Effects of Non-thermal Ultrasound on a Fibroblast Monolayer Culture: Influence of Pulse Number and Pulse Repetition Frequency
Abstract
1. Introduction
2. Materials and Methods
2.1. Ultrasound Treatment Set-Up
2.2. Acoustic Parameters
2.3. Fibroblast Culture
2.4. Cell Viability Assay
2.5. Optic Microscopy Image Analysis
3. Results
3.1. Ultrasound Field Characterization of the Culture Wells
3.2. Effect of the Amplitude Variation of a Long US Pulse: LP Protocol
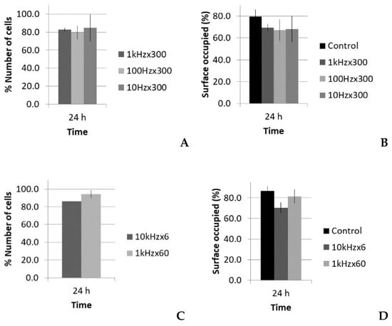
3.3. Effect of the Pulse Repetition Frequency Variation of a Short US: SP Protocol
4. Discussion
5. Conclusions
Author Contributions
Funding
Institutional Review Board Statement
Informed Consent Statement
Data Availability Statement
Acknowledgments
Conflicts of Interest
References
- Erikson, K.; Fry, F.; Jones, J. Ultrasound in Medicine-A Review. IEEE Trans. Sonics Ultrason. 1974, 21, 144–170. [Google Scholar] [CrossRef]
- Miller, D.; Smith, N.; Bailey, M.; Czarnota, G.; Hynynen, K.; Makin, I. Overview of Therapeutic Ultrasound Applications and Safety Considerations. J. Ultrasound Med. 2012, 31, 623–634. [Google Scholar] [CrossRef]
- Watson, T. Ultrasound in contemporary physiotherapy practice. Ultrasonics 2008, 48, 321–329. [Google Scholar] [CrossRef] [PubMed]
- ter Haar, G. Therapeutic ultrasound. Eur. J. Ultrasound 1999, 9, 3–9. [Google Scholar] [CrossRef]
- Lingeman, J.; McAteer, J.; Gnessin, E.; Evan, A. Shock wave lithotripsy: Advances in technology and technique. Nat. Rev. Urol. 2009, 6, 660–670. [Google Scholar] [CrossRef] [PubMed]
- Ter Haar, G.; Coussios, C. High intensity focused ultrasound: Physical principles and devices. Int. J. Hyperth. 2007, 23, 89–104. [Google Scholar] [CrossRef]
- Dubinsky, T.; Cuevas, C.; Dighe, M.; Kolokythas, O.; Hwang, J. High-Intensity Focused Ultrasound: Current Potential and Oncologic Applications. Am. J. Roentgenol. 2008, 190, 191–199. [Google Scholar] [CrossRef]
- Pitt, W.; Husseini, G.; Staples, B. Ultrasonic drug delivery. A general review. Expert Opin. Drug Deliv. 2004, 1, 37–56. [Google Scholar] [CrossRef]
- Husseini, G.; de la Rosa, M.D.; Richardson, E.; Christensen, D.; Pitt, W. The role of cavitation in acoustically activated drug delivery. J. Control. Release 2005, 107, 253–261. [Google Scholar] [CrossRef] [PubMed]
- Szabo, T. Ultrasound-induced Bioeffects. In Diagnostic Ultrasound Imaging: Inside Out; Elsevier: Amsterdam, The Netherlands, 2014; pp. 653–697. [Google Scholar]
- Robertson, V.; Baker, K. A Review of Therapeutic Ultrasound: Effectiveness Studies. Phys. Ther. 2001, 81, 1339–1350. [Google Scholar] [CrossRef]
- Conner-Kerr, T.; Oesterle, M. Current perspectives on therapeutic ultrasound in the management of chronic wounds: A review of evidence. Chronic Wound Care Manag. Res. 2017, 4, 89–98. [Google Scholar] [CrossRef][Green Version]
