Visual Echolocation Concept for the Colorophone Sensory Substitution Device Using Virtual Reality
Abstract
1. Introduction
2. Related Work
3. Extension Tool’s Simulation for Colorophone SSD
3.1. 3D Camera Simulation Using VIRCO
3.2. Depth Map Acquisition
3.3. Visual Echolocation
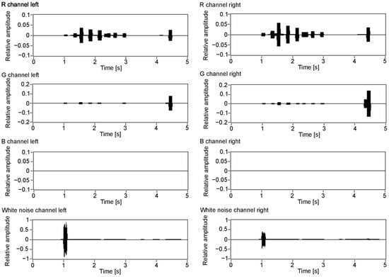
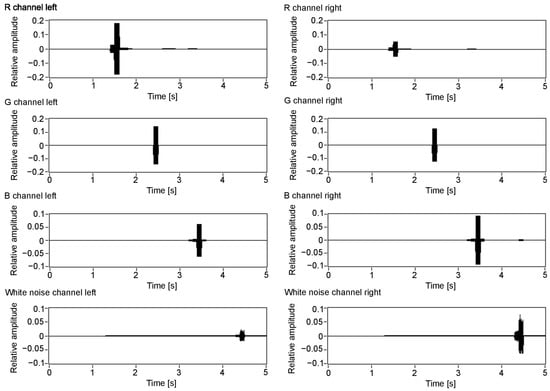
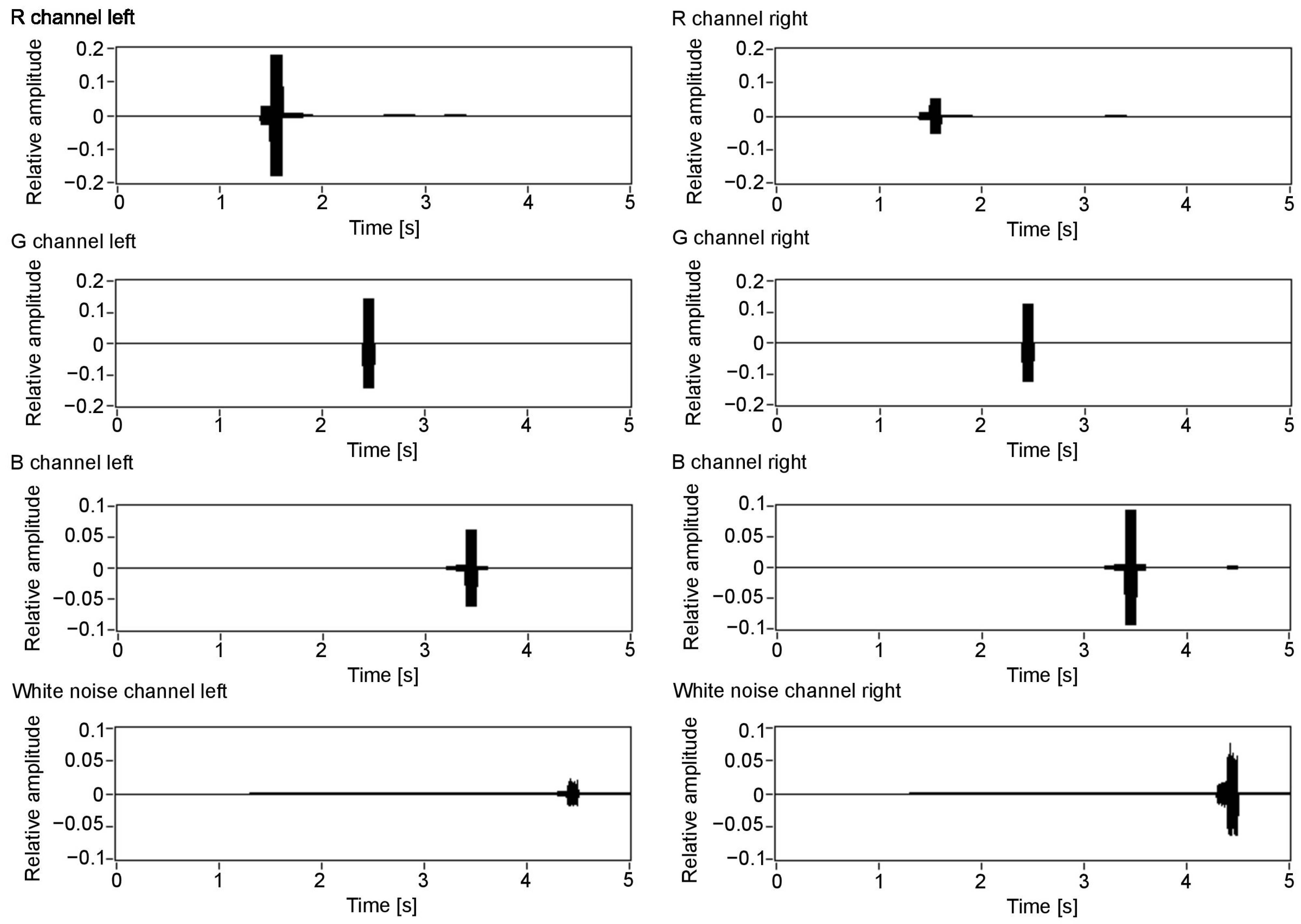
4. Results
5. Preliminary Tests
- (a)
- How many objects have you heard?
