Testing Sensitivity of A-Type Residual Current Devices to Earth Fault Currents with Harmonics
Abstract
1. Introduction
- AC-type: Intended for 50/60 Hz sinusoidal residual currents only,
- A-type: Intended for waveforms, the same as for AC-type RCDs, and for DC-pulsating residual currents with a smooth DC component up to 6 mA,
- F-type: Intended for waveforms, the same as for A-type RCDs (but smooth DC component can be increased, up to 10 mA) and mixed-frequency residual currents; the RCD should be supplied from a single-phase.
- B-type: Intended for residual currents: Sinusoidal up to 1000 Hz, mixed-frequency, pulsating DC, as well as smooth DC.
2. The Scope of the Investigation and Its Results
2.1. General Information
- fundamental + 3rd harmonic (content 50%); phase angle of the 3rd harmonic: 0°, 45°, 90°, 180°;
- fundamental + 11th harmonic (content 50%); phase angle of the 11th harmonic: 0°, 45°, 90°, 180°;
- fundamental + 49th harmonic (content 50%); phase angle of the 49th harmonic: 0°, 180°.
- fundamental + 3rd harmonic,
- fundamental + 5th harmonic,
- fundamental + 7th harmonic,
- fundamental + 11th harmonic,
- fundamental + 23rd harmonic,
- fundamental + 49th harmonic.
2.2. Theoretical Analysis of the RCDs’ Relay Operation in the Presence of Harmonics
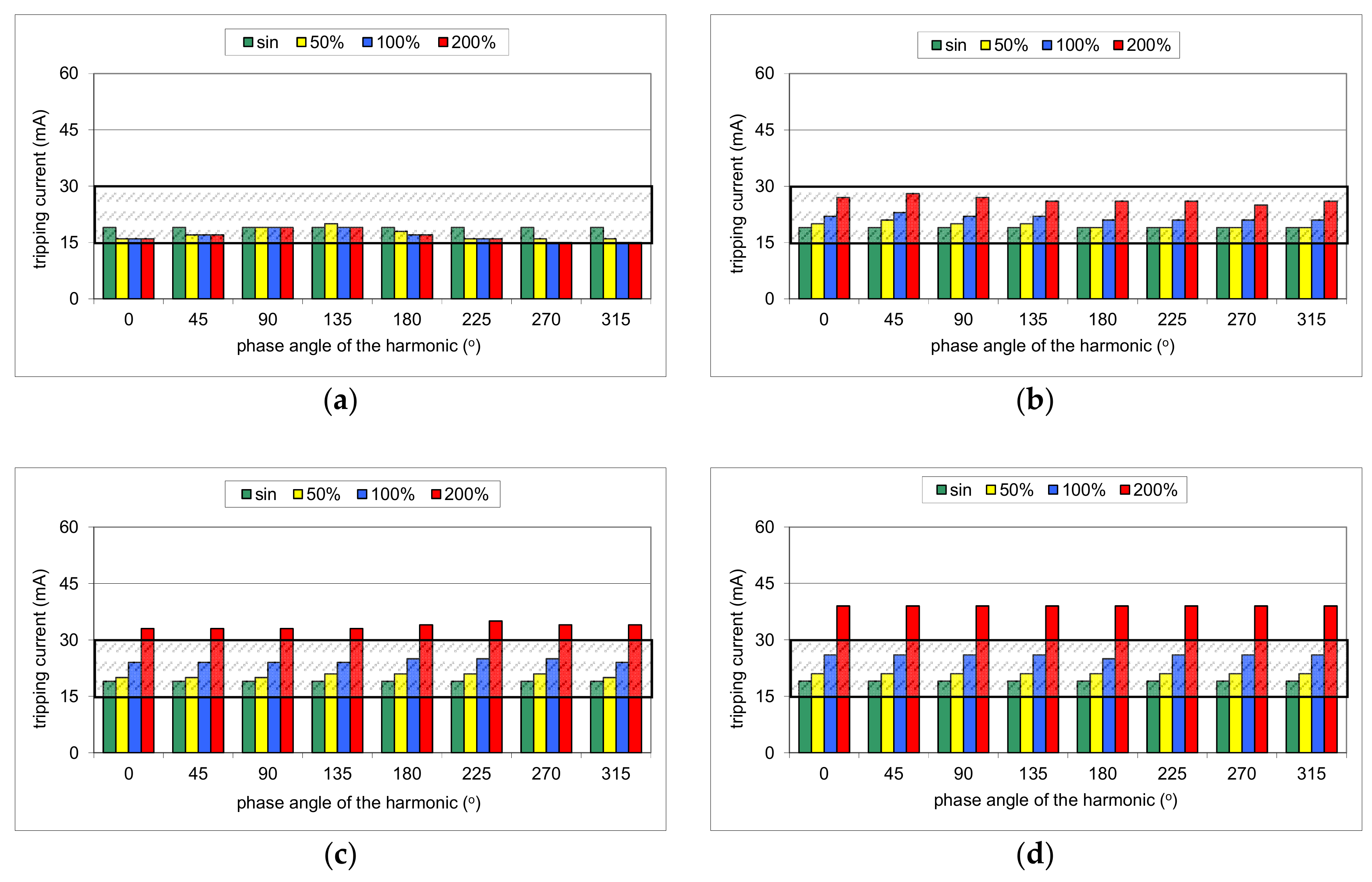
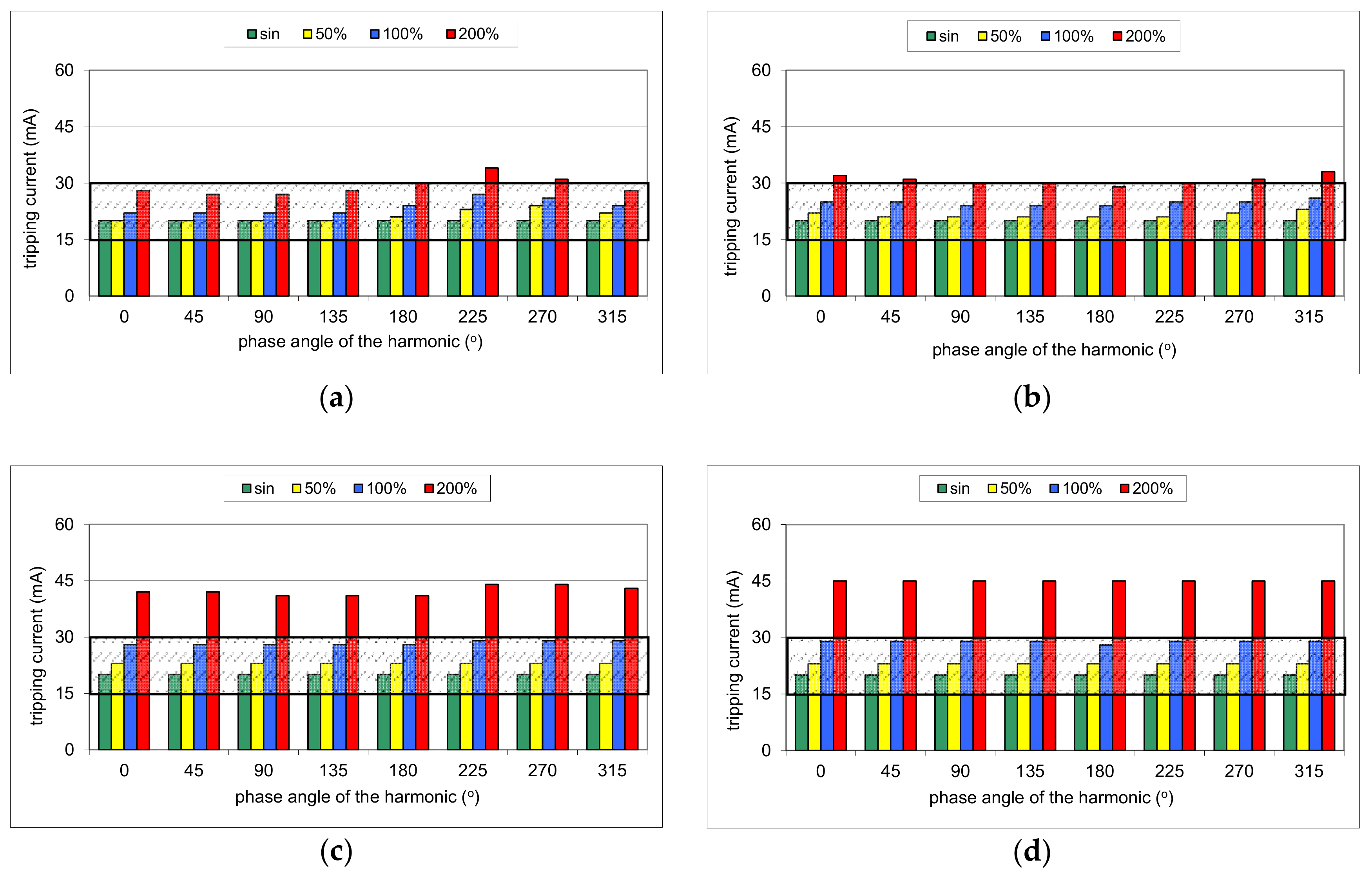
