Numerical Analysis of Radiation Effects on Fiber Optic Sensors
Abstract
1. Introduction
2. Setting up the OFS Models
2.1. Fiber Bragg Grating (FBG)
2.2. Long-Period Grating (LPG)
2.3. Fabry-Perot (F-P)
3. Numerical Analysis of How RIC Affects OFS at Low Doses
3.1. RIC Effects on FBG
3.2. RIC Effects on FBG Considering Length Change
3.3. RIC Effects on LPG
3.4. RIC Effects on LPG Considering Length Change
3.5. RIC Effects on F-P
3.6. RIC Effects on F-P Considering Length Change
4. RIC Effects on OFS at High Doses
4.1. RIC Effects on FBG
4.2. RIC Effects on LPG
4.3. RIC Effects on F-P
4.4. RIC-Induced Temperature Error
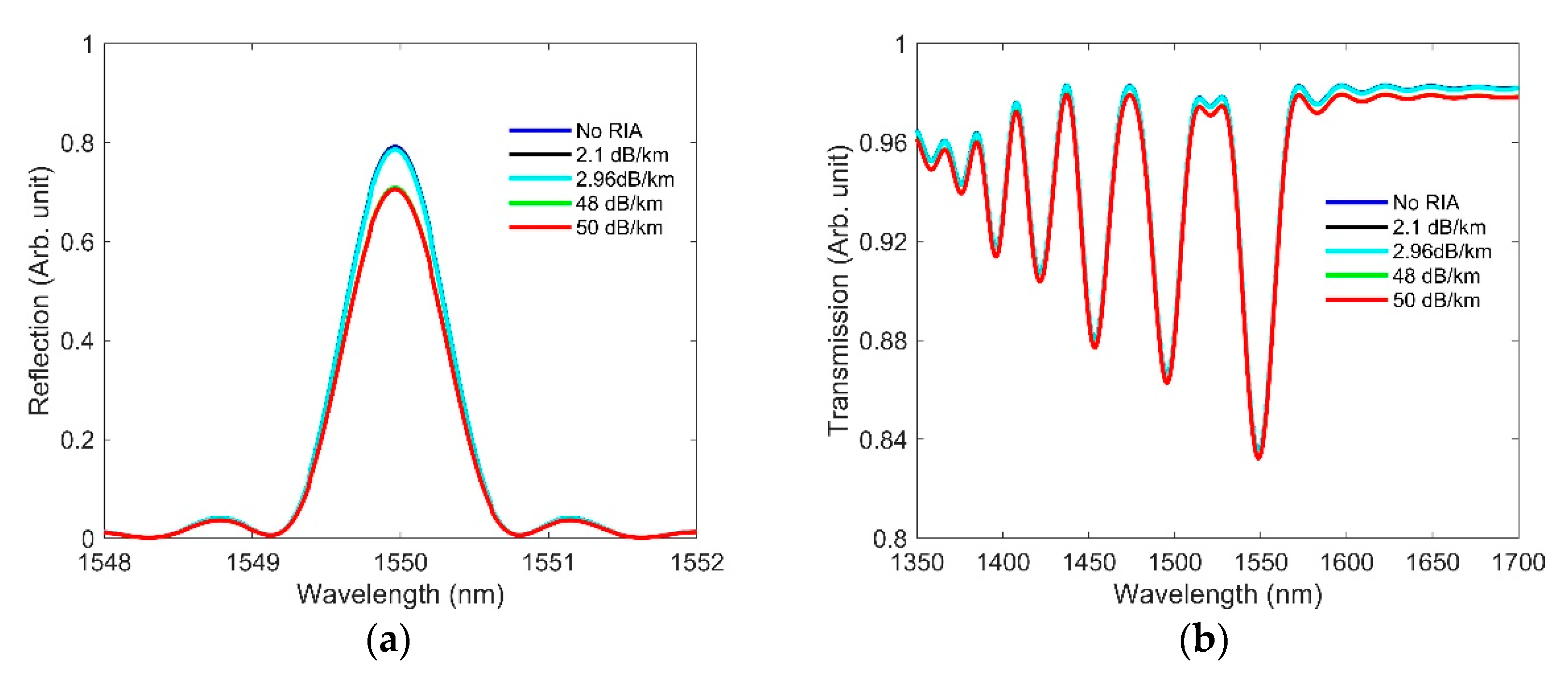
5. RIA Effects on OFSs
6. Conclusions
Author Contributions
Funding
Institutional Review Board Statement
Informed Consent Statement
Data Availability Statement
Conflicts of Interest
References
- Pioro, I.; Duffey, R. Nuclear power as a basis for future electricity generation. J. Nucl. Eng. Rad. Sci. 2015, 1, 011001. [Google Scholar] [CrossRef]
- Lake, J.A.; Bennett, R.G.; Kotek, J.F. Next generation nuclear power. Sci. Am. 2002, 286, 72–81. [Google Scholar] [CrossRef]
- Girard, S.; Kuhnhenn, J.; Gusarov, A.; Brichard, B.; Van Uffelen, M.; Ouerdane, Y.; Boukenter, A.; Marcandella, C. Radiation effects on silica-based optical fibers: Recent advances and future challenges. IEEE Trans. Nucl. Sci. 2013, 60, 2015–2036. [Google Scholar] [CrossRef]
- Bagatin, M.; Gerardin, S.; Gerardin, S. Ionizing Radiation Effects in Electronics: From Memories to Imagers, 1st ed.; CRC Press Taylor and Francis: Boca Raton, FL, USA, 2015. [Google Scholar]
- Girard, S.; Morana, A.; Ladaci, A.; Robin, T.; Mescia, L.; Bonnefois, J.-J.; Boutillier, M.; Mekki, J.; Paveau, A.; Cadier, B.; et al. Recent advances in radiation-hardened fiber-based technologies for space applications. J. Opt. 2018, 20, 093001. [Google Scholar] [CrossRef]
- Girard, S.; Alessi, A.; Richard, N.; Martin-Samos, L.; De Michele, V.; Giacomazzi, L.; Agnello, S.; Francesca, D.D.; Morana, A.; Winkler, B.; et al. Overview of radiation induced point defects in silica-based optical fibers. Rev. Phys. 2019, 4, 100032. [Google Scholar] [CrossRef]
- Berghmans, F.; Brichard, B.; Fernandez, A.F.; Gusarov, A.; Uffelen, M.V.; Girard, S. An introduction to radiation effects on optical components and fiber optic sensors. In NATO Science for Peace and Security Series; Bock, W.J., Gannot, I., Tanev, S., Eds.; Springer: Dordrecht, The Netherlands, 2008; pp. 127–165. [Google Scholar]
- Gusarov, A.; Hoeffgen, S.K. Radiation effects on fiber gratings. IEEE Trans. Nucl. Sci. 2013, 60, 2037–2053. [Google Scholar] [CrossRef]
- Morana, A.; Girard, S.; Marin, E.; Marcandella, C.; Paillet, P.; Périsse, J.; Macé, J.-R.; Boukenter, A.; Cannas, M.; Ouerdane, Y. Radiation tolerant fiber Bragg gratings for high temperature monitoring at MGy dose levels. Opt. Lett. 2014, 39, 5313–5316. [Google Scholar] [CrossRef]