- Hensel, K.; Mienkina, M.; Schmitz, G. Analysis of Ultrasound Fields in Cell Culture Wells for In Vitro Ultrasound Therapy Experiments. Ultrasound Med. Biol. 2011, 37, 2105–2115. [Google Scholar] [CrossRef]
- Webster, D.; Pond, J.; Dyson, M.; Harvey, W. The role of cavitation in the in vitro stimulation of protein synthesis in human fibroblasts by ultrasound. Ultrasound Med. Biol. 1978, 4, 343–351. [Google Scholar] [CrossRef]
- Dinno, M.; Dyson, M.; Young, S.; Mortimer, A.; Hart, J.; Crum, L. The significance of membrane changes in the safe and effective use of therapeutic and diagnostic ultrasound. Phys. Med. Biol. 1989, 34, 1543–1552. [Google Scholar] [CrossRef]
- Tsukamoto, A.; Higashiyama, S.; Yoshida, K.; Watanabe, Y.; Furukawa, K.; Ushida, T. Stable cavitation induces in-creased cytoplasmic calcium in L929 fibroblasts exposed to 1-MHz pulsed ultrasound. Ultrasonics 2011, 51, 982–990. [Google Scholar] [CrossRef] [PubMed]
- Chen, Y.; Huang, D.; Li, K.; Zhihui, W.; Kai, H.; Fen, W.; Qingping, Z. Ultrasound and Microbubbles: Their Functions in Gene Transfer In Vitro. J. Huazhong Univ. Sci. Technol. 2007, 27, 479–482. [Google Scholar] [CrossRef]
- Zhang, Y.; Tachibana, R.; Okamoto, A.; Azuma, T.; Sasaki, A.; Yoshinaka, K.; Tei, Y.; Takagi, S.; Matsumoto, Y. Ultra-sound-mediated gene transfection in vitro: Effect of ultrasonic parameters on efficiency and cell viability. Int. J. Hyperth. 2012, 28, 290–299. [Google Scholar] [CrossRef] [PubMed]
- Feng, Y.; Tian, Z.; Wan, M. Bioeffects of low-intensity ultrasound in vitro: Apoptosis, protein profile alteration, and potential molecular mechanism. J. Ultrasound Med. 2010, 29, 963–974. [Google Scholar] [CrossRef] [PubMed]
- Hu, Y.; Wan, J.; Yu, A. Membrane Perforation and Recovery Dynamics in Microbubble-Mediated Sonoporation. Ultrasound Med. Biol. 2013, 39, 2393–2405. [Google Scholar] [CrossRef]
- Jia, Y.; Yuan, W.; Zhang, K.; Wang, J.; Wang, P.; Liu, Q.; Wang, X. Comparison of cell membrane damage induced by the therapeutic ultrasound on human breast cancer MCF-7 and MCF-7/ADR cells. Ultrason. Sonochem. 2015, 26, 128–135. [Google Scholar] [CrossRef]
- Kondo, T.; Yoshij, G. Effect of intensity of 1.2 MHz ultrasound on change in DNA synthesis of irradiated mouse L cells. Ultrasound Med. Biol. 1985, 11, 113–119. [Google Scholar] [CrossRef]
- Sandoval, R.C.; Romero, D.M.; Grazón-Alvarado, D. Effect of Therapeutic Ultrasound on Fibroblast Proliferation In Vitro. In IFMBE Proceedings, Proceedings of the VI Latin American Congress on Biomedical Engineering CLAIB 2014, Paraná, Argentina, 29–31 October 2014; Braidot, A., Hadad, A., Eds.; Springer: New York, NY, USA, 2015; Volume 49. [Google Scholar]
- Mortimer, A.; Dyson, M. The effect of therapeutic ultrasound on calcium uptake in fibroblasts. Ultrasound Med. Biol. 1988, 14, 499–506. [Google Scholar] [CrossRef]
