The Recent Advancement in Unmanned Aerial Vehicle Tracking Antenna: A Review
Abstract
:1. Introduction
- This work provides an exhaustive review on the state-of-the-art UAV antenna tracking technology as well some discussion on tracking antenna fundamentals.
- Instead of relying on the electro-mechanical UAV antenna tracking technology, this work proposes the adoption of MIMO beam-forming technology as an alternative to the electro-mechanical UAV antenna tracking.
- Lastly, we propose the use of sectorized beam-forming for UAV antenna tracking which is capable of providing 0–360° coverage.
2. UAV Tracking System Overview
2.1. Communication Link
2.2. Steering System
- (a)
- The mechanical steering system
- (b)
- The electrical steering system
2.3. Microcontroller Unit
3. Antenna Overview
3.1. Wire Antenna
3.2. Biconical Dipole Antenna
3.3. Left Handed Dipole Antenna
3.4. Folded Dipole Antenna
3.5. Travelling Antenna
3.5.1. Yagi–Uda Antenna
3.5.2. Helical Antenna
3.6. Reflector Antenna
3.6.1. Corner Reflector Antenna
3.6.2. Parabolic Reflector (Dish Antenna)
3.7. Log-Periodic Antenna
3.7.1. Bowtie Antenna
3.7.2. Log-Periodic Dipole Array Antenna
3.8. Aperture Antenna
3.8.1. Inverted F Antenna
3.8.2. Vivaldi Antenna
3.9. Array Antenna Model
4. Recent Advancement on UAV Tracking Antenna
4.1. UAV Tracking Positioning Parameters
4.2. Tracking Orientation
4.2.1. Ground-to-Air Tracking Antenna
4.2.2. Air-to-Ground Tracking Antenna
4.3. UAV Tracking Techniques
4.3.1. UAV Tracking Based on RSSI
4.3.2. UAV Tracking Based on TDOA
4.3.3. UAV Tracking Based on GPS
4.3.4. UAV Tracking Based on Monopulse
5. Multiple Input Multiple Output Technology
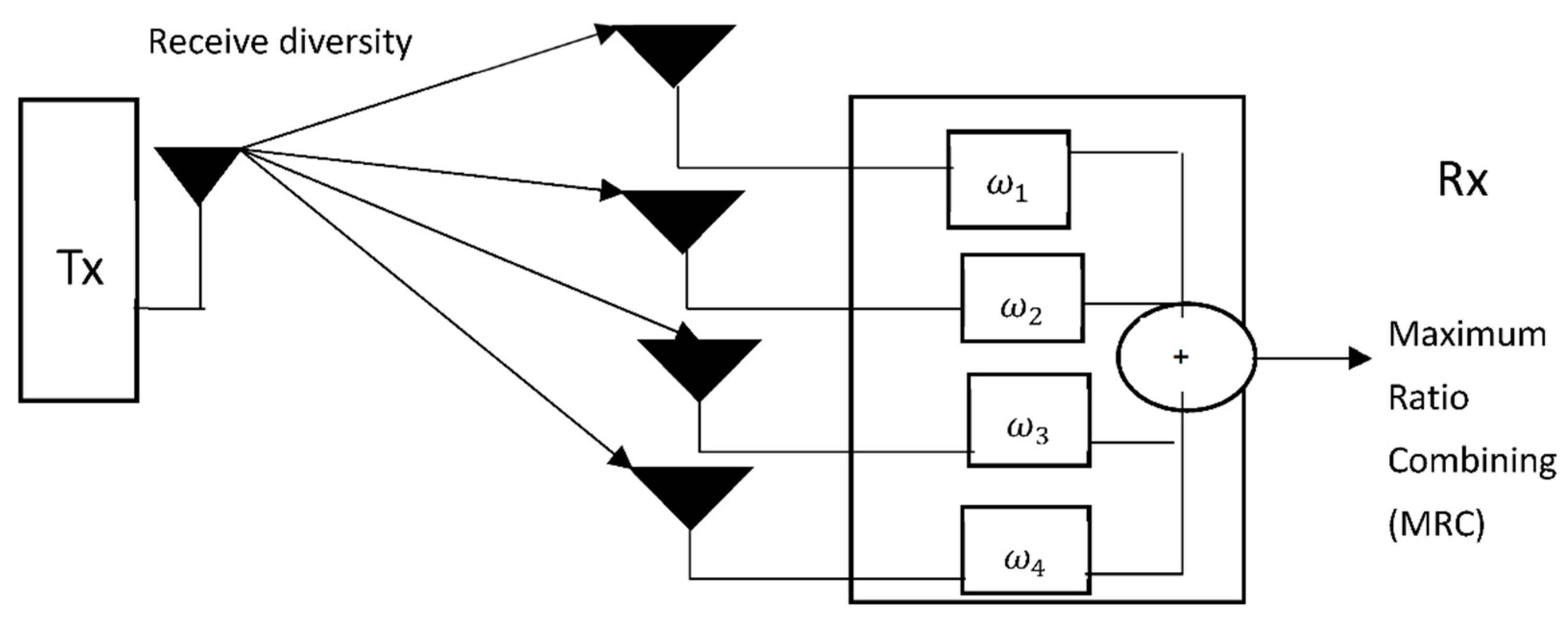
5.1. Receive Diversity
5.2. Transmit Diversity
5.3. Spatial Multiplexing
5.4. MIMO Beam Forming
5.5. Limitations of Deploying MIMO for UAV Tracking
- (a)
- Pilot Contamination: Pilot contamination is a scheme in MIMO technology in which the pilots or preambles are transmitted by the transmitter to acquire the channel state information for the determination of the beam weights [153,154,155]. The issue is very crucial and critical, and, as such, many researchers have proposed various strategies to address the issue. Reference [156] proposed the use of transmit power control schemes; reference [157] suggested the use of graph coloring scheme, in which difference nodes are assigned difference colors to mitigate against interference; and reference [158] studied the downlink capacity under massive MIMO pilot contamination.
- (b)
- MIMO Rank Deficiency: MIMO technology thrives under the assumption that the various multipath channels paths can be fully decoupled. Therefore, resulting to a full rank [159,160]. This implies that the channels are not carrying redundant information and instead of the signals to be uncorrelated, they are related. Rank deficiency is usually experienced in MIMO technology when there are insufficient scatterers in the environment which leads to modelling the channel as a Rician probability density function (PDF). This is instead of the popular Rayleigh fading channel with Rayleigh PDF with lots of delayed path. This issue can be addressed by introducing artificial scatteres in the signal path to induce NLoS scenario.
- (c)
- MIMO Complexity: The computational complexity of MIMO technology as we migrate from the domain “Non- Massive MIMO” to “ Massive MIMO” regimes. In massive MIMO, the antenna array cardinality increases in contrast to non-massive MIMO configuration. It is not surprising that massive MIMO can support numerous users in the context of MIMO multiuser (MIMO-MU). Using this technique, a GCS equipped with MIMO-MU can adequately support and control many UAVs, simultaneously. In other to address this issues, several MIMO complexity models have been proposed [161,162,163]. Most of the proposed strategies are centered on optimal antenna selection criteria.
5.6. Sectorized Beam-Forming Antenna for UAV Tracking
5.7. Future Research Trends
- i.
- Energy Efficiency: Generally, UAVs suffer from the problem of reduced size, weight, and power (SWaP). Energy efficiency is crucial to UAV antenna tracking, especially when mechanical beam steering tracking is involved [164,165]. Energy efficiency will also become critical if MU-MIMO is adopted as the core of UAV antenna tracking. Hence, more system modelling and energy efficiency is needed.
- ii.
