Application of Ultra Narrow Band Modulation in Enhanced Loran System
Abstract
1. Introduction
2. Materials and Methods
2.1. eLoran
2.2. Design Constraits
- Protection criteria
- Harmonic suppression criteria
2.3. UNB Modulation
2.4. Parameter Design
2.4.1. General Parameters
- : When other parameters remain unchanged, the larger the value of , the more concentrated the signal energy, and the narrower the EBPSK modulated signal bandwidth; however, for a large value of , the number of symbols transmitted per unit time will decrease, resulting in a decrease in the data rate, and the data rate calculation formula is Equation (4). In addition, considering that the signal has a specific recovery time after passing through the zero-group delay filter, it is usually designed to make [35].
- : On the premise that other parameters remain unchanged, the value of increases, difference between the two symbol waveforms becomes larger, width of the main and side lobes of the EBPSK modulated signal power spectrum becomes narrower, amplitudes of the main lobe and adjacent side lobes increase slightly, and energy becomes more dispersed. To ensure a narrower bandwidth in the design, the value is generally 1–2, which is small.
- : When other parameters are fixed, the smaller the value of , the more concentrated the power spectrum energy of the EBPSK modulated signal, and the smaller the occupied bandwidth. Studies have revealed that when , the sideband is approximately −24 dB lower than the carrier frequency, and if the power level of the sideband is lower than the carrier frequency by approximately −40 dB, is required, but the signal demodulation performance will be reduced accordingly. To ensure the demodulation performance, is often used.
2.4.2. Application Parameters
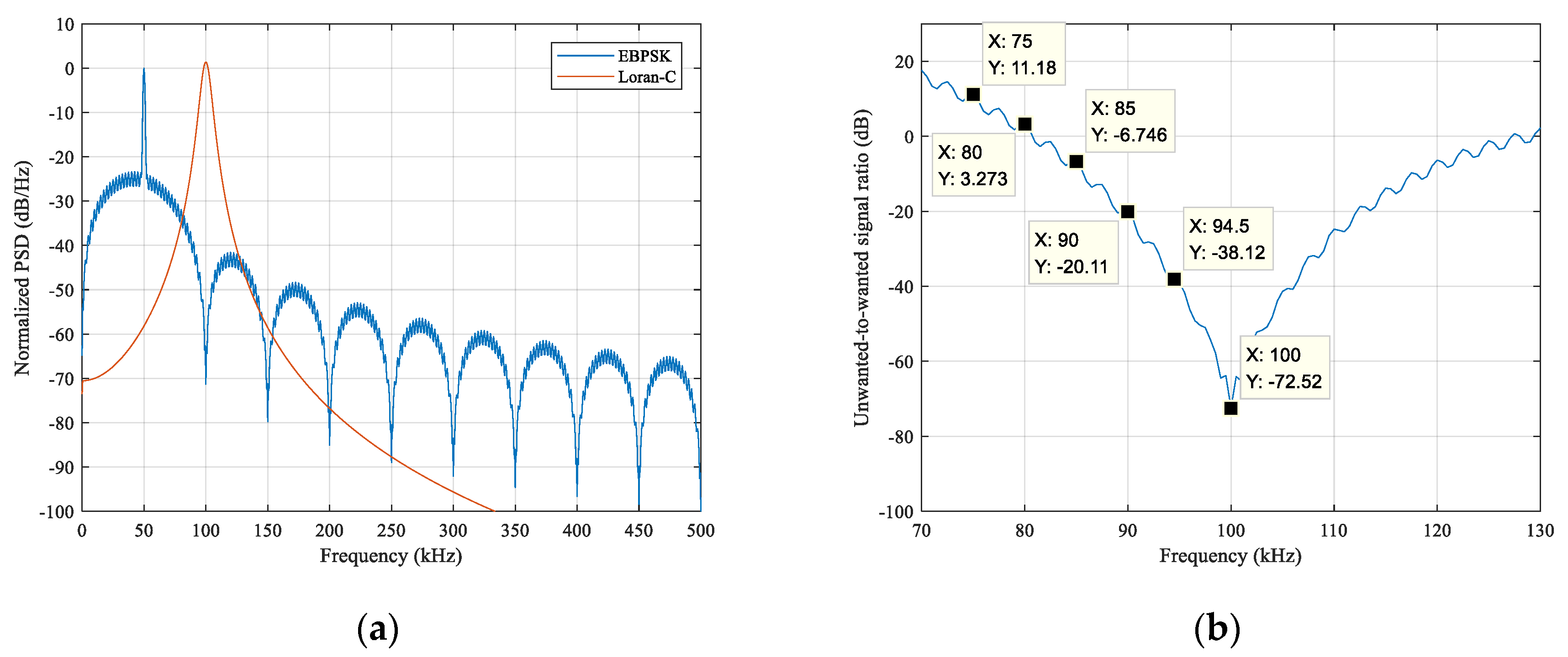
- : First, it was clear that the value should be selected in the long-wave band 30–300 kHz, such that the EBPSK modulated signal could be shared with the eLoran signal for the same transmitter and antenna, and the field strength calculation formula is also the same [36]; second, the power spectral density of the EBPSK modulated signal at 100 kHz frequency was required to be 0, and according to the introduction of the characteristics of Section 2.3, it was observed that the required Equation (5) was obtained; third, attempt to prevent it from attaining 100 kHz or its harmonic frequency; only in this way could the eLoran system design constraints be better met, and the fusion application can be realized.