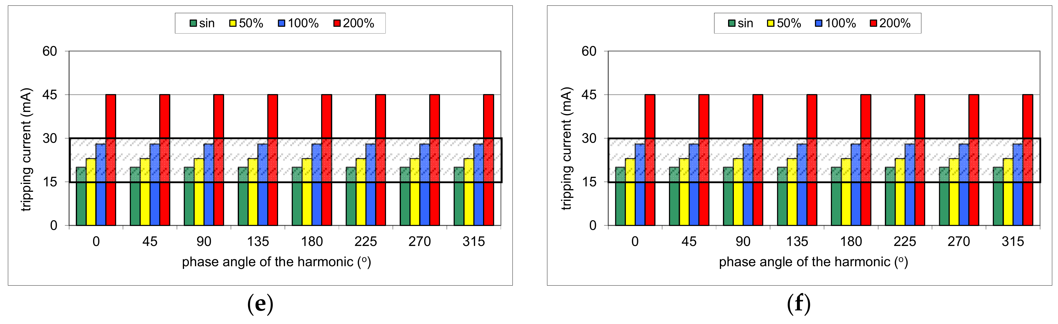
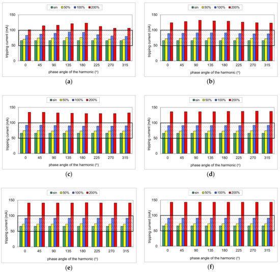
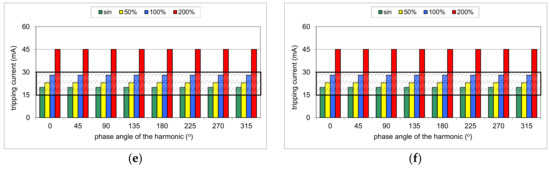
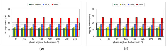
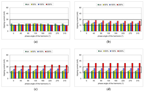
2.3. Laboratory Verification of the Tripping Current in the Presence of Harmonics
2.4. Discussion: Sources of the Varied Tripping Current in the Presence of Harmonics
- magnetic properties of the current sensor (transformer) for various frequencies,
- the configuration of the secondary circuit: Whether only the relay is installed or additional electronic elements (capacitors serial/parallel) are installed as well,
- parameters of the relay, especially for various frequencies.
