, García-Pinillos F, Royo-Borruel J, Rubio-Peirotén A, Jaén-Carrillo D, Roche-Seruendo LE. Estimating Functional Threshold Power in Endurance Running from Shorter Time Trials Using a 6-Axis Inertial Measurement Sensor. Sensors. 2021; 21(2):582. https://doi.org/10.3390/s21020582
Chicago/Turabian StyleCartón-Llorente, Antonio, Felipe García-Pinillos, Jorge Royo-Borruel, Alberto Rubio-Peirotén, Diego Jaén-Carrillo, and Luis E. Roche-Seruendo. 2021. "Estimating Functional Threshold Power in Endurance Running from Shorter Time Trials Using a 6-Axis Inertial Measurement Sensor" Sensors 21, no. 2: 582. https://doi.org/10.3390/s21020582
APA StyleCartón-Llorente, A., García-Pinillos, F., Royo-Borruel, J., Rubio-Peirotén, A., Jaén-Carrillo, D., & Roche-Seruendo, L. E. (2021). Estimating Functional Threshold Power in Endurance Running from Shorter Time Trials Using a 6-Axis Inertial Measurement Sensor. Sensors, 21(2), 582. https://doi.org/10.3390/s21020582