- Wireless Channel Model: There is a need for adequate UAV wireless channel modelling, considering the fact that UAV is generally regarded as a LoS communication system. This assumption might not be feasible considering that there are lots UAV hobbist in crowded urban areas [166,167]. Secondly, the transmission range of UAVs varies according to the equipped transceiver pairs. It is plausible that the dynamic channel model will be develop to cater for this variation.
- iii.
- Performance of UAV Tracking Antenna in Poor Channel: Studies on the performance of UAV tracking antenna in poor channels are yet to be fully comprehended [168]. Most significantly, this study is imperative to avoid crashing the UAVs when the UAV is in critical mission. Therefore, a model must be developed to analyze this performance, in the absence of first person view (FPV) module.
- iv.
- Machine Learning: Machine learning is an evolving technology that can enhance the UAV tracking antenna system in terms of reduction in beam mis-alignment and bean weight prediction. Machine learning algorithms are divided into supervised learning, unsupervised learning (classification), and reinforced learning [169,170]. Towards this trend, machine learning beam tracking and weight optimization for mmwave multi-UAV links has been proposed [171].
- v.
- Steering Beam Alignment Error: Unlike other mobile nodes, UAV tracking must address the issue of beam alignment resulting from angular Doppler as the UAV moves from one place to the next. Steering beam alignment is not only used for the mechanical beam steering approach. This can also be experienced by the electronic beam steering resulting from poor channel modelling and incomplete channel state information. Hence, this opens up a great research area.
6. Conclusions
Author Contributions
Funding
Institutional Review Board Statement
Informed Consent Statement
Data Availability Statement
Conflicts of Interest
References
- Ghamry, K.A.; Kamel, M.A.; Zhang, Y. Multiple UAVs in forest fire fighting mission using particle swarm optimization. In Proceedings of the 2017 International Conference on Unmanned Aircraft Systems (ICUAS), Miami, FL, USA, 13–16 June 2017; pp. 1404–1409. [Google Scholar]
- Sherstjuk, V.; Zharikova, M.; Sokol, I. Forest fire-fighting monitoring system based on UAV team and remote sensing. In Proceedings of the 2018 IEEE 38th International Conference on Electronics and Nanotechnology (ELNANO), Kyiv, Ukraine, 24–26 April 2018; pp. 663–668. [Google Scholar]
- Wang, G.; Lan, Y.; Qi, H.; Chen, P.; Hewitt, A.; Han, Y. Field evaluation of an unmanned aerial vehicle (UAV) sprayer: Effect of spray volume on deposition and the control of pests and disease in wheat. J. Pest Manag. Sci. 2019, 75, 1546–1555. [Google Scholar] [CrossRef]
- Kharim, M.N.A.; Wayayok, A.; Shariff, A.R.M.; Abdullah, A.F.; Husin, E.M. Droplet deposition density of organic liquid fertilizer at low altitude UAV aerial spraying in rice cultivation. J. Comput. Electron. Agric. 2019, 167, 105045. [Google Scholar] [CrossRef]
- Alotaibi, E.T.; Alqefari, S.S.; Koubaa, A. Lsar: Multi-uav collaboration for search and rescue missions. IEEE Access 2019, 7, 55817–55832. [Google Scholar] [CrossRef]
- Silvagni, M.; Tonoli, A.; Zenerino, E.; Chiaberge, M. Multipurpose UAV for search and rescue operations in mountain avalanche events. Geomat. Nat. Hazards Risk 2017, 8, 18–33. [Google Scholar] [CrossRef] [Green Version]
- Erdelj, M.; Natalizio, E.; Chowdhury, K.R.; Akyildiz, I.F. Help from the sky: Leveraging UAVs for disaster management. IEEE Pervasive Comput. 2017, 16, 24–32. [Google Scholar] [CrossRef]
- Zhao, N.; Lu, W.; Sheng, M.; Chen, Y.; Tang, J.; Yu, F.R.; Wong, K.-K. UAV-assisted emergency networks in disasters. IEEE Wirel. Commun. 2019, 26, 45–51. [Google Scholar] [CrossRef] [Green Version]
- Hosseinalipour, S.; Rahmati, A.; Dai, H. Energy-Aware Stochastic UAV-Assisted Surveillance. IEEE Trans. Wirel. Commun. 2020, 20, 2820–2837. [Google Scholar] [CrossRef]
- Azari, M.M.; Sallouha, H.; Chiumento, A.; Rajendran, S.; Vinogradov, E.; Pollin, S. Key technologies and system trade-offs for detection and localization of amateur drones. IEEE Commun. Mag. 2018, 56, 51–57. [Google Scholar] [CrossRef] [Green Version]
- Chen, P.; He, Y. Analysis and Simulation of Multipath Effect in High Precision Satellite Communication Based on Ray-Tracing Approach. In Proceedings of the 2019 IEEE 2nd International Conference on Electronics and Communication Engineering (ICECE), Xi’an, China, 9–11 December 2019; pp. 185–189. [Google Scholar]
- Gawronski, W. Control and Pointing Challenges of the NASA Deep Space Network Antennas. 2002. Available online: trs.jpl.nasa.gov (accessed on 16 August 2021).
- Global Market Insight, Inc. Commercial Drone Market Growth—Industry Analysis Report 2024; Global Market Insights Inc.: Selbyville, DE, USA, 2021; Available online: https://www.gminsights.com/industry-analysis/unmanned-aerial-vehicles-UAV-commercial-drone-market (accessed on 13 June 2021).
- Bevelacqua, P.J.; Balanis, C.A. Geometry and weight optimization for minimizing sidelobes in wideband planar arrays. IEEE Trans. Antennas Propag. 2009, 57, 1285–1289. [Google Scholar] [CrossRef]
- Wu, H.; Wen, Y.; Zhang, J.; Wei, Z.; Zhang, N.; Tao, X. Energy-efficient and secure air-to-ground communication with jittering UAV. IEEE Trans. Veh. Technol. 2020, 69, 3954–3967. [Google Scholar] [CrossRef]
- Van Hoi, T.; Truong, N.X.; Duong, B.G. Improvement of Step Tracking Algorithm Used for Mobile Receiver System via Satellite. Int. J. Electr. Comput. Eng. 2015, 5, 280–288. [Google Scholar]
- Chi, X.; Luo, W.; Ding, Y.; Huo, L. Design of Control System for UAV Airborne Zoom Lens. Video Eng. 2011, 5. Available online: https://en.cnki.com.cn/Article_en/CJFDTotal-DSSS201105015.htm (accessed on 13 August 2021).