- Zaghloul, M.A.S.; Wang, M.; Huang, S.; Hnatovsky, C.; Grobnic, D.; Mihailov, S.; Li, M.-J.; Carpenter, D.; Hu, L.-W.; Daw, J.; et al. Radiation resistant fiber Bragg grating in random air-line fibers for sensing applications in nuclear reactor cores. Opt. Express 2018, 26, 11775–11786. [Google Scholar] [CrossRef]
- Esposito, F.; Srivastava, A.; Iadicicco, A.; Campopiano, S. Multi-parameter sensor based on single long period grating in panda fiber for the simultaneous measurement of sri, temperature and strain. Opt. Laser Technol. 2019, 113, 198–203. [Google Scholar] [CrossRef]
- Esposito, F.; Stăncălie, A.; Neguţ, D.; Iadicicco, A.; Sporea, D.; Campopiano, S. Response of long period gratings to gamma and neutron-gamma radiations. In Proceedings of the Seventh European Workshop on Optical Fibre Sensors, Limassol, Cyprus, 1–4 October 2019; International Society for Optics and Photonics: Bellingham, WA, USA; p. 111990B. [Google Scholar]
- Stancălie, A.; Esposito, F.; Ranjan, R.; Bleotu, P.; Campopiano, S.; Iadicicco, A.; Sporea, D. Arc-induced long period gratings in standard and speciality optical fibers under mixed neutron-gamma irradiation. Sci. Rep. 2017, 7, 15845. [Google Scholar] [CrossRef]
- Cheymol, G.; Villard, J.F.; Gusarov, A.; Brichard, B. Fibre optic extensometer for high radiation and high temperature nuclear applications. IEEE Trans. Nucl. Sci. 2013, 60, 3781–3784. [Google Scholar] [CrossRef]
- Cheymol, G.; Gusarov, A.; Gaillot, S.; Destouches, C.; Caron, N. Dimensional measurements under high radiation with optical fibre sensors based on white light interferometry—Report on irradiation tests. IEEE Trans. Nucl. Sci. 2014, 61, 2075–2081. [Google Scholar] [CrossRef]
- Morana, A. Gamma-Rays and Neutrons Effects on Optical Fibers and Bragg Gratings for Temperature Sensors, Université Jean Monnet—Saint-Etienne; Università degli studi di Palermo: Palerme, Italy, 2013. [Google Scholar]
- Cheymol, G.; Remy, L.; Gusarov, A.; Kinet, D.; Mégret, P.; Laffont, G.; Blanchet, T.; Morana, A.; Marin, E.; Girard, S. Study of fiber Bragg grating samples exposed to high fast neutron fluences. IEEE Trans. Nucl. Sci. 2018, 65, 2494–2501. [Google Scholar] [CrossRef]
- Kher, S.; Chaubey, S.; Oak, S.M.; Gusarov, A. Measurement of γ-radiation induced refractive index changes in B/Ge doped fiber using LPGs. IEEE Photon. Technol. Lett. 2013, 25, 2070–2073. [Google Scholar] [CrossRef]
- Primak, W.; Kampwirth, R. The radiation compaction of vitreous silica. J. Appl. Phys. 1968, 39, 5651–5658. [Google Scholar] [CrossRef]
- Lell, E.; Kreidl, N.J.; Hensler, J.R. Radiation effects in quartz, silica, and glasses. In Progress in Ceramic Science; Burke, J.E., Ed.; Pergamon Press, Inc.: New York, NY, USA, 1966; Volume 4, pp. 1–93. [Google Scholar]