- and : in the design of EBPSK modulation parameters, let and to form the antiphase modulation, and let (also known as missing cycle modulation) or , which is known as narrow pulse modulation, similar to radar. Here, we selected the uninterrupted signal situation, and set the ratio of their amplitude to the peak amplitude of the Loran-C signal to η; thereafter, according to the difference in the power spectral density between the EBPSK modulated and Loran-C signals (in dB) meeting the design limitation conditions, the η value was adjusted continuously until it was satisfied. The value of η was the maximum ratio of the amplitude of the two signals, denoted as ηmax, that is, the maximum value of and is 1/η of the peak amplitude of the Loran-C signal.
3. Results
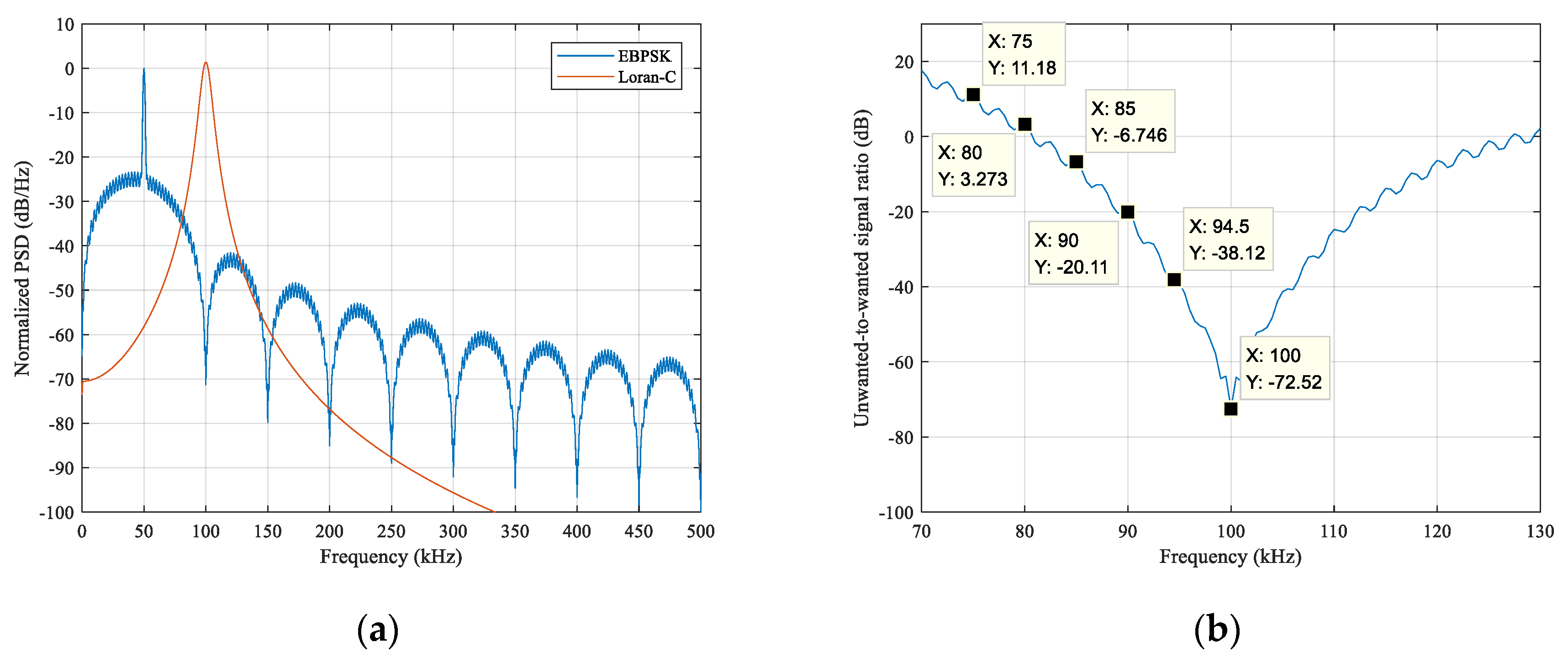
3.1. Satisfaction of Design Constraints
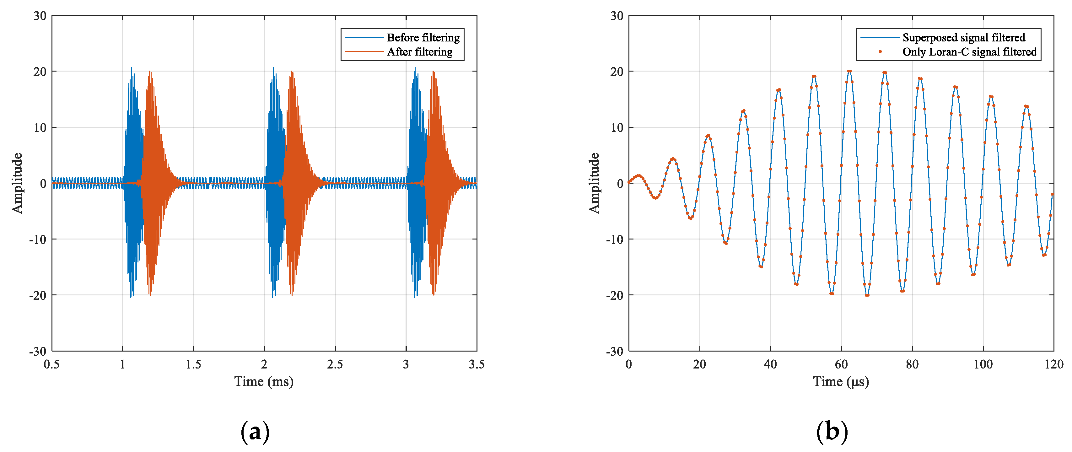
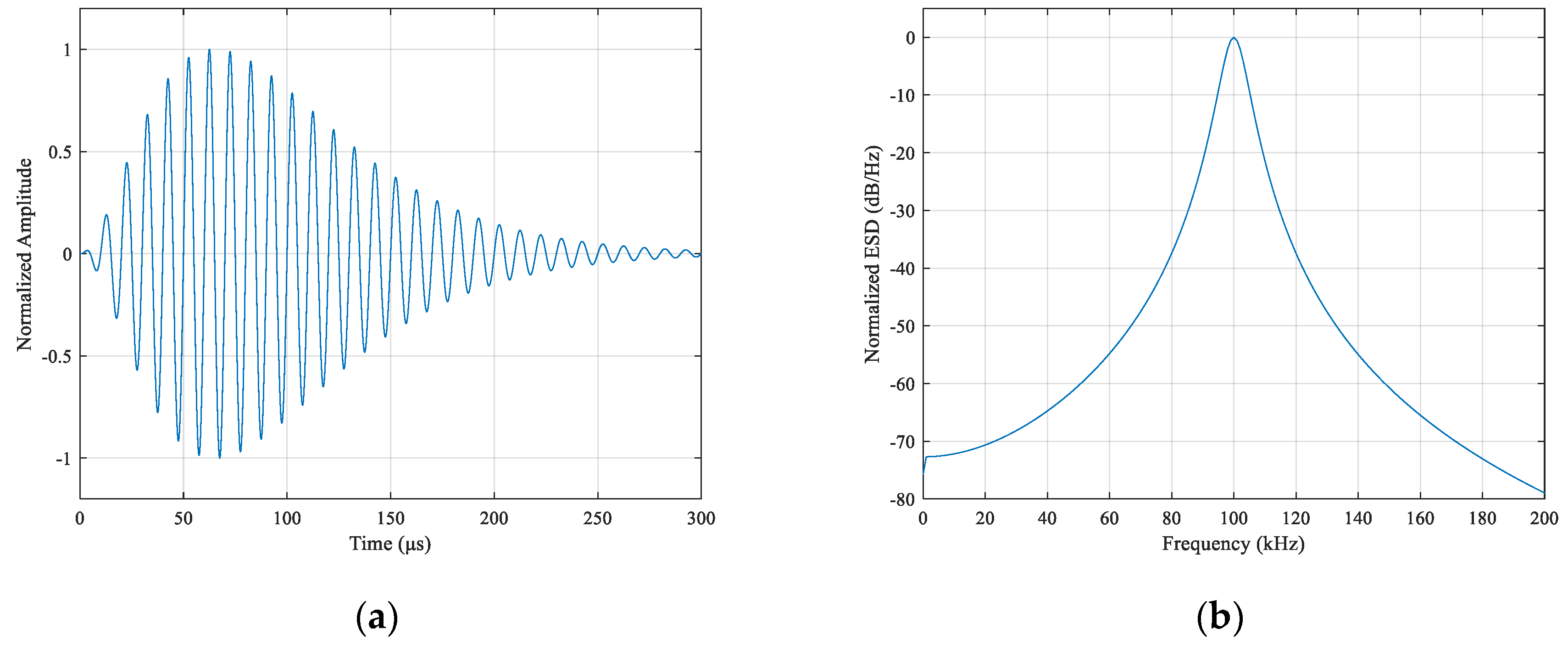
3.2. Influence of Signal Reception on Each Other
3.3. Schemes for Comparison
- Comparing schemes one and two or schemes two and three, it was found that when was smaller, the energy was more concentrated, and ηmax could be larger, which implies that the EBPSK modulated signal had stronger anti-noise/interference ability and higher reliability.
- Comparing the first and third schemes, when the value of was different, the position of 100 kHz in the power spectrum of the EBPSK modulated signal was different, and the value of ηmax was greater for the position at the higher side lobe width of the EBPSK modulated signal power spectrum than that at the main lobe width or lower side lobe width.
