The Cardiovascular Response to Interval Exercise Is Modified by the Contraction Type and Training in Proportion to Metabolic Stress of Recruited Muscle Groups
Abstract
1. Introduction
2. Materials and Methods
2.1. Participants
2.2. Study Design
2.3. Soft Robotic Device
2.4. Training
2.5. Test Sessions
2.6. Measurement of Oxygen Saturation and Hemoglobin Concentration
2.7. Statistical Analysis
3. Results
3.1. Subjects
3.2. Characteristics of the Muscle Stimulus during Interval Exercise
3.3. Cardiovascular and Metabolic Reactions during Interval Exercise
3.4. Progression of the Imposed Exercise Stimulus with Interval Training
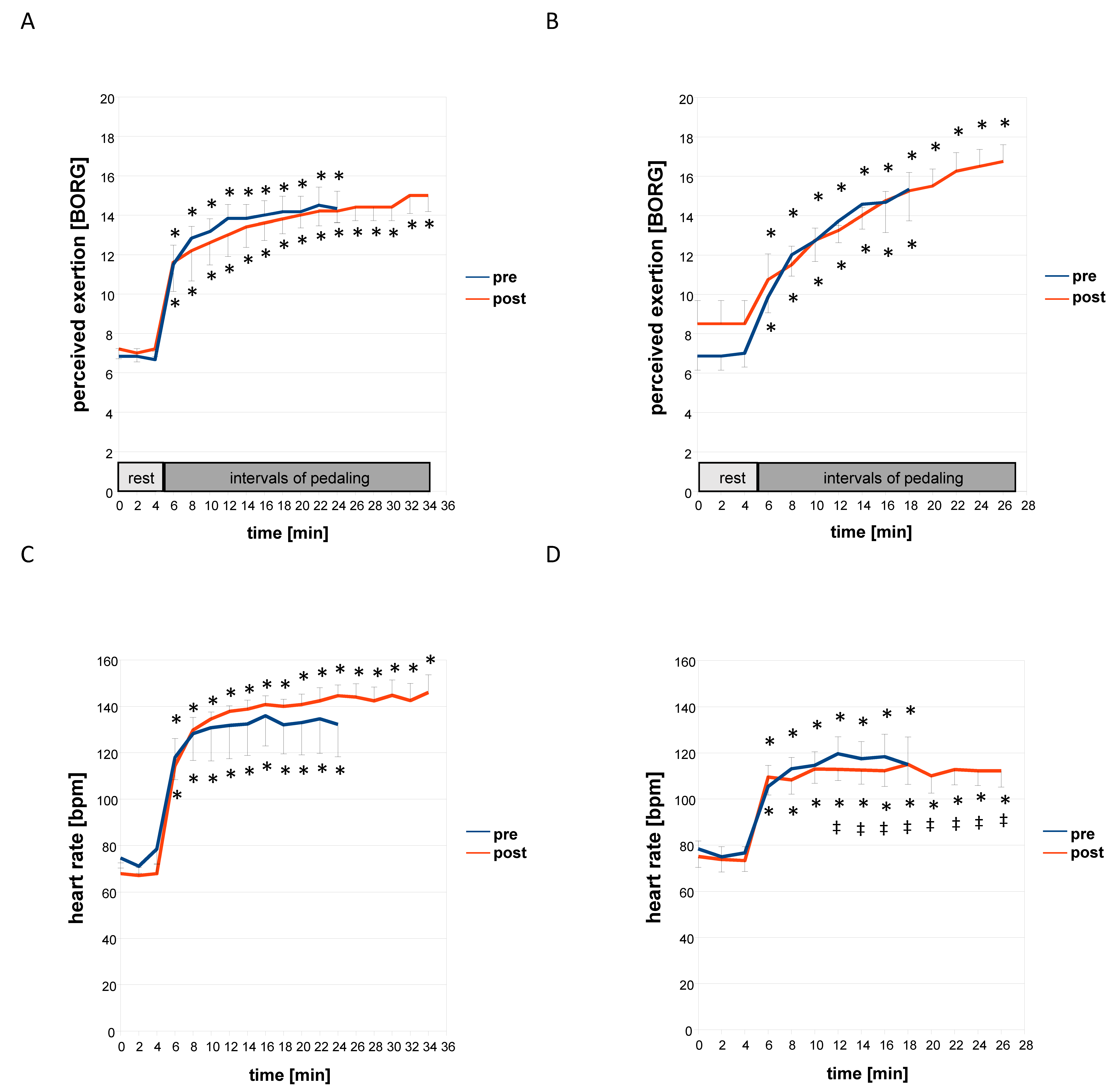
3.5. Training Modifies Metabolic and Cardiovascular Reactions during Interval Exercise
3.6. Training Modifies Metabolic and Cardiovascular Parameters before and after Interval Exercise
3.7. Effects of Training and Contraction Protocol in the Two Groups on Aerobic Capacity and Power
3.8. Training and Contraction Protocol Modify Cardiovascular Reactions during Cyclic Ramp Exercise
3.9. Relationships between the Muscle Stimulus and Adjustment of Cardiovascular/Metabolic Parameters
4. Discussion
5. Conclusions
Supplementary Materials
Author Contributions
Funding
Institutional Review Board Statement
Informed Consent Statement
Data Availability Statement
Acknowledgments
Conflicts of Interest
References
- Fluck, M.; Hoppeler, H. Molecular basis of skeletal muscle plasticity--from gene to form and function. Rev. Physiol. Biochem. Pharmacol. 2003, 146, 159–216. [Google Scholar] [PubMed]
- Joyner, M.J.; Casey, D.P. Regulation of increased blood flow (hyperemia) to muscles during exercise: A hierarchy of competing physiological needs. Physiol. Rev. 2015, 95, 549601. [Google Scholar] [CrossRef] [PubMed]
- Hoppeler, H.; Howald, H.; Conley, K.; Lindstedt, S.L.; Claassen, H.; Vock, P.; Weibel, E.R. Endurance training in humans: Aerobic capacity and structure of skeletal muscle. J. Appl. Physiol. 1985, 59, 320–327. [Google Scholar] [CrossRef] [PubMed]
- Frese, S.; Valdivieso, P.; Jaecker, V.; Harms, S.; Konou, T.; Tappe, K.; Schiffer, T.; Frese, L.; Bloch, W.; Flück, M. Expression of Metabolic and Myogenic Factors during two Competitive Seasons in Elite Junior Cyclists. Dtsch. Z. Sportmed. 2016, 67, 150–158. [Google Scholar] [CrossRef]
- Terjung, R.L. Muscle Adaptations to Aerobic Training. Sports Sci. Exch. 1995, 8, 1–4. [Google Scholar]
- Hoppeler, H.; Baum, O.; Mueller, M.; Lurman, G. Molekulare Mechanismen der Anpassungsfähigkeit der Skelettmuskulatur. Schweiz. Z. Med. Traumatol. 2011, 59, 6–13. [Google Scholar]