- Lee, J.-S.; Park, H.-B.; Jung, G.-Y.; Yu, K.-H. Design of virtual flight system for evaluation of solar powered UAV. In Proceedings of the IECON 2013—39th Annual Conference of the IEEE Industrial Electronics Society, Vienna, Austria, 10–13 November 2013; pp. 3463–3467. [Google Scholar]
- Sabanci, K. Artificial intelligence based power consumption estimation of two-phase brushless DC motor according to FEA parametric simulation. Measurement 2020, 155, 107553. [Google Scholar] [CrossRef]
- Sarhan, A.A.; Hafez, A. Uav brushless dc motor speed control via adaptive neuro fuzzy inference systems (anfis) and self-adaptive pid. In Proceedings of the AIAA Scitech 2019 Forum, San Diego, CA, USA, 7–11 January 2019; p. 1563. [Google Scholar]
- Kelly, C.; McCain, C.; Bertels, J.; Weekley, S.; Moody, K.J.; Utley, L.; Copher, G.; Totty, C.; Booth, T.; Spaulding, L.; et al. Design of a Geared Turbofan Module for Small, Unmanned Aircraft Applications. In Proceedings of the AIAA Scitech 2021 Forum, Nashville, TN, USA, 11–15 January 2021; p. 0262. [Google Scholar]
- Liu, C.; Yu, J.; Lee, C.H. A new electric magnetic-geared machine for electric unmanned aerial vehicles. IEEE Trans. Magn. 2017, 53, 1–6. [Google Scholar] [CrossRef]
- Mach, V.; Kovář, S.; Valouch, J.; Adámek, M. Brushless DC motor control on arduino platform. Prz. Elektrotech. 2018, 94, 105–107. [Google Scholar] [CrossRef] [Green Version]
- Elkerdany, M.S.; Safwat, I.M.; Yossef, A.M.M.; Elkhatib, M.M. A Comparative Study on Using Brushless DC Motor Six-Switch and Four-Switch Inverter for UAV Propulsion System. In Proceedings of the 2020 12th International Conference on Electrical Engineering (ICEENG), Cairo, Egypt, 7–9 July 2020; pp. 58–61. [Google Scholar]
- Soni, U.K.; Tripathi, R.K. A low-power prototype of contactless field power controlled BLAC and BLDC motors. Wirel. Power Transf. 2020, 7, 106–115. [Google Scholar] [CrossRef]
- Holleboom, K. Self-learning step track system to point an antenna at a geostationary satellite using a PC. Wirel. Power Transf. 1987, 7, 481–487. [Google Scholar] [CrossRef]
- Wu, Z.; Yao, M.; Ma, H.; Jia, W.; Tian, F. Low-cost antenna attitude estimation by fusing inertial sensing and two-antenna GPS for vehicle-mounted satcom-on-the-move. IEEE Trans. Veh. Technol. 2012, 62, 1084–1096. [Google Scholar] [CrossRef]
- Kazemi, R.; Palmer, J.; Quaiyum, F.; Fathy, A.E. Steerable miniaturised printed quadrifilar helical array antenna using digital phase shifters for BGAN/GPS applications. IET Microw. Antennas Propag. 2018, 12, 1196–1204. [Google Scholar] [CrossRef]
- Tiezzi, F.; Padilla, J.; Vigano, C. S-band transmit/receive antenna with electronically switched beams for mobile satellite systems. In Proceedings of the 2012 6th Advanced Satellite Multimedia Systems Conference (ASMS) and 12th Signal Processing for Space Communications Workshop (SPSC), Vigo, Spain, 5–7 September 2012; pp. 62–67. [Google Scholar]
- Pan, X.; Yan, C.; Zhang, J. Nonlinearity-based single-channel monopulse tracking method for OFDM-aided UAV A2G communications. IEEE Access 2019, 7, 148485–148494. [Google Scholar] [CrossRef]
- Nugroho, G.; Dectaviansyah, D. Design, manufacture and performance analysis of an automatic antenna tracker for an unmanned aerial vehicle (UAV). J. Mechatron. Electr. Power Veh. Technol. 2018, 9, 32–40. [Google Scholar] [CrossRef]
- Ibrahim, D. Microcontroller Projects in C for the 8051; Newnes: Oxford, UK, 2000. [Google Scholar]
- Parai, M.K.; Das, B.; Das, G. An overview of microcontroller unit: From proper selection to specific application. Int. J. Soft Comput. Eng. (IJSCE) 2013, 2, 145–147. [Google Scholar]
- Van den Herrewegen, J.; Oswald, D.; Garcia, F.D.; Temeiza, Q. Fill your Boots: Enhanced Embedded Bootloader Exploits via Fault Injection and Binary Analysis. IACR Trans. Cryptogr. Hardw. Embed. Syst. (TCHES) 2021, 2021, 56–81. [Google Scholar]
- Jain, A.; Bagherwal, R. Design and implementation of a smart solid waste monitoring and collection system based on Internet of Things. In Proceedings of the 2017 8th International Conference on Computing, Communication and Networking Technologies (ICCCNT), Delhi, India, 3–5 July 2017; pp. 1–5. [Google Scholar]
- Gawronski, W. Antenna control systems: From PI to H/sub/spl infin. IEEE Antennas Propag. Mag. 2001, 43, 52–60. [Google Scholar] [CrossRef]
- Kumar, B.S.; Raj, D.V.; Praveena, S. Performance of BLDC Motor for Enhancing the Response of Antenna’s Positioner Using PI Controller. In Innovations in Electronics and Communication Engineering; Springer: Singapore, 2020; pp. 171–183. [Google Scholar]
- Cho, C.-H.; Lee, S.-H.; Kwon, T.-Y.; Lee, C. Antenna Control System Using Step Tracking Algorithm with H∞ Controller. Int. J. Control Autom. Syst. 2003, 1, 83–92. [Google Scholar]
- Mulla, A.A.; Vasambekar, P.N. Overview on the development and applications of antenna control systems. Annu. Rev. Control 2016, 41, 47–57. [Google Scholar] [CrossRef]
- Patil, N.; Behere, D. Performance analysis of PID and LQG control algorithms for Antenna Position Control system. i-Manag. J. Electr. Eng. 2019, 13, 12. [Google Scholar]
- Hirose, K.; Hata, K.; Nakano, H. Modified Crossed-Wire Antennas Radiating a Circularly Polarized Conical Beam. Int. J. Antennas Propag. 2020, 2020, 2759312. [Google Scholar] [CrossRef]
- Ndip, I.; Huhn, M.; Brandenburger, F.; Ehrhardt, C.; Schneider-Ramelow, M.; Reichl, H.; Lang, K.D.; Henke, H. Experimental verification and analysis of analytical model of the shape of bond wire antennas. Electron. Lett. 2017, 53, 906–908. [Google Scholar] [CrossRef]
- Banerjee, A.; Patra, K.; Chatterjee, S.; Gupta, B.; Bandyopadhyay, A.K. Theoretical Investigations on CPW-Fed Single and Dual-Polarized Slot Radiators Using Schelkunoff’s Biconical Antenna Analysis. Radioengineering 2020, 29. [Google Scholar] [CrossRef]
- Dubrovka, F.F.; Piltyay, S. Ultrawideband microwave biconical high-gain antenna for dual-band systems of omnidirectional radio monitoring. Radioelectron. Commun. Syst. 2020, 63, 619–632. [Google Scholar] [CrossRef]
- Iizuka, H.; Hall, P.S. Left-handed dipole antennas and their implementations. IEEE Trans. Antennas Propag. 2007, 55, 1246–1253. [Google Scholar] [CrossRef]
- Fukushima, T.; Michishita, N.; Morishita, H.; Fujimoto, N. Coaxially fed monopole antenna with choke structure using left-handed transmission line. IEEE Trans. Antennas Propag. 2017, 65, 6856–6863. [Google Scholar] [CrossRef]
- Moreno, C.; Boreman, G. Impedance-Matching Technique for an Infrared Folded Dipole Antenna. J. Infrared Millim. Terahertz Waves 2021, 42, 504–513. [Google Scholar] [CrossRef]
- Iyer, A.; Das, S. Design of a Highly Miniaturized, Inherently Matched, Spherical Folded Dipole Antenna and Evaluation of its Quality Factor. IEEE Trans. Antennas Propag. 2021. [Google Scholar] [CrossRef]
- Chiang, S.-M.; Lee, T.-L.; Lim, E.-H.; Chee, P.-S.; Lee, Y.-H.; Bong, F.-L.; Phua, Y.-N.; Chung, B.-K. Miniature Folded Dipole in Rotational Symmetry for Metal Tag Design. Prog. Electromagn. Res. C 2021, 110, 55–66. [Google Scholar] [CrossRef]
- Ma, Y.; Wang, J. Theoretical Modeling and Analysis of Circularly Polarized Annular Leaky-Wave Antenna Based on Travelling-Wave Structure. IEEE Access 2021, 9, 29392–29400. [Google Scholar] [CrossRef]
- Leuteritz, T.; Farheen, H.; Qiao, S.; Spreyer, F.; Schlickriede, C.; Zentgraf, T.; Myroshnychenko, V.; Förstner, J.; Linden, S. Dielectric travelling wave antennas for directional light emission. Opt. Express 2021, 29, 14694–14704. [Google Scholar] [CrossRef]
- Bavedila, F.; Tannoury, C.; Lin, Q.; Lepilliet, S.; Avramovic, V.; Okada, E.; Yarekha, D.; Faucher, M.; Troadec, D.; Lampin, J.-F.; et al. Development of a millimeter-long Travelling wave THz photomixer. J. Lightwave Technol. 2021, 39, 4700–4709. [Google Scholar] [CrossRef]
- Kraus, J.D.; Marhefka, R.J.; Khan, A.S. Antennas and Wave Propagation; Tata McGraw-Hill Education: New York, NY, USA, 2006. [Google Scholar]
- Tooley, M.; Wyatt, D. Aircraft Communications and Navigation Systems; Routledge: London, UK, 2017. [Google Scholar]
- Oldenburg, B. The Yagi–Uda Antenna: An Illustrated Primer. Available online: https://duo.com/labs/tech-notes/the-yagi-uda-antenna-an-illustrated-primer (accessed on 16 August 2021).