- Girard, S.; Marcandella, C.; Morana, A.; Perisse, J.; Di Francesca, D.; Paillet, P.; Macé, J.-R.; Boukenter, A.; Léon, M.; Gaillardin, M.; et al. Combined high dose and temperature radiation effects on multimode silica-based optical fibers. IEEE Trans. Nucl. Sci. 2013, 60, 4305–4313. [Google Scholar] [CrossRef]
- Cheymol, G.; Long, H.; Villard, J.F.; Brichard, B. High Level Gamma and Neutron Irradiation of Silica Optical Fibers in CEA OSIRIS Nuclear Reactor. IEEE Trans. Nucl. Sci. 2008, 55, 2252–2258. [Google Scholar] [CrossRef]
- Mode Solvers for Optical Waveguides–FIMMWAVE. Available online: https://www.photond.com/products/fimmwave/fimmwave_features_20.htm (accessed on 16 January 2021).
- Optical Fiber. Available online: https://en.wikipedia.org/wiki/Optical_fiber (accessed on 31 May 2021).
- Berghmans, F.; Fernandez, A.F.; Brichard, B.; Vos, F.; Decreton, M.C.; Gusarov, A.I.; Deparis, O.; Megret, P.; Blondel, M.; Caron, S.; et al. Radiation hardness of fiber optic sensors for monitoring and remote handling applications in nuclear environments. In Process Monitoring with Optical Fibers and Harsh Environment Sensors; Marcus, M.A., Wang, A., Eds.; SPIE: Bellingham, WA, USA, 1999; Volume 3538, pp. 28–39. [Google Scholar]
- Remy, L.; Cheymol, G.; Gusarov, A.; Morana, A.; Marin, E.; Girard, S. Compaction in optical fibres and fibre Bragg gratings under nuclear reactor high neutron and gamma fluence. IEEE Trans. Nucl. Sci. 2016, 63, 2317–2322. [Google Scholar] [CrossRef]
- Werneck, M.M.; Allil, R.C.S.B.; Ribeiro, B.A.; De Nazaré, F.V.B. A guide to fiber Bragg grating sensors. In Current Trends in Short- and Long-Period Fiber Gratings; InTech: Rijeka, Croatia, 2013; pp. 1–24. [Google Scholar]
- Esposito, F.; Stăncălie, A.; Neguţ, C.-D.; Campopiano, S.; Sporea, D.; Iadicicco, A. Comparative investigation of gamma radiation effects on long period gratings and optical power in different optical fibers. J. Lightw. Technol. 2019, 37, 4560–4566. [Google Scholar] [CrossRef]
- Bhatia, V. Properties and Sensing Applications of Long-Period Gratings; Virginia Tech: Blacksburg, VA, USA, 1996. [Google Scholar]
- James, S.W.; Tatam, R.P. Optical fibre long-period grating sensors: Characteristics and application. Meas. Sci. Technol. 2003, 14, R49–R61. [Google Scholar] [CrossRef]
- Bhatia, V. Applications of long-period gratings to single and multi-parameter sensing. Opt. Express 1999, 4, 457–466. [Google Scholar] [CrossRef]
- Hromadka, J.; Korposh, S.; Partridge, M.C.; James, S.W.; Davis, F.; Crump, D.; Tatam, R.P. Multi-parameter measurements using optical fibre long period gratings for indoor air quality monitoring. Sens. Actuators B Chem. 2017, 244, 217–225. [Google Scholar] [CrossRef]
- Erdogan, T. Cladding-mode resonances in short- and long-period fiber grating filters. J. Opt. Soc. Am. A 1997, 14, 1760–1773. [Google Scholar] [CrossRef]
- Cheymol, G.; Brichard, B.; Villard, J.F. Fiber optics for metrology in nuclear research reactors—Applications to dimensional measurements. IEEE Trans. Nucl. Sci. 2011, 58, 1895–1902. [Google Scholar] [CrossRef]