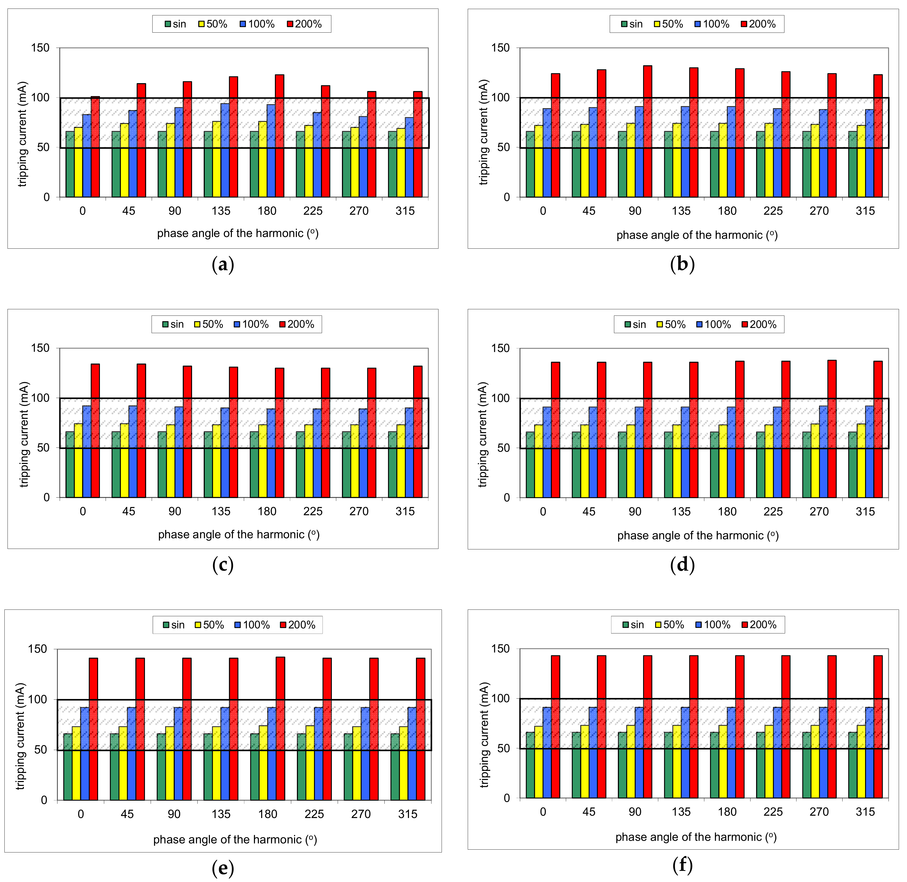
3. Behavior of RCDs under Residual Currents with Controlled Delay Angle
4. Conclusions
Funding
Conflicts of Interest
References
- IEC. IEC 61140:2016. Protection Against Electric Shock–Common Aspects For Installation and Equipment; International Electrotechnical Commission: Geneva, Switzerland, 2016. [Google Scholar]
- CENELEC. HD 60364-4-41:2017. Low-Voltage Electrical Installations–Part 4-41: Protection For Safety–Protection Against Electric Shock; European Committee for Electrotechnical Standardization: Brussels, Belgium, 2017. [Google Scholar]
- IEC. IEC TS 60479-1:2016 Effects Of Current On Human Beings And Livestock. Part 1: General Aspects; International Electrotechnical Commission: Geneva, Switzerland, 2016. [Google Scholar]
- Liu, Y.; Xie, X.; Hu, Y.; Qian, Y.; Sheng, G.; Jiang, X. A novel transient fault current sensor based on the PCB Rogowski coil for overhead transmission lines. Sensors 2016, 16, 742. [Google Scholar] [CrossRef] [PubMed]
- Granizo, R.; Blánquez, F.R.; Rebollo, E.; Platero, C.A. A novel ground fault non-directional selective protection method for ungrounded distribution networks. Energies 2015, 8, 1291–1316. [Google Scholar] [CrossRef]
- Bao, G.; Gao, X.; Jiang, R.; Huang, K. A novel differential high-frequency current transformer sensor for series arc fault detection. Sensors 2019, 19, 3649. [Google Scholar] [CrossRef] [PubMed]
- Yang, K.; Zhang, R.; Chen, S.; Zhang, F.; Yang, J.; Zhang, X. Series arc fault detection algorithm based on autoregressive bispectrum analysis. Algorithms 2015, 8, 929–950. [Google Scholar] [CrossRef]
- Sułowicz, M.; Ludwinek, K.; Tulicki, J.; Depczyński, W.; Nowakowski, Ł. Practical adaptation of a low-cost voltage transducer with an open feedback loop for precise measurement of distorted voltages. Sensors 2019, 19, 1071. [Google Scholar] [CrossRef] [PubMed]
- Rabcan, J.; Levashenko, V.; Zaitseva, E.; Kvassay, M.; Subbotin, S. Application of fuzzy decision tree for signal classification. IEEE Trans. Ind. Inf. 2019, 15, 5425–5434. [Google Scholar] [CrossRef]
- Czapp, S. The impact of DC earth fault current shape on tripping of residual current devices. Elektronika ir Elektrotechnika 2008, 4, 9–12. [Google Scholar]
- Yao, W.; Kui, L.; Can, L.; Zhitao, G.; Feng, N.; Zhang, X. Study on modeling and simulation of AC/DC sensitive residual current transformer. In Proceedings of the 1st International Conference on Electric Power Equipment-Switching Technology, Xi’an, China, 23–27 October 2011. [Google Scholar] [CrossRef]
- Czapp, S.; Dobrzynski, K.; Klucznik, J.; Lubosny, Z. Low-frequency tripping characteristics of residual current devices. In Proceedings of the 2017 IEEE International Conference on Environmental and Electrical Engineering & 2017 IEEE Industrial and Commercial Power Systems Europe (EEEIC /I&CPS Europe), Milan, Italy, 6–9 June 2017; pp. 298–301. [Google Scholar] [CrossRef]