- Anabi, K.H.; Islam, M.; Tiang, J. A quarter-wave Y-shaped patch antenna with two unequal arms for wideband Ultra High Frequency Radio-frequency identification (UHF RFID) operations. Int. J. Phys. Sci. 2011, 6, 6200–6209. [Google Scholar]
- Valipour, M.; Sadeghikia, F.; Horestani, A.K.; Himdi, M. Beamwidth Control of a Helical Antenna Using Truncated Conical Plasma Reflectors. In Proceedings of the 2020 14th European Conference on Antennas and Propagation (EuCAP), Copenhagen, Denmark, 15–20 March 2020; pp. 1–25. [Google Scholar]
- Sadeghikia, F.; Valipour, M.; Noghani, M.T.; Ja’afar, H.; Horestani, A.K. 3D Beam Steering End-Fire Helical Antenna with Beamwidth Control Using Plasma Reflectors. IEEE Trans. Antennas Propag. 2020, 69, 2507–2512. [Google Scholar] [CrossRef]
- Gibilisco, S. What Is a Helical Antenna? 21 June 2014. Available online: http://www.amazon.com/Ham-Shortwave-Radio-Electronics-Hobbyist/dp/0071832912/ (accessed on 16 August 2021).
- Available online: https://www.rfwireless-world.com/calculators/Bowtie-Antenna-Calculator.html (accessed on 16 August 2021).
- Elzwawi, G.H.; Kesavan, A.; Alwahishi, R.; Denidni, T.A. A New Corner-Reflector Antenna With Tunable Gain Based on Active Frequency Selective Surfaces. IEEE Open J. Antennas Propag. 2020, 1, 88–94. [Google Scholar] [CrossRef]
- Alhaj Abbas, A.; El-Absi, M.; Abuelhaija, A.; Solbach, K.; Kaiser, T. Corner reflector tag with RCS frequency coding by dielectric resonators. IET Microw. Antennas Propag. 2021, 15, 560–570. [Google Scholar] [CrossRef]
- Mamedes, D.F.; Neto, A.G.; Bornemann, J. Reconfigurable Corner Reflector Using PIN-Diode-Switched Frequency Selective Surfaces. In Proceedings of the 2020 IEEE International Symposium on Antennas and Propagation and North American Radio Science Meeting, Montreal, QC, Canada, 5–10 July 2020; pp. 127–128. [Google Scholar]
- Ng, T.; Lee, K. Theory of corner-reflector antenna with tilted dipole. In IEE Proceedings H (Microwaves, Optics and Antennas); IET Digital Library: London, UK, 1982; pp. 11–17. [Google Scholar]
- Sugama, C.; Chandrasekar, V. Innovative approach to achieve tri-band capabilities by parabolic antenna stacking. In Proceedings of the 2019 IEEE 40th Sarnoff Symposium, Newark, NJ, USA, 23–24 September 2019; pp. 1–3. [Google Scholar]
- Kalra, S.; Munjal, B.; Singh, V.R.; Mahajan, M.; Bhattacharya, B. Investigations on the suitability of PEEK material under space environment conditions and its application in a parabolic space antenna. Adv. Space Res. 2019, 63, 4039–4045. [Google Scholar] [CrossRef]
- Choni, Y.I.; Romanov, A.; Danilov, I.Y.; Mochalov, V.; Bartenev, V.; Shemyakov, A. On the efficiency of defocusing a large satellite multi-beam hybrid parabolic antenna. IOP Conf. Ser. Mater. Sci. Eng. 2018, 450, 022020. [Google Scholar] [CrossRef]
- Serhir, M.; Lesselier, D. Wideband reflector-backed folded bowtie antenna for ground penetrating radar. IEEE Trans. Antennas Propag. 2017, 66, 1056–1063. [Google Scholar] [CrossRef]
- Khajeh-Khalili, F.; Amin Honarvar, M.; Dadgarpour, A. High-gain bow-tie antenna using array of two-sided planar metamaterial loading for H-band applications. Int. J. RF Microw. Comput. Aided Eng. 2018, 28, e21476. [Google Scholar] [CrossRef]
- Kyei, A.; Sim, D.U.; Jung, Y.B. Compact log-periodic dipole array antenna with bandwidth-enhancement techniques for the low frequency band. IET Microw. Antennas Propag. 2017, 11, 711–717. [Google Scholar] [CrossRef]
- Chen, J.; Ludwig, J.; Lim, S. Design of a compact log-periodic dipole array using T-shaped top loadings. IEEE Antennas Wirel. Propag. Lett. 2017, 16, 1585–1588. [Google Scholar] [CrossRef]
- Bhattacharya, A.; Joardar, S.; Nag, A.; Halder, D.; Debnath, M. Wind-proof log periodic dipole array for capturing solar radio bursts. Int. J. Eng. Sci. Technol. 2010, 2, 4213. [Google Scholar]
- Zhao, X.; Yeo, S.P.; Ong, L.C. Decoupling of inverted-F antennas with high-order modes of ground plane for 5G mobile MIMO platform. IEEE Trans. Antennas Propag. 2018, 66, 4485–4495. [Google Scholar] [CrossRef]
- Shoaib, M.M.; Abrar, S. Planar Inverted-F Antennas for Mobile Devices: An Empirical Study of the Resonant Frequency. In Proceedings of the 2020 IEEE Texas Symposium on Wireless and Microwave Circuits and Systems (WMCS), Waco, TX, USA, 26–28 May 2020; pp. 1–7. [Google Scholar]
- Ganesh, S.; Choukiker, Y.K. Dual band frequency tunable planar inverted-F antenna for mobile handheld devices. Int. J. RF Microw. Comput. Aided Eng. 2020, 30, e22150. [Google Scholar] [CrossRef]
- Dixit, A.S.; Kumar, S. A survey of performance enhancement techniques of antipodal Vivaldi antenna. IEEE Access 2020, 8, 45774–45796. [Google Scholar] [CrossRef]
- Dixit, A.S.; Kumar, S.; Urooj, S.; Malibari, A. A Highly Compact Antipodal Vivaldi Antenna Array for 5G Millimeter Wave Applications. Sensors 2021, 21, 2360. [Google Scholar] [CrossRef]
- Dixit, A.S.; Kumar, S. A miniaturized antipodal Vivaldi antenna for 5G communication applications. In Proceedings of the 2020 7th International Conference on Signal Processing and Integrated Networks (SPIN), Noida, India, 27–28 February 2020; pp. 800–803. [Google Scholar]