- (b)
- What were the colours of the objects in the order of appearance?
- (c)
- Which side were the objects on in the order of appearance?
- (d)
- Draw what you have heard.
6. Conclusions and Future Work
Author Contributions
Funding
Institutional Review Board Statement
Informed Consent Statement
Data Availability Statement
Acknowledgments
Conflicts of Interest
Appendix A. Instruction for Preliminary Experiments with the Colorophone Visual Echolocation System
- Introduction to the sonification method of ColorophoneSonification means using sound other than speech to pass information—in our case visual information. In short, the scene that a sighted person can see, a visually impaired one can hear. To understand the presented sounds, one needs to get familiar with the sonification method of Colorophone (an assistive device for blind people). Namely, there are three basic sounds used—for red, green and blue; additionally, white is heard as white noise and black is represented by silence. The higher a given primary colour’s intensity, the louder the sound corresponding to that colour is. The rules of coding more complex colours are not needed for the test. In the tests, there will be no black objects.For the experimenter:At this moment, the sounds for red, green, blue and white are presented multiple times, without visual presentation. Next, the participant is asked to randomly recognise the colours, to make sure they can distinguish them.
- Introduction to visual echolocation, trainingIn order to understand how the tool works, it is also necessary to introduce the concept of echolocation. In nature, echolocation serves as a tool to find a location of objects in the environment. In short, first, a sound is emitted that, after reflecting from objects, returns to the ears, and, based on the perceived direction, return time and the intensity of the coming sound, it can be interpreted to obtain direction, distance and size of the objects. Such a method is used for orientation by bats or dolphins.In the evaluated tool, there is a stereo camera obtaining information instead of the sound emitter and receiver. The visual information is then converted to an audio signal, mimicking the concept of echolocation. One can imagine it as an axial plane moving from the user that moves through objects in the scene. Whatever object the axial plane crosses at a given moment is being sonified. The sonification is realised by using the following rules:
- time defines distance—the later something is heard, the farther it is from the camera,
- the area that the mentioned plane encounters is analysed by averaging the colours it contains. In other words, if it contains, for example, both red and white colours, we will hear the output sound corresponding to the appropriate amount of red and white,
- the loudness of the sound depends both on the colour saturation (as in the sonication method mentioned before) and the size of the object (the larger the object, the louder the sound).
Moreover, the first 15 cm starting from the camera are not sonified (silence), and the maximum distance of the sonified objects is 5 m—everything that is further is not analysed.Training part: Now, the test scenes will be presented with both audio and visual output. You can take notes during the training. The participant should play the recordings himself/herself in order to control the start of the sonification. Each scene shows two objects placed on the floor—while listening to the recordings, the participant should pay attention to:- position of the objects (more from the left side, in the middle or more from the right side),
- distance of the objects (closer, further),
- distance between the objects,
- colours (red, green, blue, white).
For the experimenter:At this point, Training scenes 1 (Figure A1, Training scene 1), 2 (Figure A2, Training scene 2) and 3 (Figure A3, Training scene 3) should be presented as audio-visual stimuli. There is a possibility of listening to the recordings several times. The experimenter should describe the characteristics of the scenes to the participant about the features mentioned above: which object is located where, objects are near/far, objects are closer/further to each other, what are the colours of the objects. Additionally, write down any comments on tasks. The participant should play the recordings himself/herself in order to control the start of the sonification.Figure A1. Training scene 1, view from left camera.Figure A1. Training scene 1, view from left camera.Figure A2. Training scene 2, view from left camera.Figure A2. Training scene 2, view from left camera.Figure A3. Training scene 3, view from left camera.Figure A3. Training scene 3, view from left camera. - Test partThere are three tasks in the test part. Before starting each task, the participant gets familiarised with the questions that he/she will have to answer after each task. The tasks are to listen to the recordings but without access to the visual information. The participant may listen to the recordings several times if necessary. He/She can take notes during the test. The participant should play the recordings himself/herself in order to control the start of the sonification.For the experimenter:Provide the participant with an answer form, 3 blank A4 pages and a pen. At this point, questions for Test scene 1 (Figure A4, Test scene 1) should be presented, followed by a recording without visual information. The experimenter writes down the number of times the recording has been played. The participant should play the recordings himself/herself in order to control the start of the sonification.Questions 1:
- (a)
- How many objects have you heard?