- Atherton, P.; Lausecker, F.; Harrison, A.; Ballestrem, C. Low Intensity Pulsed Ultrasound (LIPUS) promotes cell motility through vinculin-controlled Rac1 GTPase activity. J. Cell Sci. 2017, 130, 2277–2291. [Google Scholar] [CrossRef] [PubMed]
- Zhou, S.; Schmelz, A.; Seufferlein, T.; Zhao, J.; Max, G. Molecular Mechanisms of Low Intensity Pulsed Ultrasound in Human Skin Fibroblasts. J. Biol. Chem. 2004, 279, 54463–54469. [Google Scholar] [CrossRef] [PubMed]
- Mostafa, N.; Uludağ, H.; Dederich, D.; Doschak, M.; El-Bialy, T. Anabolic effects of low-intensity pulsed ultrasound on human gingival fibroblasts. Arch. Oral Biol. 2009, 54, 743–748. [Google Scholar] [CrossRef]
- Roper, J.; Harrison, A.; Bass, M. Induction of Adhesion-dependent Signals Using Low-intensity Ultrasound. J. Vis. Exp. 2012, 63, 4024. [Google Scholar] [CrossRef]
- Domenici, F.; Giliberti, C.; Bedini, A.; Palomba, R.; Luongo, F.; Sennato, S.; Olmati, C.; Pozzi, D.; Morrone, S.; Castellano, A.; et al. Ultrasound well below the intensity threshold of cavitation can promote efficient uptake of small drug model molecules in fibroblast cells. Drug Deliv. 2013, 20, 285–295. [Google Scholar] [CrossRef]
- Secomski, W.; Bilmin, K.; Kujawska, T.; Nowicki, A.; Grieb, P.; Lewin, P. In vitro ultrasound experiments: Standing wave and multiple reflections influence on the outcome. Ultrasonics 2017, 77, 203–213. [Google Scholar] [CrossRef]
- IEC. 61161, Ultrasonics—Power Measurement—Radiation Force Balances and Performance Requirements. 2013. Available online: https://webstore.iec.ch/preview/info_iec61161%7Bed3.0%7Db.pdf (accessed on 25 July 2021).
- Nakayama, G.; Caton, M.; Nova, M.; Parandoosh, Z. Assessment of the Alamar Blue assay for cellular growth and viability in vitro. J. Immunol. Methods 1997, 204, 205–208. [Google Scholar] [CrossRef]
- Doan, N.; Reher, P.; Meghji, S.; Harris, M. In vitro effects of therapeutic ultrasound on cell proliferation, protein synthesis, and cytokine production by human fibroblasts, osteoblasts, and monocytes. J. Oral Maxillofac. Surg. 1999, 57, 409–419. [Google Scholar] [CrossRef]
- Hauser, J.; Ellisman, M.; Steinau, H.; Stefan, E.; Dudda, M.; Hauser, M. Ultrasound Enhanced Endocytotic Activity of Human Fibroblasts. Ultrasound Med. Biol. 2009, 35, 2084–2092. [Google Scholar] [CrossRef]
- O’Brien, W. Ultrasound: Biophysics mechanisms. Prog. Biophys. Mol. Biol. 2007, 93, 212–255. [Google Scholar] [CrossRef]
- Davies, P. Flow-mediated endothelial mechanotransduction. Physiol. Rev. 1995, 75, 519–560. [Google Scholar] [CrossRef] [PubMed]
- Neppiras, E. Measurement of Acoustic Cavitation. IEEE Trans. Sonics Ultrason. 1968, 15, 81–88. [Google Scholar] [CrossRef]
- Brennen, C. Cavitation and Bubble Dynamics; Cambridge University Press: New York, NY, USA, 2014. [Google Scholar]
- Tzanakis, I.; Lebon, B.; Eskin, D.; Pericleous, K. Characterizing the cavitation development and acoustic spectrum in various liquids. Ultrason. Sonochemistry 2017, 34, 651–662. [Google Scholar] [CrossRef] [PubMed]