- Yin, Z.; He, G.; Yang, X.-X.; Gao, S. Miniaturized Ultrawideband Half-Mode Vivaldi Antenna Based on Mirror Image Theory. IEEE Antennas Wirel. Propag. Lett. 2020, 19, 695–699. [Google Scholar] [CrossRef]
- Cheng, H.; Hua, L.; Wang, Y.; Yang, H.; Lu, T. Design of high gain Vivaldi antenna with a compound optical lens inspired by metamaterials. Int. J. RF Microw. Comput. Aided Eng. 2021, 31, e22570. [Google Scholar] [CrossRef]
- Ruvio, G.; Gaetano, D.; Ammann, M.J.; McEvoy, P. Antipodal Vivaldi antenna for water pipe sensor and telemetry. Int. J. Geophys. 2012, 2012, 916176. [Google Scholar] [CrossRef]
- Lo, Y.; Lee, S.; Lee, Q. Optimization of directivity and signal-to-noise ratio of an arbitrary antenna array. Proc. IEEE 1966, 54, 1033–1045. [Google Scholar] [CrossRef]
- Ali, A.H.; Al-Ja’afari, M.A.; Abdulwahed, S.H. Performance assessment of antenna array for an unmanned air vehicle. Int. J. Electr. Comput. Eng. 2020, 10, 2579. [Google Scholar] [CrossRef]
- Kummer, W.H. Basic array theory. Proc. IEEE 1992, 80, 127–140. [Google Scholar] [CrossRef]
- Alhasan, E.; Alzubaidi, A. A design of software driver for a satellite dish antenna positioning system. IOSR J. Eng. (IOSRJEN) 2015, 5, 42–44. [Google Scholar]
- Iswandi, I.; Suryamanggala, A.R.; Wicaksono, D.; Rahayu, E.S. Design and comparative study among antennas of GCS for telemetry communication system of UAV. IJITEE (Int. J. Inf. Technol. Electr. Eng.) 2019, 3, 99–105. [Google Scholar]
- Fusselman, J.; Gilliam, M.; Shrestha, Y.; Zhang, Y.R.; Kelly, K. Ultra-compact ultra-wideband radar for high-speed target tracking. Radar Sens. Technol. 2021, 5, 1172–1180. [Google Scholar]
- Zheng, Y.; Zhou, J.; Wang, W.; Chen, M. A Low-Profile Broadband Circularly Polarized Antenna Array for UAV Ground-to-Air Communication. In Proceedings of the 2018 IEEE Asia-Pacific Conference on Antennas and Propagation (APCAP), Auckland, New Zealand, 5–8 August 2018; pp. 219–220. [Google Scholar]
- Ganti, S.R.; Kim, Y. Design of low-cost on-board auto-tracking antenna for small UAS. In Proceedings of the 2015 12th International Conference on Information Technology-New Generations, Las Vegas, NV, USA, 13–15 April 2015; pp. 273–279. [Google Scholar]
- Owen, M.; Yu, H.; McLain, T.; Beard, R. Moving ground target tracking in urban terrain using air/ground vehicles. In Proceedings of the 2010 IEEE Globecom Workshops, Miami, FL, USA, 6–10 December 2010; pp. 1816–1820. [Google Scholar]
- Yan, C.; Fu, L.; Luo, X.; Chen, M. A brief overview of waveforms for UAV air-to-ground communication systems. In Proceedings of the 3rd International Conference on Vision, Image and Signal Processing, Vancouver, BC, Canada, 26–28 August 2019; pp. 1–7. [Google Scholar]
- Shi, Y.; Enami, R.; Wensowitch, J.; Camp, J. Measurement-based characterization of LOS and NLOS drone-to-ground channels. In Proceedings of the 2018 IEEE Wireless Communications and Networking Conference (WCNC), Barcelona, Spain, 15–18 April 2018; pp. 1–6. [Google Scholar]
- Khan, I.U.; Alturki, R.; Alyamani, H.J.; Ikram, M.A.; Aziz, M.A.; Hoang, V.T.; Cheema, T.A. RSSI-controlled long-range communication in secured IoT-enabled unmanned aerial vehicles. Mob. Inf. Syst. 2021, 2021, 5523553. [Google Scholar]
- Gustafsson, J. UAV Tracking Device Using 2.4 GHz Video Transmitter. Master’s Thesis, Department of Computer Science and Electrical Engineering, Lulea University of Technology, Luleå, Sweden, 2005. [Google Scholar]
- Chang, G. On kalman filter for linear system with colored measurement noise. J. Geod. 2014, 88, 1163–1170. [Google Scholar] [CrossRef]
- Assa, A.; Janabi-Sharifi, F. A Kalman filter-based framework for enhanced sensor fusion. IEEE Sens. J. 2015, 15, 3281–3292. [Google Scholar] [CrossRef]
- Ash, J.N.; Moses, R.L. On the relative and absolute positioning errors in self-localization systems. IEEE Trans. Signal Process. 2008, 56, 5668–5679. [Google Scholar] [CrossRef]
- Ouyang, X.; Zeng, F.; Lv, D.; Dong, T.; Wang, H. Cooperative navigation of UAVs in GNSS-denied area with colored RSSI measurements. IEEE Sens. J. 2020, 21, 2194–2210. [Google Scholar] [CrossRef]
- Soni, A.; Upadhyay, R.; Kumar, A. Analysis of colored noise and its effect on BER performance of wireless communication. J. Electr. Electron. Eng. 2019, 12, 45–50. [Google Scholar]
- Hu, Y.; Leus, G. Robust differential received signal strength-based localization. IEEE Trans. Signal Process. 2017, 65, 3261–3276. [Google Scholar] [CrossRef] [Green Version]
- Yan, J.; Zhao, H.; Luo, X.; Chen, C.; Guan, X. RSSI-based heading control for robust long-range aerial communication in UAV networks. IEEE Internet Things J. 2018, 6, 1675–1689. [Google Scholar] [CrossRef]
- Fletcher, F.; Ristic, B.; Musicki, D. Recursive estimation of emitter location using TDOA measurements from two UAVs. In Proceedings of the 2007 10th International Conference on Information Fusion, Quebec, QC, Canada, 9–12 July 2007; pp. 1–8. [Google Scholar]
- Comparison of Time-Difference-of-Arrival and Angle-of-Arrival Methods of Signal Geolocation; Report ITU-R SM.2211-2; ITU: Geneva, Switzerland, 2018.