- (b)
- What were the colours of the objects in the order of appearance?
- (c)
- Which side were the objects on in the order of appearance?
- (d)
- Draw what you have heard.
Figure A4. Test scene 1, view from left camera.Figure A4. Test scene 1, view from left camera.For the experimenter:At this point, questions for Test scene 2 (Figure A5, Test scene 2) should be presented, followed by a recording without visual information. The experimenter writes down the number of times the recording has been played. The participant should play the recordings himself/herself in order to control the start of the sonification.Questions 2:- (a)
- How many objects have you heard?
- (b)
- What were the colours of the objects in the order of appearance?
- (c)
- Which side were the objects on in the order of appearance?
- (d)
- Draw what you have heard.
Figure A5. Test scene 2, view from left camera.Figure A5. Test scene 2, view from left camera.For the experimenter:At this point, questions for Test scene 3 (Figure A6, Test scene 3) should be presented, followed by a recording without visual information. The experimenter writes down the number of times the recording has been played. The participant should play the recordings himself/herself in order to control the start of the sonification.Questions 3:- (a)
- How many objects have you heard?
- (b)
- What were the colours of the objects in the order of appearance?
- (c)
- Which side were the objects on in the order of appearance?
- (d)
- Draw what you have heard.
Figure A6. Test scene 3, view from left camera.Figure A6. Test scene 3, view from left camera.For the experimenter:Ask the participant an additional question to Test scene 3: The last test scene presents a natural scene that can exist in reality. What could it be in your opinion?
Appendix B. Drawings Made by Participants Based on Heard Test Scenes









References
- Danilov, Y.; Tyler, M. Brainport: An Alternative Input to the Brain. J. Integr. Neurosci. 2006, 4, 537–550. [Google Scholar] [CrossRef] [PubMed]
- The vOICe Home Page. Available online: https://www.seeingwithsound.com/ (accessed on 26 October 2020).
- Osinski, D.; Hjelme, D.R. A Sensory Substitution Device Inspired by the Human Visual System. In Proceedings of the 11th International Conference on Human System Interaction (HSI), Gdańsk, Poland, 4–6 July 2018; pp. 186–192. [Google Scholar] [CrossRef]
- Abboud, S.; Hanassy, S.; Levy-Tzedek, S.; Maidenbaum, S.; Amedi, A. EyeMusic: Introducing a “Visual” Colorful Experience for the Blind Using Auditory Sensory Substitution. Restor. Neurol. Neurosci. 2014, 32, 247–257. [Google Scholar] [CrossRef] [PubMed]
- Caraiman, S.; Zvoristeanu, O.; Burlacu, A.; Herghelegiu, P. Stereo Vision Based Sensory Substitution for the Visually Impaired. Sensors 2019, 19, 2771. [Google Scholar] [CrossRef] [PubMed]
- Bujacz, M.; Skulimowski, P.; Strumillo, P. Naviton—A Prototype Mobility Aid for Auditory Presentation of Three-Dimensional Scenes to the Visually Impaired. J. Audio Eng. Soc. 2012, 60, 696–708. [Google Scholar]
- Gomez, J.D.; Bologna, G.; Pun, T. See ColOr: An Extended Sensory Substitution Device for the Visually Impaired. J. Assist. Technol. 2014, 8, 77–94. [Google Scholar] [CrossRef]
- SoundSight Home Page. Available online: https://soundsight.co.uk/ (accessed on 26 October 2020).