- Frohly, J.; Labouret, S.; Bruneel, C.; Looten-Baquet, I.; Torguet, R. Ultrasonic cavitation monitoring by acoustic noise power measurement. J. Acoust. Soc. Am. 2000, 108, 2012–2020. [Google Scholar] [CrossRef] [PubMed]
- Duck, F. Nonlinear acoustics in diagnostic ultrasound. Ultrasound Med. Biol. 2002, 28. [Google Scholar] [CrossRef]
- Gudra, T.; Opieliński, K. Applying spectrum analysis and cepstrum analysis to examine the cavitation threshold in water and in salt solution. Ultrasonics 2004, 42, 621–627. [Google Scholar] [CrossRef] [PubMed]
- Lewin, P.; Bjorno, L. Acoustic pressure amplitude thresholds for rectified diffusion in gaseous microbubbles in bio-logical tissue. J. Acoust. Soc. Am. 1981, 69, 846–862. [Google Scholar] [CrossRef] [PubMed]
- De Deyne, P.; Kirsch-Volders, M. In Vitro Effects of Therapeutic Ultrasound on the Nucleus of Human Fibroblasts. Phys. Ther. 1995, 75, 629–634. [Google Scholar] [CrossRef]
- Udroiu, I.; Domenici, F.; Giliberti, C.; Bedini, A.; Palomba, R.; Luongo, F.; Pozzi, D.; Bordi, F.; Castellano, A. Potential genotoxic effects of low-intensity ultrasound on fibroblasts, evaluated with the cytokinesis-block micronucleus assay. Mutat. Res. Toxicol. Environ. Mutagen. 2014, 772, 20–24. [Google Scholar] [CrossRef] [PubMed]
- Udroiu, I.; Marinaccio, J.; Bedini, A.; Giliberti, C.; Palomba, R.; Sgura, A. Genomic damage induced by 1-MHz ultrasound in vitro. Environ. Mol. Mutagen. 2018, 59, 60–68. [Google Scholar] [CrossRef] [PubMed]
- Angello, J. Replicative potential and the duration of the cell cycle in human fibroblasts: Coordinate stimulation by epi-dermal growth factor. Mech. Ageing. Dev. 1992, 62. [Google Scholar] [CrossRef]
- Oliveira, P.; Pires-Oliveira, D.; Pacheco-Soares, C.; Martignago, C.; Poli-Frederico, R.; Oliveira, R. Effect of low-intensity pulsed ultrasound therapy on a fibroblasts cell culture. Fisioter. Pesq. 2015, 22, 112–118. [Google Scholar]
- Krasovitski, B.; Frenkel, V.; Shoham, S.; Kimmel, E. Intramembrane cavitation as unifying mechanism for ultra-sound-induced bioeffects. Proc. Natl. Acad. Sci. USA 2011, 108, 3258–3263. [Google Scholar] [CrossRef]
- Johannes, E.; Sukul, K.; Bijma, A.; Mulder, P. Effects of high energy shock waves on normal human fibroblasts in suspension. J. Surg. Res. 1994, 57, 677–681. [Google Scholar] [CrossRef]
- Feigl, T.; Völklein, B.; Iro, H.; Ell, C.; Schneider, T. Biophysical effects of high-energy pulsed ultrasound on human cells. Ultrasound Med. Biol. 1996, 22, 1267–1275. [Google Scholar] [CrossRef]
- Atchley, A.; Frizzell, L.; Apfel, R.; Holland, C.; Madanshetty, S.; Roy, R. Thresholds for cavitation produced in water by pulsed ultrasound. Ultrasonnics 1988, 26, 280–285. [Google Scholar] [CrossRef]
- Rahim, A.; Taylor, S.; Bush, N.; Ter Haar, G.; Bamber, J.; Porter, C. Physical parameters affecting ultra-sound/microbubble-mediated gene delivery efficiency in vitro. Ultrasound Med. Biol. 2006, 32, 1269–1279. [Google Scholar] [CrossRef]