- Wang, W.; Bai, P.; Liang, X.; Zhang, J.; He, L. Performance analysis for TDOA localization using UAVs with flight disturbances. In Proceedings of the 2017 20th International Conference on Information Fusion (Fusion), Xi’an, China, 10–13 July 2017; pp. 1–6. [Google Scholar]
- Khalaf-Allah, M. Particle filtering for three-dimensional TDoA-based positioning using four anchor nodes. Sensors 2020, 20, 4516. [Google Scholar] [CrossRef] [PubMed]
- Chadil, N.; Russameesawang, A.; Keeratiwintakorn, P. Real-time tracking management system using GPS, GPRS and Google earth. In Proceedings of the 2008 5th International Conference on Electrical Engineering/Electronics, Computer, Telecommunications and Information Technology, Krabi, Thailand, 14–17 May 2008; pp. 393–396. [Google Scholar]
- Farahani, S.M.; Abshouri, A.A.; Nasiri, B.; Meybodi, M.R. A Gaussian firefly algorithm. Int. J. Mach. Learn. Comput. 2011, 1, 448. [Google Scholar] [CrossRef] [Green Version]
- Changoluisa, I.; Barzallo, J.; Pantoja, J.; Cayo, S.; Navarro-Méndez, D.V.; Cruz, P.J. A Portable UAV Tracking System for Communications and Video Transmission. In Proceedings of the 2019 IEEE 4th Colombian Conference on Automatic Control (CCAC), Medellin, Colombia, 15–18 October 2019; pp. 1–6. [Google Scholar]
- Patel, J.S.; Fioranelli, F.; Anderson, D. Review of radar classification and RCS characterisation techniques for small UAVs or drones. IET Radar Sonar Navig. 2018, 12, 911–919. [Google Scholar] [CrossRef]
- Phelipot, M. Method to Determine the Azimuth of a Target by Means of a Radar, Especially of the ASR Type. U.S. Patent 6,680,68, 20 January 2004. [Google Scholar]
- Savazzi, P.; Goldoni, E.; Vizziello, A.; Favalli, L.; Gamba, P. A wiener-based RSSI localization algorithm exploiting modulation diversity in LoRa networks. IEEE Sens. J. 2019, 19, 12381–12388. [Google Scholar] [CrossRef]
- Wang, Z.; Sinha, A.; Willett, P.; Bar-Shalom, Y. Angle estimation for two unresolved targets with monopulse radar. IEEE Trans. Aerosp. Electron. Syst. 2004, 40, 998–1019. [Google Scholar] [CrossRef]
- Sherman, S.M.; Barton, D.K. Monopulse Principles and Techniques; Artech House: Oxford, UK, 2011. [Google Scholar]
- An, C.-h.; Yang, J.; Ran, R.; Pak, U.Y.; Ryu, Y.-J.; Kim, D.K. Tactical UAV Localization Using Coordinated Monopulse Trackers with Low Rate Feedback. Int. J. Adv. Robot. Syst. 2013, 10, 302. [Google Scholar] [CrossRef]
- Shang, Y.-H.; Luo, H.; Yu, F.-X. A phase calibration method for single channel monopulse tracking systems based on curve fitting technique. In Proceedings of the 2012 Second International Conference on Instrumentation, Measurement, Computer, Communication and Control, Harbin, China, 8–10 December 2012; pp. 577–580. [Google Scholar]
- Champion, J. A 3-Channel Monopulse Tracking Receiver System Using Commercial Off-the-Shelf Equipment. In International Foundation for Telemetering Proceedings; International Foundation for Telemetering: San Diego, CA, USA, 1998; pp. 245–253. [Google Scholar]
- Zheng, Y.; Tseng, S.-M.; Yu, K.-B. Closed-form four-channel monopulse two-target resolution. IEEE Trans. Aerosp. Electron. Syst. 2003, 39, 1083–1089. [Google Scholar] [CrossRef]
- Zhang, X.; Willett, P.; Bar-Shalom, Y. Detection and localization of multiple unresolved extended targets via monopulse radar signal processing. IEEE Trans. Aerosp. Electron. Syst. 2009, 45, 455–472. [Google Scholar] [CrossRef] [Green Version]
- Campbell, D.; Reddy, C. Optimal numerical analysis of electronically-steered arrays onboard electrically-large platforms. In Proceedings of the 2017 IEEE International Symposium on Antennas and Propagation & USNC/URSI National Radio Science Meeting, San Diego, CA, USA, 9–14 July 2017; pp. 859–860. [Google Scholar]
- Li, J.; Sun, Y.; Xiao, L.; Zhou, S.; Koksal, C.E. Analog beam tracking in linear antenna arrays: Convergence, optimality, and performance. In Proceedings of the 2017 51st Asilomar Conference on Signals, Systems, and Computers, Pacific Grove, CA, USA, 29 October–1 November 2017; pp. 1193–1198. [Google Scholar]
- Ngamjanyaporn, P.; Kittiyanpunya, C.; Krairiksh, M. A switch-beam circular array antenna using pattern reconfigurable Yagi–Uda antenna for space communications. In Proceedings of the 2017 International Symposium on Antennas and Propagation (ISAP), Phuket, Thailand, 30 October–2 November 2017; pp. 1–2. [Google Scholar]
- Shi, L.; Allen, C.; Ewing, M.; Keshmiri, S.; Zakharov, M.; Florencio, F.; Niakan, N.; Knight, R. Multichannel sense-and-avoid radar for small UAVs. In Proceedings of the 2013 IEEE/AIAA 32nd Digital Avionics Systems Conference (DASC), East Syracuse, NY, USA, 5–10 October 2013; pp. 6E2-1–6E2-10. [Google Scholar]
- Ho, K.; Xu, W. An accurate algebraic solution for moving source location using TDOA and FDOA measurements. IEEE Trans. Signal Process. 2004, 52, 2453–2463. [Google Scholar] [CrossRef]
- Wang, Y.; Soltani, M. An attitude heading and reference system for marine satellite tracking antenna. IEEE Trans. Ind. Electron. 2016, 64, 3095–3104. [Google Scholar] [CrossRef]
- Soltani, M.N.; Izadi-Zamanabadi, R.; Wisniewski, R. Reliable control of ship-mounted satellite tracking antenna. IEEE Trans. Control Syst. Technol. 2010, 19, 221–228. [Google Scholar] [CrossRef] [Green Version]
- Yalcin, Y.; Kurtulan, S. A Rooftop Antenna Tracking System: Design, Simulation, and Implementation. IEEE Antennas Propag. Mag. 2009, 51, 214–224. [Google Scholar] [CrossRef]
- Gatti, R.V.; Rossi, R. A dual-polarization slotted waveguide array antenna with polarization-tracking capability and reduced sidelobe level. IEEE Trans. Antennas Propag. 2016, 64, 1567–1572. [Google Scholar] [CrossRef]
- Ghassemiparvin, B.; Ghalichechian, N. Design, fabrication, and testing of a helical antenna using 3D printing technology. Microw. Opt. Technol. Lett. 2020, 62, 1577–1580. [Google Scholar] [CrossRef]
- Zhao, J.; Gao, F.; Wu, Q.; Jin, S.; Wu, Y.; Jia, W. Beam tracking for UAV mounted SatCom on-the-move with massive antenna array. IEEE J. Sel. Areas Commun. 2018, 36, 363–375. [Google Scholar] [CrossRef] [Green Version]
- Gao, X.; Dai, L.; Zhang, Y.; Xie, T.; Dai, X.; Wang, Z. Fast channel tracking for terahertz beamspace massive MIMO systems. IEEE Trans. Veh. Technol. 2016, 66, 5689–5696. [Google Scholar] [CrossRef]
- Xie, H.; Gao, F.; Zhang, S.; Jin, S. Spatial-temporal BEM and channel estimation strategy for massive MIMO time-varying systems. In Proceedings of the 2016 IEEE Global Communications Conference (GLOBECOM), Washington, DC, USA, 4–8 December 2016; pp. 1–6. [Google Scholar]