- A comparison of the third and fourth schemes demonstrated that when the general parameters were similar, and the further away from the 100 kHz carrier frequency scheme, the greater the value of ηmax and the higher the reliability, but the data rate was affected and the effectiveness was reduced.
4. Discussion
5. Conclusions
Author Contributions
Funding
Institutional Review Board Statement
Informed Consent Statement
Data Availability Statement
Acknowledgments
Conflicts of Interest
References
- 2008 Federal Radionavigation Plan. Public Document; 2009. Available online: https://www.transportation.gov/pnt/radionavigation-systems-planning (accessed on 26 May 2021).
- Strengthening National Resilience through Responsible Use of Positioning, Navigation, and Timing Services. Presidential Document; 18 February 2020. Available online: https://www.federalregister.gov/documents/2020/02/18/2020-03337/strengthening-national-resilience-through-responsible-use-of-positioning-navigation-and-timing (accessed on 26 May 2021).
- Zhang, H.Y.; Xu, B.; Li, H.B.; Liao, D.Y.; Chen, H.Q. Prospects for Development of LORAN-C Navigation System for Building up National Comprehensive PNT System. J. Astronaut. Metrol. Meas. 2020, 40, 6–11. [Google Scholar]
- Enhanced Loran (eLoran). Definition Document, Version 0.1, ILA. 2007. Available online: https://rntfnd.org/wp-content/uploads/eLoran-Definition-Document-0-1-Released.pdf (accessed on 26 May 2021).
- Li, Y.; Hua, Y.; Yan, B.R.; Guo, W. Experimental Study on a Modified Method for Propagation Delay of Long Wave Signal. IEEE Antennas Wirel. Propag. Lett. 2019, 18, 1719. [Google Scholar] [CrossRef]
- Son, P.-W.; Park, S.H.; Seo, K.; Han, Y.; Seo, J. Development of the Korean eLoran Testbed and Analysis of Its Expected Positioning Accuracy. In Proceedings of the 19th IALA Conference, Incheon, Korea, 27 May–2 June 2018. [Google Scholar]
- Lo, S.C.; Peterson, B.B.; Hardy, T.; Enge, P.K. Improving Loran Coverage with Low Power Transmitters. J. Navig. 2010, 63, 23–38. [Google Scholar] [CrossRef]
- Yan, B.R.; Li, Y.; Guo, W.; Hua, Y. High-Accuracy Positioning Based on Pseudo-Ranges: Integrated Difference and Performance Analysis of the Loran System. Sensors 2020, 20, 4436. [Google Scholar] [CrossRef] [PubMed]
- Willigen, V. Eurofix: Differential Hybridized Integrated Navigation. In Proceedings of the 18th Annual Technical Symposium of the Wild Goose Association, Hyannis, MA, USA, 1 November 1989. [Google Scholar]
- Peterson, B.; Dykstra, K.; Peterson Integrated Geopositioning; LLC and LT Dave Lown; LT Kevin Shmihluk; USCG Loran Support Unit. Loran Data Channel Communications Using 9th Pulse Modulation. Version 1.3. 2006. Available online: http://www-personal.umich.edu/~tmikulsk/loran/ref/eloran_ldc.pdf (accessed on 26 May 2021).