- Berruti, G.M.; Vaiano, P.; Quero, G.; Pimentel Das Neves, T.F.; Boniello, A.; Consales, M.; Petagna, P.; Cusano, A. Analysis of Uncoated LPGs Written in B-Ge Doped Fiber under Proton Irradiation for Sensing Applications at CERN. Sci Rep 2020, 10, 1344. [Google Scholar] [CrossRef] [PubMed]
- Petrie, C.M.; Birri, A.; Blue, T.E. High-dose temperature-dependent neutron irradiation effects on the optical transmission and dimensional stability of amorphous fused silica. J. Non Cryst. Solids 2019, 525, 119668. [Google Scholar] [CrossRef]
- Piao, F.; Oldham, W.G.; Haller, E.E. The mechanism of radiation-induced compaction in vitreous silica. J. Non Cryst. Solids 2000, 276, 61–71. [Google Scholar] [CrossRef]
- Tomashuk, A.L.; Zabezhailov, M.O. Formation Mechanisms of Precursors of Radiation-Induced Color Centers during Fabrication of Silica Optical Fiber Preform. J. Appl. Phys. 2011, 109, 083103. [Google Scholar] [CrossRef]
- Gusarov, A.I.; Berghmans, F.; Fernandez, A.F.; Deparis, O.; Defosse, Y.; Starodubov, D.; Decreton, M.; Megret, P.; Bondel, M. Behavior of Fibre Bragg Gratings under High Total Dose Gamma Radiation. IEEE Trans. Nucl. Sci. 2000, 47, 688–692. [Google Scholar] [CrossRef]
- Brichard, B.; Butov, O.V.; Golant, K.M.; Fernandez Fernandez, A. Gamma Radiation-Induced Refractive Index Change in Ge- and N-Doped Silica. J. Appl. Phys. 2008, 103, 054905. [Google Scholar] [CrossRef]
- Kniazewski, P.; Kujawinska, M.; Berghmans, F.; Fernandez, A.; Goussarov, A.; Uffelen, M.V. Application of the Microinterferometric Tomography Setup to the Reliability Tests of the Fiber Sensors Exposed to Cumulated Gamma Radiation. In Proceedings of the Nano- and Micro-Metrology, Munich, Germany, 29 August 2005; Volume 5858, p. 585805. [Google Scholar]
- Wong, R.Y.-N.; Juan, D.H.J.; Ibsen, M.; Shum, P.P. Optical fibre long-period grating sensors operating at and around the phase matching turning point. In Applications of Optical Fibers for Sensing; InTech: Rijeka, Croatia, 2019. [Google Scholar]
- Chen, Z.; Xiong, S.; Gao, S.; Zhang, H.; Wan, L.; Huang, X.; Huang, B.; Feng, Y.; Liu, W.; Li, Z. High-temperature sensor based on Fabry-Perot interferometer in microfiber tip. Sensors 2018, 18, 202. [Google Scholar] [CrossRef] [PubMed]
- Li, L.; Feng, Z.; Qiao, X.; Yang, H.; Wang, R.; Su, D.; Wang, Y.; Bao, W.; Li, J.; Shao, Z.; et al. Ultrahigh sensitive temperature sensor based on Fabry–Pérot interference assisted by a graphene diaphragm. IEEE Sens. J. 2015, 15, 505–509. [Google Scholar] [CrossRef]
- Zhang, G.; Yang, M.; Wang, M. Large Temperature sensitivity of fiber-optic extrinsic Fabry–Perot interferometer based on polymer-filled glass capillary. Opt. Fiber Technol. 2013, 19, 618–622. [Google Scholar] [CrossRef]
- Wang, F.; Liu, Y.; Lu, Y.; Zhang, L.; Ma, J.; Wang, L.; Sun, W. High-sensitivity Fabry-Perot interferometer temperature sensor probe based on liquid crystal and the vernier effect. Opt. Lett. 2018, 43, 5355–5358. [Google Scholar] [CrossRef] [PubMed]