- Buldakov, M.; Hassan, M.; Zhao, Q.; Feril, L., Jr.; Kudo, N.; Kondo, T.; Litvyakov, N.V.; Bolshacov, M.A.; Rostov, V.; Cherdyntseva, N.; et al. Influence of changing pulse repetition frequency on chemical and biological effects induced by low-intensity ultrasound in vitro. Ultras. Sonochem. 2009, 16, 392–397. [Google Scholar] [CrossRef]
- Tata, D.; Dunn, F.; Tindall, D. Selective Clinical Ultrasound Signals Mediate Differential Gene Transfer and Expression in Two Human Prostate Cancer Cell Lines: LnCap and PC-3. Biochem. Biophys. Res. Commun. 1997, 234, 64–67. [Google Scholar] [CrossRef]
- Haase, K.; Pelling, A. Investigating cell mechanics with atomic force microscopy. J. R. Soc. Interface 2015, 12. [Google Scholar] [CrossRef]
- Silve, A.; Brunet, A.G.; Al-Sakere, B.; Ivorra, A.; Mir, L. Comparison of the effects of the repetition rate between microsecond and nanosecond pulses: Electropermeabilization-induced electro-desensitization? Biochim. Biophys. Acta 2014, 1840, 2139–2151. [Google Scholar] [CrossRef] [PubMed]
- Bao, G. Protein Mechanics: A New Frontier in Biomechanics. Exp. Mech. 2009, 49, 153–164. [Google Scholar] [CrossRef]
- Chiguer, D.D.; Hernández, A.R.; Padilla, M.B.; Ducoing, O.R.; Retana, J.F.; Ambrosio, J. Mecanostransducción: Cómo la célula percibe los estímulos. Tamé 2015, 4811, 396–401. [Google Scholar]
- Muratore, R.; Akabas, T.; Muratore, I.B. High-Intensity Focused Ultrasound Ablation of Ex Vivo Bovine Achilles Tendon. Ultrasound Med. Biol. 2008, 34, 2043–2050. [Google Scholar] [CrossRef] [PubMed]
- Warden, S.J.; McMeeken, J.M. Ultrasound usage and dosage in sports physiotherapy. Ultrasound Med. Biol. 2002, 28, 1075–1080. [Google Scholar] [CrossRef]
- Matsumoto, Y.; Nakano, J.; Oga, S.; Kataoka, H.; Honda, Y.; Sakamoto, J.; Okita, M. The non-thermal effects of pulsed ultrasound irradiation on the development of disuse muscle atrophy in rat gastrocnemius muscle. Ultrasound Med. Biol. 2014, 40, 1578–1586. [Google Scholar] [CrossRef][Green Version]
- Maxwell, A.D.; Cain, C.A.; Hall, T.L.; Fowlkes, J.B.; Xu, Z. Probability of Cavitation for Single Ultrasound Pulses Applied to Tissues and Tissue-Mimicking Materials. Ultrasound Med. Biol. 2013, 39, 449–465. [Google Scholar] [CrossRef]
- Holland, C.K.; Deng, C.X.; Apfel, R.E.; Alderman, J.L.; Fernandez, L.A.; Taylor, K.J. Direct evidence of cavitation in vivo from diagnostic ultrasound. Ultrasound Med. Biol. 1996, 22, 917–925. [Google Scholar] [CrossRef]
- Hill, C.R.; Bamber, J.C.; Ter Haar, G. Physical Principles of Medical Ultrasonics; John Wiley & Sons, Ltd: Hoboken, NJ, USA, 2004. [Google Scholar]
- Guzmán, H.R.; McNamara, A.J.; Nguyen, D.X.; Prausnitz, M.R. Bioeffects caused by changes in acoustic cavitation bubble density and cell concentration: A unified explanation based on cell-to-bubble ratio and blast radius. Ultrasound Med. Biol. 2003, 29, 1211–1222. [Google Scholar] [CrossRef]