- Lo, S.C.; Enge, P. Data Transmission Using LORAN-C. Stanford University, 2000. Available online: https://web.stanford.edu/group/scpnt/gpslab/pubs/papers/Lo_ILA_2000.pdf (accessed on 26 May 2021).
- Arthur, H.; Gerard, O.; Chris, S.; Charles, S.; Brian, W.; Tim, H.; Scott, M.; Kirk, Z. Low Frequency (LF) Solutions for Alternative Positioning, Navigation, Timing, and Data (APNT&D) and Associated Receiver Technology. Available online: https://www.nautelnav.com/wp-content/uploads/2011/09/Nautel-UrsaNav-NAV10-Research-Paper.pdf (accessed on 26 May 2021).
- Peterson, B.; Schue, A.; Boyer, M.; Betz, R.; United States Coast Guard. Enhanced Loran-C Data Channel Project. Available online: https://www.ursanav.com/wp-content/uploads/Enhanced-LDC-Project-2000.pdf (accessed on 26 May 2021).
- Yang, C.Z.; Wang, Y.L.; Li, S.F.; Yan, W.H. Experimental Study of a Signal Modulation Method to Improve eLORAN Data Channel Communications. Sensors 2020, 20, 6504. [Google Scholar] [CrossRef] [PubMed]
- Li, W.Q.; Wang, J.H.; Li, S.F.; Fu, Q.X. Design and evaluation of a new data modulation and channel coding scheme for eLoran System. Gnss World China 2020, 45, 84–89. [Google Scholar]
- Walker, H.R. VPSK and VMSK Modulation Transmit Digital Audio and Video at 15Bits/Sec/Hz. IEEE Trans. Broadcast. 1997, 43, 96–103. [Google Scholar] [CrossRef]
- Walker, H.R. Apparatus and Method for Data Rate Multiplication. U.S. Patent 7,268,638 B2, 11 September 2007. [Google Scholar]
- Walker, H.R. Apparatus and Method for Ultra Narrow Band Wireless Communications. U.S. Patent 7,424,065 B2, 9 September 2008. [Google Scholar]
- Walker, H.R. Ultra Narrow Band Modulation Textbook. Pegasus Data Systems, 5 December 2014. Available online: http://www.vmsk.org/Textbook.pdf (accessed on 26 May 2021).
- Wu, L.N.; Zhang, S.K. Unified Binary Phase Modulation and Demodulation Method. C.N. Patent 1889550A, 1 June 2006. [Google Scholar]
- Wu, L.N. Advances in Ultra Narrow Band High Speed Communication. Prog. Nat. Sci. 2007, 17, 1467–1473. [Google Scholar]
- Rastislav, R. The Utilization of The VMSK Modulation at The Signal Transport by Means of XDSL Technologies. In Proceedings of the EUROCON’2001, International Conference on Trends in Communications, Technical Program, Proceedings (Cat. No.01EX439), Bratislava, Slovakia, 4–7 July 2001. [Google Scholar]
- Fourtet, C.; Ponsard, B. An introduction to Sigfox radio system. In LPWAN Technologies for IoT and M2M Applications; Chaudhari, B.S., Zennaro, M., Eds.; Academic Press: Cambridge, MA, USA, 2020; pp. 103–118. [Google Scholar]
- Yao, Y.; Wu, L.N.; Chang, H. Fast estimation of HF channels based on EBPSK scheme. Chin. J. Radio Sci. 2013, 28, 425–429. [Google Scholar]
- Miao, P.; Wu, L.N. An Anti-noise Modem used over HFC Uplink. Signal Process. 2012, 28, 1361–1369. [Google Scholar]
- Wu, L.N.; Feng, M.; Ma, L. A Demodulation Method for A Uniform Binary Modulated Signal. C.N. Patent 101316252A, 3 December 2008. [Google Scholar]
- Technical Characteristics of Methods of Data Transmission and Interference Protection for Radionavigation Services in the Frequency Bands between 70 and 130 kHz. Rec. ITU-R M.589-3. Available online: https://www.itu.int/dms_pubrec/itu-r/rec/m/R-REC-M.589-3-200108-I!!PDF-E.pdf (accessed on 26 May 2021).