- Zoll, J.; Steiner, R.; Meyer, K.; Vogt, M.; Hoppeler, H.; Fluck, M. Gene expression in skeletal muscle of coronary artery disease patients after concentric and eccentric endurance training. Eur. J. Appl. Physiol. 2006, 96, 413–422. [Google Scholar] [CrossRef][Green Version]
- Hickson, R.C. Interference of strength development by simultaneously training for strength and endurance. Eur. J. Appl. Physiol. Occup. Physiol. 1980, 45, 255–263. [Google Scholar] [CrossRef]
- Seiler, S.; Tønnessen, E. Intervals, Thresholds, and Long Slow Distance: The Role of Intensity and Duration in Endurance Training. Sportscience 2009, 13, 32–53. [Google Scholar]
- Abbott, B.C.; Bigland, B. The effects of force and speed changes on the rate of oxygen consumption during negative work. J. Physiol. 1953, 120, 319–325. [Google Scholar] [CrossRef]
- Hody, S.; Croisier, J.L.; Bury, T.; Rogister, B.; Leprince, P. Eccentric Muscle Contractions: Risks and Benefits. Front. Physiol. 2019, 10, 536. [Google Scholar] [CrossRef] [PubMed]
- Elmer, S.J.; LaStayo, P.C. Revisiting the positive aspects of negative work. J. Exp. Biol. 2014, 217 Pt 14, 2434–2436. [Google Scholar] [CrossRef][Green Version]
- Vallejo, A.F.; Schroeder, E.T.; Zheng, L.; Jensky, N.E.; Sattler, F.R. Cardiopulmonary responses to eccentric and concentric resistance exercise in older adults. Age Ageing 2006, 35, 291–297. [Google Scholar] [CrossRef] [PubMed]
- LaStayo, P.; Marcus, R.; Dibble, L.; Wong, B.; Pepper, G. Eccentric versus traditional resistance exercise for older adult fallers in the community: A randomized trial within a multi-component fall reduction program. BMC Geriatr. 2017, 17, 149. [Google Scholar] [CrossRef] [PubMed]
- Klarod, K.; Philippe, M.; Gatterer, H.; Burtscher, M. Different training responses to eccentric endurance exercise at low and moderate altitudes in pre-diabetic men: A pilot study. Sport Sci. Health 2017, 13, 615–623. [Google Scholar] [CrossRef]
- Julian, V.; Thivel, D.; Costes, F.; Touron, J.; Boirie, Y.; Pereira, B.; Perrault, H.; Duclos, H.; Richard, R. Eccentric Training Improves Body Composition by Inducing Mechanical and Metabolic Adaptations: A Promising Approach for Overweight and Obese Individuals. Front. Physiol. 2018, 9, 1013. [Google Scholar] [CrossRef]
- Gotshall, R.W.; Gootman, J.; Byrnes, W.C.; Fleck, S.J.; Valovich, T.C. Noninvasive characterization of the blood pressure response to the double-leg press exercise. J. Exerc. Physiol. 1999, 2. Available online: https://www.asep.org/asep/asep/Gotshall.html (accessed on 5 May 2020).