- Ott, M.N. Radiation effects data on commercially available optical fiber: Database summary. In Proceedings of the IEEE Radiation Effects Data Workshop, Phoenix, AZ, USA, 15–19 July 2002; pp. 24–31. [Google Scholar]
- Van Uffelen, M.; Berghmans, F.; Brichard, B.; Vos, F.; Decreton, M.; Nowodzinski, A.; Lecompte, J.-C.; Le Neve, F.; Jucker, P. Long-term prediction of radiation induced losses in single mode optical fibers exposed to gamma rays using a pragmatic approach. In Proceedings of the 2000 IEEE Radiation Effects Data Workshop. Workshop Record. Held in conjunction with IEEE Nuclear and Space Radiation Effects Conference (Cat. No.00TH8527), Reno, NV, USA, 24–28 July 2000; pp. 80–84. [Google Scholar]
















| Dose (kGy) | |
|---|---|
| 6.5 | |
| 10.4 | |
| 102 | |
| 1049 | |
| 1540 |
| Dose (kGy) | ||||
|---|---|---|---|---|
| 0 | 0 | 0 | 0 | 0 |
| 6.5 | 0.00403 | 0.00403 | 0.00134 | |
| 10.4 | 0.00479 | 0.00479 | 0.00159 | |
| 102 | 0.01152 | 0.01152 | 0.00384 | |
| 1049 | 0.03071 | 0.03069 | 0.01023 | |
| 1540 | 0.03551 | 0.03549 | 0.01183 |
| Type of Fiber | Dose Rate | Total Dose | Refs. | |
|---|---|---|---|---|
| Telecom grade | N/A | 1.6 MGy | Gusarov et al. [39] | |
| SMF-28 | 23 kGy/h | 5 MGy | Kniazewski et al. [41] | |
| Ge, N doped | 20 kGy/h | 7 MGy | Brichard et al. [40] |
| Dose | ||||
|---|---|---|---|---|
| 1.6 MGy | 0.03589 | 0.03587 | 0.01196 | |
| 5 MGy | 0.05580 | 0.05577 | 0.01859 | |
| 7 MGy | 0.06357 | 0.06353 | 0.02118 |
| Dose | Temperature Error | ||
|---|---|---|---|
| FBG | LPG | F-P | |
| 1.6 MGy | 2 °C | 414 °C | 0 |
| 5 MGy | 3.7 °C | 732 °C | 0 |
| 7 MGy | 3.9 °C | 936 °C | 0 |
Publisher’s Note: MDPI stays neutral with regard to jurisdictional claims in published maps and institutional affiliations. |
© 2021 by the authors. Licensee MDPI, Basel, Switzerland. This article is an open access article distributed under the terms and conditions of the Creative Commons Attribution (CC BY) license (https://creativecommons.org/licenses/by/4.0/).
Share and Cite
Rana, S.; Subbaraman, H.; Fleming, A.; Kandadai, N. Numerical Analysis of Radiation Effects on Fiber Optic Sensors. Sensors 2021, 21, 4111. https://doi.org/10.3390/s21124111
Rana S, Subbaraman H, Fleming A, Kandadai N. Numerical Analysis of Radiation Effects on Fiber Optic Sensors. Sensors. 2021; 21(12):4111. https://doi.org/10.3390/s21124111
Chicago/Turabian StyleRana, Sohel, Harish Subbaraman, Austin Fleming, and Nirmala Kandadai. 2021. "Numerical Analysis of Radiation Effects on Fiber Optic Sensors" Sensors 21, no. 12: 4111. https://doi.org/10.3390/s21124111
APA StyleRana, S., Subbaraman, H., Fleming, A., & Kandadai, N. (2021). Numerical Analysis of Radiation Effects on Fiber Optic Sensors. Sensors, 21(12), 4111. https://doi.org/10.3390/s21124111