- Mailaender, L.; Palat, R.C.; Nardozza, G.; Ng, C. Receive Diversity Options for Single Panel 4G–5G Antennas. In Proceedings of the 2020 IEEE 3rd 5G World Forum (5GWF), Bangalore, India, 10–12 September 2020; pp. 75–79. [Google Scholar]
- Adachi, F.; Takahashi, R. User-wise joint transmit-receive diversity for multi-user MIMO. IEICE Proc. Ser. 2020, 63, SC1-2. [Google Scholar]
- Wang, Z.; Dong, J.; Yu, J.; Yu, Z.; Lin, S.; Li, K. The Air-Ground Integrated MIMO Cooperative Relay Beamforming Wireless Ad-Hoc Network Technology Research That Based on Maximum Ratio Combining. In Proceedings of the 2020 International Workshop on Electronic Communication and Artificial Intelligence (IWECAI), Shanghai, China, 12–14 June 2020; pp. 11–19. [Google Scholar]
- Tomura, K.; Sanada, Y.; Kobayashi, Y. MIMO Detection with Block Parallel Gibbs Sampling and Maximum Ratio Combining. In Proceedings of the 2020 IEEE REGION 10 CONFERENCE (TENCON), Osaka, Japan, 16–19 November 2020; pp. 496–500. [Google Scholar]
- Maheswaran, P.; Selvaraj, M.D. Analysis of selection combining receiver performance for time successive SSK-M-ary modulation. IEEE Wirel. Commun. Lett. 2020, 9, 1581–1585. [Google Scholar] [CrossRef]
- Hajri, N.; Khedhiri, R.; Youssef, N. On selection combining diversity in dual-hop relaying systems over double rice channels: Fade statistics and performance analysis. IEEE Access 2020, 8, 72188–72203. [Google Scholar] [CrossRef]
- Ghazi-Maghrebi, S.; Akbarian, B. Improved Performance of Alamouti Scheme Using Cyclic Delay Diversity and Doppler Diversity for MIMO Systems-Based. Wirel. Pers. Commun. 2021, 116, 1971–1992. [Google Scholar] [CrossRef]
- Yeh, H.-G. Design adaptive MIMO space-time-frequency conjugate two-path OFDM systems. IEEE Syst. J. 2018, 13, 2443–2453. [Google Scholar] [CrossRef]
- Jamal, M.N.; Hassan, S.A.; Jayakody, D.N.K.; Rodrigues, J.J. Efficient nonorthogonal multiple access: Cooperative use of distributed space-time block coding. IEEE Veh. Technol. Mag. 2018, 13, 70–77. [Google Scholar] [CrossRef]
- Solodovnyk, V.I.; Naumenko, M. Space-frequency block coding with two-mode index modulation OFDM and increased stability to channel frequency selectivity. Int. J. Radioelectron. Commun. Syst. 2020, 63, 186–200. [Google Scholar] [CrossRef]
- Raghavendra, M.; Acharya, U.S. Non-orthogonal space–frequency block codes from cyclic codes for wireless systems employing MIMO-OFDM with index modulation. J. Phys. Commun. 2019, 34, 174–187. [Google Scholar]
- Yoo, I.; Imani, M.F.; Sleasman, T.; Pfister, H.D.; Smith, D.R. Enhancing capacity of spatial multiplexing systems using reconfigurable cavity-backed metasurface antennas in clustered MIMO channels. IEEE Trans. Commun. 2018, 67, 1070–1084. [Google Scholar] [CrossRef]
- Kalachikov, A.A.; Shelkunov, N.S. Performance evaluation of the detection algorithms for MIMO spatial multiplexing based on analytical wireless MIMO channel models. In Proceedings of the 2018 XIV International Scientific-Technical Conference on Actual Problems of Electronics Instrument Engineering (APEIE), Novosibirsk, Russia, 2–6 October 2018; pp. 180–183. [Google Scholar]
- Wang, C.; Au, E.K.; Murch, R.D.; Mow, W.H.; Cheng, R.S.; Lau, V. On the performance of the MIMO zero-forcing receiver in the presence of channel estimation error. IEEE Trans. Wirel. Commun. 2007, 6, 805–810. [Google Scholar] [CrossRef]
- Zhang, Y.; Cao, H.; Zhou, M.; Yang, L.; Networks. Cell-free massive MIMO: Zero forcing and conjugate beamforming receivers. J. Commun. 2019, 21, 529–538. [Google Scholar] [CrossRef]
- Lim, H.; Yoon, D. On the Distribution of SINR for MMSE MIMO Systems. IEEE Trans. Commun. 2019, 67, 4035–4046. [Google Scholar] [CrossRef]
- Dutta, A.K. Performance analysis of hardware impairment aware MMSE receiver with channel and CFO estimation error statistics for a large MIMO-OFDM system. IEEE Trans. Veh. Technol. 2019, 68, 11827–11837. [Google Scholar] [CrossRef]
- Nayebi, E.; Rao, B.D. Semi-blind channel estimation for multiuser massive MIMO systems. IEEE Trans. Signal Process. 2017, 66, 540–553. [Google Scholar] [CrossRef]
- Ma, S.; Wang, G.; Fan, R.; Tellambura, C. Blind channel estimation for ambient backscatter communication systems. IEEE Commun. Lett. 2018, 22, 1296–1299. [Google Scholar] [CrossRef]
- Ma, Y.; Zhou, G.; Lin, S. ELiMO: Eliminating channel feedback from MIMO. In Proceedings of the 2017 IEEE International Conference on Smart Computing (SMARTCOMP), Hong Kong, China, 29–31 May 2017; pp. 1–8. [Google Scholar]
- Vasisht, D.; Kumar, S.; Rahul, H.; Katabi, D. Eliminating channel feedback in next-generation cellular networks. In Proceedings of the 2016 ACM SIGCOMM Conference, Florianopolis, Brazil, 22–26 August 2016; pp. 398–411. [Google Scholar]
- Elijah, O.; Leow, C.Y.; Rahman, T.A.; Nunoo, S.; Iliya, S.Z. A comprehensive survey of pilot contamination in massive MIMO—5G system. IEEE Commun. Surv. 2015, 18, 905–923. [Google Scholar] [CrossRef]
- Upadhya, K.; Vorobyov, S.A.; Vehkapera, M. Superimposed pilots are superior for mitigating pilot contamination in massive MIMO. IEEE Trans. Signal Process. 2017, 65, 2917–2932. [Google Scholar] [CrossRef] [Green Version]
- Li, J.; Wang, D.; Zhu, P.; Wang, J.; You, X. Downlink spectral efficiency of distributed massive MIMO systems with linear beamforming under pilot contamination. IEEE Trans. Veh. Technol. 2017, 67, 1130–1145. [Google Scholar] [CrossRef] [Green Version]
- Saxena, V.; Fodor, G.; Karipidis, E. Mitigating pilot contamination by pilot reuse and power control schemes for massive MIMO systems. In Proceedings of the 2015 IEEE 81st Vehicular Technology Conference (VTC Spring), Glasgow, UK, 11–14 May 2015; pp. 1–6. [Google Scholar]
- Zhu, X.; Dai, L.; Wang, Z. Graph coloring based pilot allocation to mitigate pilot contamination for multi-cell massive MIMO systems. IEEE Commun. Lett. 2015, 19, 1842–1845. [Google Scholar] [CrossRef] [Green Version]
- Shen, J.-C.; Zhang, J.; Letaief, K.B. Downlink user capacity of massive MIMO under pilot contamination. IEEE Trans. Wirel. Commun. 2015, 14, 3183–3193. [Google Scholar] [CrossRef]
- Chen, Y.; Huang, Y.; Shi, Y.; Hou, Y.T.; Lou, W.; Kompella, S. A general model for DoF-based interference cancellation in MIMO networks with rank-deficient channels. In Proceedings of the IEEE INFOCOM 2018-IEEE Conference on Computer Communications, Honolulu, HI, USA, 16–19 April 2018; pp. 900–907. [Google Scholar]
- Gupta, B.; Balyan, V.; Saini, D.S. QOSTBC coded MIMO system with reduced complexity and optimised decoding for rank deficient channels. IET Commun. 2020, 14, 646–654. [Google Scholar] [CrossRef]