- Thompson, P.D.; Franklin, B.A.; Balady, G.J.; Blair, S.N.; Corrado, D.; Estes, N.A.M.; Fulton, J.E.; Gordon, N.F.; Haskell, W.L.; Link, M.S.; et al. American Heart Association Council on Nutrition, Physical Activity, and Metabolism; American Heart Association Council on Clinical Cardiology; American College of Sports Medicine. Exercise and acute cardiovascular events placing the risks into perspective: A scientific statement from the American Heart Association Council on Nutrition, Physical Activity, and Metabolism and the Council on Clinical Cardiology. Circulation 2007, 115, 2358–2368. [Google Scholar]
- Fluck, M.; Bosshard, R.; Lungarella, M. Cardiovascular and Muscular Consequences of Work Matched Interval-Type of Concentric and Eccentric Pedaling Exercise on a Soft Robot. Front. Physiol. 2017, 8, 640. [Google Scholar] [CrossRef]
- Nishikawa, K. Eccentric contraction: Unraveling mechanisms of force enhancement and energy conservation. J. Exp. Biol. 2016, 219 Pt 2, 189–196. [Google Scholar] [CrossRef]
- Philippe, M.; Krüsmann, P.J.; Mersa, L.; Eder, E.M.; Gatterer, H.; Melmer, A.; Ebenbichler, C.F.; Burtscher, M. Acute effects of concentric and eccentric exercise on glucose metabolism and interleukin-6 concentration in healthy males. Biol. Sport 2016, 33, 153–158. [Google Scholar] [CrossRef]
- Stanaway, E.; Gill, G. Protein glycosylation in diabetes mellitus: Biochemical and clinical considerations. Pract. Diabetes Int. 2000, 17, 21–25. [Google Scholar] [CrossRef]
- Paschalis, V.; Nikolaidis, M.G.; Theodorou, A.A.; Panayiotou, G.; Fatouros, I.G.; Koutedakis, Y.; Jamurtas, A.Z. A weekly bout of eccentric exercise is sufficient to induce health-promoting effects. Med. Sci. Sports Exerc. 2011, 43, 64–73. [Google Scholar] [CrossRef] [PubMed]
- Chen, T.C.C.; Tseng, W.C.; Huang, G.L.; Chen, H.L.; Tseng, K.W.; Nosaka, K. Superior Effects of Eccentric to Concentric Knee Extensor Resistance Training on Physical Fitness, Insulin Sensitivity and Lipid Profiles of Elderly Men. Front. Physiol. 2017, 8, 209. [Google Scholar] [CrossRef]
- Colberg, S.R.; Sigal, R.J.; Fernhall, B.; Regensteiner, J.G.; Blissmer, B.J.; Rubin, R.R.; Chasan-Taber, L.; Albright, A.L.; Braun, B. Exercise and type 2 diabetes: The American College of Sports Medicine and the American Diabetes Association: Joint position statement executive summary. Diabetes Care 2010, 33, 2692–2696. [Google Scholar] [CrossRef] [PubMed]
- Amri, J.; Parastesh, M.; Sadegh, M.; Latifi, S.A.; Alaee, M. High-intensity interval training improved fasting blood glucose and lipid profiles in type 2 diabetic rats more than endurance training; possible involvement of irisin and betatrophin. Physiol. Int. 2019, 106, 213224. [Google Scholar] [CrossRef]