V | PRF Hz | kPa | W/cm2 | mW/cm2 | mJ/mm2 | mJ/mm2 | |
|---|---|---|---|---|---|---|---|
| VHP | 30 | 103 | 770 | 19.25 | 880 | 7.21 × 10−3 | 2163 |
| HP | 6 | 103 | 154 | 0.77 | 30 | 2.88 × 10−4 | 86.4 |
| VLP | 3 | 103 | 77 | 0.19 | 7 | 0.72 × 10−3 | 21.6 |
| PRF × Time | V | PRF Hz | kPa | W/cm2 | mW/cm2 | mJ/mm2 | mJ/mm2 |
|---|---|---|---|---|---|---|---|
| 1 kHz × 300 s | 120 | 103 | 1.01 | 33.1 | 16.2 | 1.48 × 10−3 | 444 |
| 100 Hz × 300 s | 120 | 102 | 1.01 | 33.1 | 16.2 | 1.48 × 10−3 | 44.4 |
| 10 Hz × 300 s | 120 | 10 | 1.01 | 33.1 | 16.2 | 1.48 × 10−3 | 4.4 |
| PRF × Time | V | PRF Hz | kPa | W/cm2 | mW/cm2 | mJ/mm2 | mJ/mm2 |
|---|---|---|---|---|---|---|---|
| 10 kHz × 6 s | 120 | 0.1 | 1.01 | 33.1 | 16.2 | 1.48 × 10−3 | 88.8 |
| 1 kHz × 60 s | 120 | 1 | 1.01 | 33.1 | 16.2 | 1.48 × 10−3 | 88.8 |
| Control | VHP |
|---|---|
![]() | ![]() |
![]() | ![]() |
![]() | Protocol | Total Images | Binuclei | (Binuc/Image) |
| Control | 9 | 10 | 1.1 | |
| 10 kHz × 6 s | 10 | 23 | 2.3 | |
| 1 kHz × 60 s | 10 | 21 | 2.1 |
| y = axn ↑V | R2 ↑V | y = axn ↓V | R2 ↓V | |
|---|---|---|---|---|
| f0 | y = 0.9949x1.0068 | 1 | y = 0.8942x1.0549 | 0.9997 |
| 2f0 | y = 1.1022x1.8518 | 0.9674 | y = 3.0569x1.5536 | 0.9985 |
Publisher’s Note: MDPI stays neutral with regard to jurisdictional claims in published maps and institutional affiliations. |
© 2021 by the authors. Licensee MDPI, Basel, Switzerland. This article is an open access article distributed under the terms and conditions of the Creative Commons Attribution (CC BY) license (https://creativecommons.org/licenses/by/4.0/).
Share and Cite
Ronda Peñacoba, S.; Fernández Gutiérrez, M.; San Román del Barrio, J.; Montero de Espinosa, F. Effects of Non-thermal Ultrasound on a Fibroblast Monolayer Culture: Influence of Pulse Number and Pulse Repetition Frequency. Sensors 2021, 21, 5040. https://doi.org/10.3390/s21155040
Ronda Peñacoba S, Fernández Gutiérrez M, San Román del Barrio J, Montero de Espinosa F. Effects of Non-thermal Ultrasound on a Fibroblast Monolayer Culture: Influence of Pulse Number and Pulse Repetition Frequency. Sensors. 2021; 21(15):5040. https://doi.org/10.3390/s21155040
Chicago/Turabian StyleRonda Peñacoba, Silvia, Mar Fernández Gutiérrez, Julio San Román del Barrio, and Francisco Montero de Espinosa. 2021. "Effects of Non-thermal Ultrasound on a Fibroblast Monolayer Culture: Influence of Pulse Number and Pulse Repetition Frequency" Sensors 21, no. 15: 5040. https://doi.org/10.3390/s21155040
APA StyleRonda Peñacoba, S., Fernández Gutiérrez, M., San Román del Barrio, J., & Montero de Espinosa, F. (2021). Effects of Non-thermal Ultrasound on a Fibroblast Monolayer Culture: Influence of Pulse Number and Pulse Repetition Frequency. Sensors, 21(15), 5040. https://doi.org/10.3390/s21155040