- Electromagnetic Environment Requirement for Sea Long Range Radio Navigation Stations and Monitors. GB 13613-2011, Chinese Standard. Available online: https://www.standardsofchina.com/standard/GB13613-2011 (accessed on 26 May 2021).
- Generic Specification for Loran-C System. GB/T 14379-93, Chinese Standard. Available online: https://www.antpedia.com/standard/77369-1.html (accessed on 26 May 2021).
- Peng, S. Research on the Anti-Fading Performance of EBPSK Communication System. Master’s Thesis, Southeast University, Nanjing, China, April 2016. [Google Scholar]
- Feng, M.; Qi, C.H.; Wu, L.N. Analysis and Optimization of Power Spectrum on EBPSK Modulation in Throughput-efficient wireless system. J. Southeast Univ. (Engl. Ed.) 2008, 24, 143–148. [Google Scholar]
- Zhang, S.K.; Wu, L.N. Optimization of extended BPSK modulated waveforms. J. Southeast Univ. (Nat. Sci. Ed.) 2008, 38, 564–568. [Google Scholar]
- Wu, L.N.; Ying, P.K. Extended BPSK comparison with various modulation parameters. Chin. J. Radio Sci. 2011, 26, 961–966. [Google Scholar]
- Huang, Y.Q.; Xia, H.Y. Simulation Analysis for PSD and Bandwidth Efficiency of Ultra Narrow Bandwidth Modulation Technology. Mod. Sci. Instrum. 2013, 4, 153–159. [Google Scholar]
- Si, H.W. Research on the Realizability of UNB Communications and VWDK. Master’s Thesis, Southeast University, Nanjing, China, March 2005. [Google Scholar]
- Computational Methods of LW Ground-Wave Transmission Channels. F0130, SJ 20839-2002, People’s Republic of China Electronics Industry Standard. Available online: https://www.doczhi.com/p-450501.html (accessed on 26 May 2021).
- Chen, X.Q.; Wu, L.N. LDPC Coded Random-Polar CP-EBPSK System. Signal Process. 2012, 28, 1650–1655. [Google Scholar]









| Harmonic Wave | Upper Limit Value, dB |
|---|---|
| 2nd harmonic | −64 |
| 3rd harmonic | −68 |
| 4th harmonic | −70 |
| 5th (or more) harmonic | −76 |
| Scheme | ηmax | Data Rate | Sideband PSD Attenuation | ||||
|---|---|---|---|---|---|---|---|
| 1st | 1 | 10 | π | 50 kHz | 1/34 | 5000 bps | −20 dB |
| 2nd | 1 | 20 | π | 50 kHz | 1/20 | 2500 bps | −25 dB |
| 3rd | 2 | 20 | π | 50 kHz | 1/22 | 2500 bps | −20 dB |
| 4th | 2 | 20 | π | 40 kHz | 1/15 | 2000 bps | −20 dB |
Publisher’s Note: MDPI stays neutral with regard to jurisdictional claims in published maps and institutional affiliations. |
© 2021 by the authors. Licensee MDPI, Basel, Switzerland. This article is an open access article distributed under the terms and conditions of the Creative Commons Attribution (CC BY) license (https://creativecommons.org/licenses/by/4.0/).
Share and Cite
Lyu, B.; Hua, Y.; Yuan, J.; Li, S. Application of Ultra Narrow Band Modulation in Enhanced Loran System. Sensors 2021, 21, 4347. https://doi.org/10.3390/s21134347
Lyu B, Hua Y, Yuan J, Li S. Application of Ultra Narrow Band Modulation in Enhanced Loran System. Sensors. 2021; 21(13):4347. https://doi.org/10.3390/s21134347
Chicago/Turabian StyleLyu, Boyun, Yu Hua, Jiangbin Yuan, and Shifeng Li. 2021. "Application of Ultra Narrow Band Modulation in Enhanced Loran System" Sensors 21, no. 13: 4347. https://doi.org/10.3390/s21134347
APA StyleLyu, B., Hua, Y., Yuan, J., & Li, S. (2021). Application of Ultra Narrow Band Modulation in Enhanced Loran System. Sensors, 21(13), 4347. https://doi.org/10.3390/s21134347