- Helgerud, J.; Høydal, K.; Wang, E.; Karlsen, T.; Berg, P.; Bjerkaas, M.; Simonsen, T.; Helgesen, C.; Hjorth, N.; Bach, R.; et al. Aerobic high-intensity intervals improve VO2max more than moderate training. Med. Sci. Sports Exerc. 2007, 39, 665–671. [Google Scholar] [CrossRef] [PubMed]
- Fitze, D.P.; Franchi, M.; Popp, W.L.; Ruoss, S.; Catuogno, S.; Camenisch, K.; Lehmann, D.; Schmied, C.M.; Niederseer, D.; Frey, W.O.; et al. Concentric and Eccentric Pedaling-Type Interval Exercise on a Soft Robot for Stable Coronary Artery Disease Patients: Toward a Personalized Protocol. JMIR Res. Protoc. 2019, 8, e10970. [Google Scholar] [CrossRef] [PubMed]
- Gayda, M.; Ribeiro, P.A.B.; Juneau, M.; Nigam, A. Review Comparison of Different Forms of Exercise Training in Patients with Cardiac Disease: Where Does High-Intensity Interval Training Fit? Can. J. Cardiol. 2016, 32, 485–494. [Google Scholar] [CrossRef]
- Oosterhof, R.; Ith, M.; Trepp, R.; Christ, E.; Flück, M. Regulation of whole body energy homeostasis with growth hormone replacement therapy and endurance exercise. Physiol. Genom. 2011, 43, 739–748. [Google Scholar] [CrossRef][Green Version]
- Ryan, T.E.; Brophy, P.; Lin, C.T.; Hickner, R.C.; Neufer, P.D. Assessment of in vivo skeletal muscle mitochondrial respiratory capacity in humans by near-infrared spectroscopy: A comparison with in situ measurements. J. Physiol. 2014, 592, 3231–3241. [Google Scholar] [CrossRef]
- Schmutz, S.; Däpp, C.; Wittwer, M.; Durieux, A.-C.; Mueller, M.; Weinstein, F.; Vogt, M.; Hoppeler, H.; Flück, M. A hypoxia complement differentiates the muscle response to endurance exercise. Exp. Physiol. 2010, 95, 723–735. [Google Scholar] [CrossRef] [PubMed]
- Vogt, M.; Hoppeler, H.H. Eccentric exercise: Mechanisms and effects when used as training regime or training adjunct. J. Appl. Physiol. 2014, 116, 1446–1454. [Google Scholar] [CrossRef] [PubMed]
- Meyer, K.; Steiner, R.; Lastayo, P.; Lippuner, K.; Allemann, Y.; Eberli, F.; Schmid, J.; Saner, H.; Hoppeler, H. Eccentric Exercise in Coronary Patients: Central Hemodynamic and Metabolic Responses. Med. Sci. Sports Exerc. 2003, 35, 1076–1082. [Google Scholar] [CrossRef] [PubMed]
- Barnes, J.N.; Trombold, J.R.; Dhindsa, M.; Lin, H.F.; Tanaka, H. Arterial stiffening following eccentric exercise-induced muscle damage. J. Appl. Physiol. 2010, 109, 1102–1108. [Google Scholar] [CrossRef]
- Ide, K.; Higaki, Y.; Nishizumi, M.; Kiyonaga, A.; Shindo, M.; Tanaka, H. Impaired non-insulin mediated glucose uptake after downhill running in rats. Life Sci. 1996, 59, 1601–1605. [Google Scholar] [CrossRef]