- González-Mora, J.L.; Rodríguez-Hernández, A.; Rodríguez-Ramos, L.F.; Díaz-Saco, L.; Sosa, N. Development of a New Space Perception System for Blind People, Based on the Creation of a Virtual Acoustic Space. In Engineering Applications of Bio-Inspired Artificial Neural Networks; Mira, J., Sánchez-Andrés, J.V., Eds.; Lecture Notes in Computer Science; Springer: Berlin/Heidelberg, Germany, 1999; pp. 321–330. [Google Scholar] [CrossRef]
- Hub, A.; Diepstraten, J.; Ertl, T. Design and Development of an Indoor Navigation and Object Identification System for the Blind. Assoc. Comput. Mach. 2003, 77–78, 147–152. [Google Scholar] [CrossRef]
- Kolarik, A.J.; Cirstea, S.; Pardhan, S.; Moore, B.C.J. A summary of research investigating echolocation abilities of blind and sighted humans. Hear. Res. 2014, 310, 60–68. [Google Scholar] [CrossRef]
- Ifukube, T.; Sasaki, T.; Peng, C. A blind mobility aid modeled after echolocation of bats. IEEE Trans. Biomed. Eng. 1991, 38, 461–465. [Google Scholar] [CrossRef]
- Sohl-Dickstein, J.; Teng, S.; Gaub, B.M.; Rodgers, C.C.; Li, C.; DeWeese, M.R.; Harper, N.S. A Device for Human Ultrasonic Echolocation. IEEE Trans. Biomed. Eng. 1991, 62, 1526–1534. [Google Scholar] [CrossRef]
- Colorophone Home Page. Available online: https://www.colorophone.com/ (accessed on 26 October 2020).
- Bizoń, P.; Gwiaździński, P.; Hat, K.; Osiński, D.; Reuter, M.; Fauchald, E.; Verma, S.; Skylstad, T.K.; Sørli, S.; Thorsen, J.E.; et al. VIRCO: A Virtual Reality Tool for Long-Term Training and Evaluation of the Cognitive Skills Development in an Interactive Sensory Substitution Environment. In Proceedings of the Joint IEEE 9th International Conference on Development and Learning and Epigenetic Robotics (ICDL-EpiRob), Oslo, Norway, 19–22 August 2019; pp. 87–92. [Google Scholar] [CrossRef]
- Schenkman, B.N.; Nilsson, M.E. Human Echolocation: Pitch versus Loudness Information. Perception 2011, 40, 840–852. [Google Scholar] [CrossRef]
- Kellogg, W.N. Sonar System of the Blind. Science 1962, 137, 399–404. [Google Scholar] [CrossRef] [PubMed]
- Rice, C.E. Human Echo Perception. Science 1967, 155, 656–664. [Google Scholar] [CrossRef] [PubMed]
- Teng, S.; Puri, A.; Whitney, D. Ultrafine Spatial Acuity of Blind Expert Human Echolocators. Exp. Brain Res. 2012, 216, 483–488. [Google Scholar] [CrossRef] [PubMed][Green Version]
- Supa, M.; Cotzin, M.; Dallenbach, K.M. “Facial Vision”: The Perception of Obstacles by the Blind. Am. J. Psychol. 1944, 57, 133–183. [Google Scholar] [CrossRef]
- The Colorophone VE Example Page. Available online: https://www.colorophone.com/visual-echolocation-boxes (accessed on 26 October 2020).
- Hamilton-Fletcher, G.; Alvarez, J.; Obrist, M.; Ward, J. SoundSight: A Mobile Sensory Substitution Device That Sonifies Colour, Distance, and Temperature. 2019. Available online: https://psyarxiv.com/xsjwr/ (accessed on 26 October 2020).
- National Instruments Home Page. Available online: https://www.ni.com (accessed on 26 October 2020).
- Unity Home Page. Available online: https://unity.com/ (accessed on 26 October 2020).