- Sun, Z.; Xiao, Y.; Yang, P.; Li, S.; Xiang, W. Transmit antenna selection schemes for spatial modulation systems: Search complexity reduction and large-scale MIMO applications. IEEE Trans. Veh. Technol. 2017, 66, 8010–8021. [Google Scholar] [CrossRef]
- Zhang, Y.; Ghazal, A.; Wang, C.-X.; Zhou, H.; Duan, W.; Aggoune, E.-H.M. Accuracy-complexity tradeoff analysis and complexity reduction methods for non-stationary IMT-A MIMO channel models. IEEE Access 2019, 7, 178047–178062. [Google Scholar] [CrossRef]
- Bahingayi, E.E.; Lee, K. Low-complexity incremental search-aided hybrid precoding and combining for massive MIMO systems. IEEE Access 2020, 8, 66867–66877. [Google Scholar] [CrossRef]
- Song, K.; Zhang, J.; Ji, Z.; Jiang, J.; Li, C. Energy-efficiency for IoT system with cache-enabled fixed-wing UAV relay. IEEE Access 2020, 8, 117503–117512. [Google Scholar] [CrossRef]
- Hanyu, A.; Kawamoto, Y.; Kato, N. On improving flight energy efficiency in simultaneous transmission and reception of relay using UAVs. In Proceedings of the 2019 15th International Wireless Communications & Mobile Computing Conference (IWCMC), Tangier, Morocco, 24–28 June 2019; pp. 967–972. [Google Scholar]
- Khuwaja, A.A.; Chen, Y.; Zhao, N.; Alouini, M.-S.; Dobbins, P. A survey of channel modeling for UAV communications. IEEE Commun. Surv. Tutor. 2018, 20, 2804–2821. [Google Scholar] [CrossRef] [Green Version]
- Khawaja, W.; Guvenc, I.; Matolak, D.W.; Fiebig, U.-C.; Schneckenburger, N. A survey of air-to-ground propagation channel modeling for unmanned aerial vehicles. IEEE Commun. Surv. Tutor. 2019, 21, 2361–2391. [Google Scholar] [CrossRef] [Green Version]
- Yan, C.; Fu, L.; Zhang, J.; Wang, J. A comprehensive survey on UAV communication channel modeling. IEEE Access 2019, 7, 107769–107792. [Google Scholar] [CrossRef]
- Alsharif, M.H.; Kelechi, A.H.; Yahya, K.; Chaudhry, S.A. Machine Learning Algorithms for Smart Data Analysis in Internet of Things Environment: Taxonomies and Research Trends. Symmetry 2020, 12, 88. [Google Scholar] [CrossRef] [Green Version]
- Anabi, K.H.; Nordin, R.; Abdullah, N.F. Database-Assisted Television White Space Technology: Challenges, Trends and Future Research Directions. IEEE Access 2016, 4, 8162–8183. [Google Scholar] [CrossRef]
- Chiang, H.-L.; Chen, K.-C.; Rave, W.; Marandi, M.K.; Fettweis, G. Machine-learning beam tracking and weight optimization for mmwave multi-UAV links. IEEE Trans. Wirel. Commun. 2021, 20, 5481–5494. [Google Scholar] [CrossRef]

















| Antenna Type | Gain (dBi) | Beamwidth (Degrees) |
|---|---|---|
| Vertical half-wave dipole | 0 | 360 |
| Vertical quarter-wave with ground plane | 0 | 360 |
| Four-element Yagi | 6 | 43 |
| UHF corner reflector | 9 | 27 |
| Two stacked vertical half- wave dipoles | 3 | 360 |
| Small horn antenna for use at 10 GHz | 10 | 20 |
| 3 m diameter parabolic antenna for tracking space vehicles at UHF | 40 | 4 |
| Reference | Observation |
|---|---|
| [119] | Conducted optimal numerical analysis of electronically-steered arrays onboard electrically-large platforms based on FEKO software. |
| [120] | Implemented an analog beam tracking utilizing Cramer–Rao lower bound algorithm that enables high tracking speed and data rate for UAV. |
| [121] | Proposed a 7-dBi-high gain steering beam consisting of three circular array of two Yagi–Uda antennas resulting in seven beams which cover the 0–180-degree azimuth plane. |
| [122] | Designed array antenna at the receiver side to detect the Angle of Arrival (AoA) of the target. |
| [123] | Deployed frequency difference of arrival (FDOA) for UAV localization which employs several weighted least-squares minimizations only and does not require initial solution guesses to obtain a location estimate. |
| [124] | Proposed an architecture consisting of attitude heading and reference system (AHRS) for marine satellite tracking antennas (MSTAs) to overcome attitude disturbance due to ship vibration and rotation motion. |
| [125] | Fault tolerant control (FTC) system was used for the satellite tracking antenna which aligns the onboard antenna toward a chosen satellite while the high sea waves disturb the antenna. |
| [126] | MATLAB-based tracking system simulator was also developed to test the control system performance of a rooftop antenna tracking system. |
| [127] | Leveraged on the desirable attributes of slotted wave guide array (SWGA) technology, an innovative dual polarization antenna working at Ku band (14~14.5 GHz) was fabricated. |
| [128] | Design, fabrication, and testing of a helical antenna using 3D printing technology operating at 5 GHz. Several commercially-available dielectric printers and materials (e.g., PLA, ABS, PC) were evaluated. |
| [129] | Achieved a blind beam tracking for Ka-band UAV satellite communication system, where UAV is equipped with a large-scale antenna array. |
| [130] | A priori knowledge aided channel tracking method was proposed in for Teraherz massive MIMO system, where a linear motion is adopted to derive angles of the incident signals and then the complex gains are estimated by pilots. |
| [131] | Presented a scheme referred as an angle division multiple access (ADMA) based channel tracking scheme was proposed in for massive MIMO systems. |
Publisher’s Note: MDPI stays neutral with regard to jurisdictional claims in published maps and institutional affiliations. |
© 2021 by the authors. Licensee MDPI, Basel, Switzerland. This article is an open access article distributed under the terms and conditions of the Creative Commons Attribution (CC BY) license (https://creativecommons.org/licenses/by/4.0/).
Share and Cite
Kelechi, A.H.; Alsharif, M.H.; Oluwole, D.A.; Achimugu, P.; Ubadike, O.; Nebhen, J.; Aaron-Anthony, A.; Uthansakul, P. The Recent Advancement in Unmanned Aerial Vehicle Tracking Antenna: A Review. Sensors 2021, 21, 5662. https://doi.org/10.3390/s21165662
Kelechi AH, Alsharif MH, Oluwole DA, Achimugu P, Ubadike O, Nebhen J, Aaron-Anthony A, Uthansakul P. The Recent Advancement in Unmanned Aerial Vehicle Tracking Antenna: A Review. Sensors. 2021; 21(16):5662. https://doi.org/10.3390/s21165662
Chicago/Turabian StyleKelechi, Anabi Hilary, Mohammed H. Alsharif, Damilare Abdulbasit Oluwole, Philip Achimugu, Osichinaka Ubadike, Jamel Nebhen, Atayero Aaron-Anthony, and Peerapong Uthansakul. 2021. "The Recent Advancement in Unmanned Aerial Vehicle Tracking Antenna: A Review" Sensors 21, no. 16: 5662. https://doi.org/10.3390/s21165662
APA StyleKelechi, A. H., Alsharif, M. H., Oluwole, D. A., Achimugu, P., Ubadike, O., Nebhen, J., Aaron-Anthony, A., & Uthansakul, P. (2021). The Recent Advancement in Unmanned Aerial Vehicle Tracking Antenna: A Review. Sensors, 21(16), 5662. https://doi.org/10.3390/s21165662