- Bansal, N. Prediabetes diagnosis and treatment: A review. World J. Diabetes 2015, 6, 296–303. [Google Scholar] [CrossRef]
- Andersen, O.E.; Nielsen, O.B.; Overgaard, K. Early effects of eccentric contractions on muscle glucose uptake. J. Appl. Physiol. 2019, 126, 376–385. [Google Scholar] [CrossRef]
- Di Stefano, J. Power analysis and sustainable forest management. Ecol. Manag. 2001, 154, 141–153. [Google Scholar] [CrossRef]





| Training Phase | Contraction Group | Target Power/PPO (W/W) | p-Value (Group) | Intervals (Number) | Work/PPO (kJ/W) | p-Value (Group) |
|---|---|---|---|---|---|---|
| week one to two | concentric | 0.54 ± 0.06 | 0.025 | 10 | 0.33 ± 0.04 | |
| eccentric | 0.71 ± 0.098 | 7 | 0.30 ± 0.04 | 0.509 | ||
| week three to four | concentric | 0.60 ± 0.03 | 0.004 | 15 | 0.54 ± 0.03 | |
| eccentric | 0.87 ± 0.043 | 11 | 0.57 ± 0.03 | 0.535 | ||
| week five to six | concentric | 0.67 ± 0.03 | 0.002 | 15 | 0.60 ± 0.02 | |
| eccentric | 0.95 ± 0.031 | 11 | 0.63 ± 0.02 | 0.580 | ||
| week seven to eight | concentric | 0.73 ± 0.02 | 0.001 | 15 | 0.65 ± 0.02 | |
| eccentric | 1.02 ± 0.027 | 11 | 0.68 ± 0.02 | 0.644 | ||
| group: p | <0.001 | 0.581 | ||||
| h2 | 0.558 | 0.010 | ||||
| phase: p | 0.001 | <0.001 | ||||
| h2 | 0.421 | 0.848 | ||||
| phase × p | 0.639 | 0.755 | ||||
| group:h2 | 0.052 | 0.037 |
| Age | Gender | Height | Mass | PPP | NPP | PPO | pHR | pVO2 | |
|---|---|---|---|---|---|---|---|---|---|
| (years) | m/f | (cm) | (kg) | (Watt) | (Watt) | (Watt) | (bpm) | (mL O2 min−1 kg−1) | |
| concentric: | 31.4 ± 4.5 | 2/4 | 171.2 ± 4.4 | 67.7 ± 5.1 | 850.8 ± 158.7 | 344.2 ± 75.3 | 277.6 ± 34.1 | 179.0 ± 4.1 | 49.2 ± 5.5 |
| eccentric: | 43.6 ± 5.6 | 2/4 | 175.2 ± 3.6 | 67.2 ± 4.1 | 719.1 ± 177.4 | 429.9 ± 84.2 | 237.2 ± 34.1 | 172.2 ± 5.1 | 35.3 ± 6.2 |
| p-value: | 0.121 | 0.497 | 0.857 | 0.597 | 0.472 | 0.426 | 0.359 | 0.140 |
| Total Oxygen Deficit | Average Oxygen Deficit | Total Hemoglobin | Average Hemoglobin | ||||||
|---|---|---|---|---|---|---|---|---|---|
| (%SmO2 × s) | average (%SmO2) | total (g dL−1 × s) | average (g dL−1) | ||||||
| before training | concentric | 39,282.8 ± 19,690.1 | 35.6 ± 16.5 | 14,260.7 ± 1544.1 | 13.1 ± 0.7 | ||||
| eccentric | 32,555.4 ± 20,440.6 | 41.7 ± 26.2 | 10,243.7 ± 341.4 | 13.1 ± 0.4 | |||||
| p-value (concentric vs. eccentric) | 0.489 | 0.575 | <0.001 | 0.815 | |||||
| p-value (vs. before) | p-value (vs. before) | p-value (vs. before) | p-value (vs. before) | ||||||
| after training | concentric | 71,152.2 ± 31,540.2 | <0.001 | 41.6 ± 18.5 | 0.256 | 20,004.0 ± 2771.1 | <0.001 | 11.7 ± 1.8 | 0.069 |