- Hirschmüller, H. Semi-Global Matching-Motivation, Developments and Applications. In Photogrammetric Week 11; Fritsch, D., Ed.; Wichmann: Stuttgart, Germany, 5–9 September 2011; pp. 173–184. [Google Scholar]















| Parameter Name | Value | ||
|---|---|---|---|
| Camera | Resolution of a single picture | 1104 × 621/368 × 207 | |
| Field of View | H: 76, V 47 | ||
| Baseline | 6.3 [cm] | ||
| Aspect Ratio | 76:47 | ||
| SGBM Algorithm and Interpolation | General | Depth limit | 500 [cm] |
| Minimum depth value | 15 [cm] | ||
| Filter Cap | 15 | ||
| Process Band | True | ||
| Order | 1 | ||
| Sampling Frequency | 25 | ||
| Correspondence Options | Method | SAD | |
| Window Size | 21 | ||
| Minimum Disparity | 0 | ||
| Number of Disparity | 160 | ||
| P1 | 100 | ||
| P2 | 500 | ||
| Full DP | False | ||
| Max Left Right Disparity | 5 | ||
| Subpixel | True | ||
| Invalid Disparity Replace Value | −16 | ||
| Postfilter Options | Texture Threshold | 15 | |
| Uniqueness Ratio | 10 | ||
| Speckle Window Size | 1 | ||
| Speckle Range | 500 | ||
| Echolocation parameters | Main sound coding colour | Amplitude R | 1 |
| Amplitude G | 1 | ||
| Amplitude B | 1 | ||
| Frequency R | 1000 [Hz] | ||
| Frequency G | 500 [Hz] | ||
| Frequency B | 250 [Hz] |
| Image Resolution for Depth Map Calculation | Image Resolution for Further Processing | Execution Time for Depth Map Calculation [s] | Execution Time for the Entire Process of Visual Echolocation [s] |
|---|---|---|---|
| 2208 × 1242 | - | 8.5 | - |
| 1104 × 621 | - | 2.3 | - |
| 736 × 414 | - | 1.1 | - |
| 1104 × 621 | 736 × 414 | - | >180 |
| 1104 × 621 | 368 × 207 | - | 24 |
| 1104 × 621 | 184 × 104 | - | 8.6 |
| Task/Question | Correct Answer | Participant 1 | Participant 2 | Participant 3 |
|---|---|---|---|---|
| 1.a) | 2 | 2 | 2 | 3 |
| 1.b) | 1-W 2-B | 1-W 2-B | 1-W 2-B | 1,2-W 3-B |
| 1.c) | 1-right 2-middle | 1-right 2-middle | 1-right 2-middle | 1,2-right 3-middle |
| 2.a) | 4 | 4 | 4 | 4 |
| 2.b) | 1-R 2-G 3-B 4-W | 1-R 2-G 3-B 4-W | 1-R 2-G 3-B 4-W | 1-R 2-G 3-B 4-W |
| 2.c) | 1-left 2-left/middle 3-right/middle 4-right | 1-left 2-middle 3-right/middle 4-right | 1-left 2-middle 3-right 4-right | 1-left 2-left/middle 3-right/middle 4-right |
| 3.a) | 9 | 10 | 8 | 9 |
| 3.b) | 1-W 2-8-R 9-G | 1-W 2-10-G | 1-W 2-6-G 7-W 8-B | 1-W 2-6-G 7,8-B 9-W |
| 3.c) | 1-left/middle 2-10-right/middle | 1-middle 2-10-right | 1-middle 2-8-right | 1-left towards right 2-9-right |
| No. of trials | ||||
| Scene 1 | 3 | 3 | 3 | |
| Scene 2 | 3 | 3 | 4 | |
| Scene 3 | 3 | 3 | 2 | |
| Test 1 | 3 | 5 | 3 | |
| Test 2 | 5 | 11 | 6 | |
| Test 3 | 8 | 18 | 8 | |
| Age | 30 | 29 | 29 | |
| Gender | M | M | M |
Publisher’s Note: MDPI stays neutral with regard to jurisdictional claims in published maps and institutional affiliations. |
© 2021 by the authors. Licensee MDPI, Basel, Switzerland. This article is an open access article distributed under the terms and conditions of the Creative Commons Attribution (CC BY) license (http://creativecommons.org/licenses/by/4.0/).
Share and Cite
Bizoń-Angov, P.; Osiński, D.; Wierzchoń, M.; Konieczny, J. Visual Echolocation Concept for the Colorophone Sensory Substitution Device Using Virtual Reality. Sensors 2021, 21, 237. https://doi.org/10.3390/s21010237
Bizoń-Angov P, Osiński D, Wierzchoń M, Konieczny J. Visual Echolocation Concept for the Colorophone Sensory Substitution Device Using Virtual Reality. Sensors. 2021; 21(1):237. https://doi.org/10.3390/s21010237
Chicago/Turabian StyleBizoń-Angov, Patrycja, Dominik Osiński, Michał Wierzchoń, and Jarosław Konieczny. 2021. "Visual Echolocation Concept for the Colorophone Sensory Substitution Device Using Virtual Reality" Sensors 21, no. 1: 237. https://doi.org/10.3390/s21010237
APA StyleBizoń-Angov, P., Osiński, D., Wierzchoń, M., & Konieczny, J. (2021). Visual Echolocation Concept for the Colorophone Sensory Substitution Device Using Virtual Reality. Sensors, 21(1), 237. https://doi.org/10.3390/s21010237