| eccentric | 37,903.5 ± 25,932.6 | 0.517 | 30.1 ± 20.6 | 0.060 | 13,180.7 ± 3366 | 0.017 | 10.5 ± 2.7 | 0.004 | |
| p-value (concentric vs. eccentric) | 0.029 | 0.259 | <0.001 | 0.286 | |||||
| p-value (training) | 0.006 | 0.473 | <0.001 | 0.002 | |||||
| p-value (training × group) | 0.037 | 0.036 | 0.092 | 0.236 | |||||
| p-value (group) | 0.096 | 0.782 | <0.001 | 0.365 | |||||
| p-value (muscle) | 0.640 | 0.643 | 0.821 | 0.880 | |||||
| RPE | Lactate | Glucose | Heart Rate | Diastolic Blood Pressure | Systolic Blood Pressure | |||||||
|---|---|---|---|---|---|---|---|---|---|---|---|---|
| (BORG) | (mM) | (mM) | (bpm) | (mmHg) | (mmHg) | |||||||
| p-Value | h2-Value | p-Value | h2-Value | p-Value | h2-Value | p-Value | h2-Value | p-Value | h2-Value | p-Value | h2-Value | |
| time | <0.001 | 0.812 | <0.001 | 0.496 | 0.950 | 0.060 | <0.001 | 0.808 | 0.987 | 0.044 | <0.001 | 0.438 |
| training | 0.004 | 0.099 | 0.001 | 0.130 | 0.638 | 0.003 | 0.092 | 0.039 | 0.500 | 0.006 | 0.405 | 0.009 |
| group | 0.004 | 0.102 | 0.001 | 0.141 | <0.001 | 0.162 | 0.009 | 0.091 | <0.001 | 0.215 | 0.012 | 0.077 |
| time × training | 0.031 | 0.234 | 0.523 | 0.128 | 0.524 | 0.124 | 0.999 | 0.030 | 0.977 | 0.050 | 0.948 | 0.061 |
| time × group | 0.710 | 0.073 | 0.694 | 0.078 | 0.996 | 0.020 | 0.242 | 0.143 | 0.995 | 0.021 | 1.000 | 0.003 |
| training × group | 0.015 | 0.072 | 0.050 | 0.050 | 0.031 | 0.058 | 0.009 | 0.092 | 0.200 | 0.021 | 0.001 | 0.131 |
| time × training × group | 0.393 | 0.108 | 0.811 | 0.064 | 0.972 | 0.033 | 0.796 | 0.070 | 0.966 | 0.035 | 0.799 | 0.063 |
| pVO2 | PPO | PPP | pRFD | NPP | nRFD | |
|---|---|---|---|---|---|---|
| % Post vs. pre | (mL O2 min−1 kg−1) | (Watt) | (Watt) | (N s−1) | (Watt) | (N s−1) |
| concentric: | −0.65 ± 1.81 | 4.90 ± 2.26 | 7.64 ± 3.80 | 3.98 ± 5.43 | 26.69 ± 17.62 | −3.90 ± 9.79 |
| p-value: | 0.729 | 0.062 | 0.084 | 0.488 | 0.174 | 0.702 |
| eccentric: | 2.07 ± 2.80 | 2.19 ± 2.65 | 27.80 ± 5.02 | 38.41 ± 8.13 | −40.73 ± 15.77 | −10.32 ± 11.21 |
| p-value: | 0.488 | 0.431 | 0.001 | 0.002 | 0.036 | 0.388 |
| p-values training | 0.888 | 0.083 | <0.001 | 0.004 | 0.022 | 0.373 |
| group: | 0.149 | 0.333 | 0.829 | 0.691 | 0.591 | 0.692 |
| training × group): | 0.353 | 0.499 | 0.043 | 0.029 | 0.391 | 0.687 |
| RPE | Lactate | Glucose | Heart Rate | Systolic Blood Pressure | Diastolic Blood Pressure | |||||||
|---|---|---|---|---|---|---|---|---|---|---|---|---|
| (BORG) | (mM) | (mM) | (bpm) | (mmHg) | (mmHg) | |||||||
| p-Value | h2-Value | p-Value | h2-Value | p-Value | h2-Value | p-Value | h2-Value | p-Value | h2-Value | p-Value | h2-Value | |
| time | 0.002 | 0.194 | <0.001 | 0.804 | 0.019 | 0.118 | <0.001 | 0.932 | 0.221 | 0.034 | 0.005 | 0.166 |
| training | 0.011 | 0.141 | 0.100 | 0.06 | 0.273 | 0.027 | 0.631 | 0.005 | 0.628 | 0.005 | 0.007 | 0.155 |
| group | <0.001 | 0.889 | <0.001 | 0.25 | 0.572 | 0.116 | 0.045 | 0.088 | <0.001 | 0.713 | 0.854 | 0.069 |
| time × training | 0.326 | 0.163 | 0.006 | 0.349 | 0.843 | 0.071 | 0.697 | 0.096 | 0.792 | 0.08 | 0.362 | 0.152 |
| time × group | 0.765 | 0.072 | 0.032 | 0.26 | 0.943 | 0.037 | 0.347 | 0.136 | 0.992 | 0.017 | 0.481 | 0.113 |
| training × group | 0.261 | 0.029 | <0.001 | 0.296 | 0.497 | 0.011 | 0.007 | 0.153 | 0.148 | 0.047 | 0.186 | 0.039 |
| time × training × group | 0.993 | 0.017 | 0.067 | 0.227 | 0.981 | 0.024 | 0.544 | 0.103 | 0.739 | 0.074 | 0.295 | 0.147 |
Publisher’s Note: MDPI stays neutral with regard to jurisdictional claims in published maps and institutional affiliations. |
© 2020 by the authors. Licensee MDPI, Basel, Switzerland. This article is an open access article distributed under the terms and conditions of the Creative Commons Attribution (CC BY) license (http://creativecommons.org/licenses/by/4.0/).
Share and Cite
Gasser, B.; Fitze, D.; Franchi, M.; Frei, A.; Niederseer, D.; Schmied, C.M.; Catuogno, S.; Frey, W.; Flück, M. The Cardiovascular Response to Interval Exercise Is Modified by the Contraction Type and Training in Proportion to Metabolic Stress of Recruited Muscle Groups. Sensors 2021, 21, 173. https://doi.org/10.3390/s21010173
Gasser B, Fitze D, Franchi M, Frei A, Niederseer D, Schmied CM, Catuogno S, Frey W, Flück M. The Cardiovascular Response to Interval Exercise Is Modified by the Contraction Type and Training in Proportion to Metabolic Stress of Recruited Muscle Groups. Sensors. 2021; 21(1):173. https://doi.org/10.3390/s21010173
Chicago/Turabian StyleGasser, Benedikt, Daniel Fitze, Martino Franchi, Annika Frei, David Niederseer, Christian M. Schmied, Silvio Catuogno, Walter Frey, and Martin Flück. 2021. "The Cardiovascular Response to Interval Exercise Is Modified by the Contraction Type and Training in Proportion to Metabolic Stress of Recruited Muscle Groups" Sensors 21, no. 1: 173. https://doi.org/10.3390/s21010173
APA StyleGasser, B., Fitze, D., Franchi, M., Frei, A., Niederseer, D., Schmied, C. M., Catuogno, S., Frey, W., & Flück, M. (2021). The Cardiovascular Response to Interval Exercise Is Modified by the Contraction Type and Training in Proportion to Metabolic Stress of Recruited Muscle Groups. Sensors, 21(1), 173. https://doi.org/10.3390/s21010173