- Erdei, Z.; Horgos, M.; Lung, C.; Pop-Vadean, A.; Muresan, R. Frequency behavior of the residual current devices. In Proceedings of the International Conference on Applied Sciences ( ICAS2016), Hunedoara, Romania, 25–27 May 2016. [Google Scholar] [CrossRef]
- Freschi, F. High-frequency behavior of residual current devices. IEEE Trans. Power Deliv. 2012, 27, 1629–1635. [Google Scholar] [CrossRef]
- Czaja, P. Examination of the impact of design of a residual current protective device on the release frequency range. In Proceedings of the 2017 Progress in Applied Electrical Engineering (PAEE), Koscielisko, Poland, 25–30 June 2017. [Google Scholar] [CrossRef]
- Czapp, S.; Dobrzynski, K.; Klucznik, J.; Lubosny, Z.; Kowalak, R. Improving sensitivity of residual current transformers to high frequency earth fault currents. Arch. Elect. Eng. 2017, 66, 485–494. [Google Scholar] [CrossRef]
- Cocina, V.; Colella, P.; Pons, E.; Tommasini, R.; Palamara, F. Indirect contacts protection for multi-frequency currents ground faults. In Proceedings of the 2016 IEEE 16th International Conference on Environment and Electrical Engineering (EEEIC), Florence, Italy, 7–10 June 2016. [Google Scholar] [CrossRef]
- Lee, T.M.; Chan, T.W. The effects of harmonics on the operational characteristics of residual current circuit breakers. In Proceedings of the International Conference on Energy Management and Power Delivery, Singapore, 21–23 November 1995; pp. 715–719. [Google Scholar] [CrossRef]
- Czapp, S. The effect of earth fault current harmonics on tripping of residual current devices. In Proceedings of the International School on Nonsinusoidal Currents and Compensation, IX Conference-Seminar (ISNCC), Lagow, Poland, 10–13 June 2008. [Google Scholar] [CrossRef]
- Wieland, T.; Aigner, M.; Schmautzer, E.; Pasker, J.; Fickert, L. Influences on safety issues for inverter supplied grid structures. In Proceedings of the 2012 Electric Power Quality and Supply Reliability, Tartu, Estonia, 11–13 June 2012. [Google Scholar] [CrossRef]
- Gruhn, T.; Glenney, J.; Savostianik, M. Type B ground-fault protection on adjustable frequency drives. IEEE Trans. Ind. Appl. 2018, 54, 934–939. [Google Scholar] [CrossRef]
- Czapp, S.; Guzinski, J. Electric shock hazard in circuits with variable-speed drives. Bull. Pol. Ac. Tech. 2018, 66, 361–372. [Google Scholar] [CrossRef]
- Czaja, P.; Pluta, W. Magnetic properties of additive transformer cores of residual current devices. Przeglad Elektrotechniczny 2019, 12, 109–112. [Google Scholar] [CrossRef]
- Horgos, M.; Erdei, Z.; Barz, C.; Birsan, I.; Ilia, M. Contributions to testing residual current devices at different frequency values. In Proceedings of the 6th International Conference on Modern Power Systems (MPS), Cluj-Napoca, Romania, 18–21 May 2015. [Google Scholar]
- Eaton. Residual Current Devices. In Application Guide; Eaton: Vienna, Austria, 2017. [Google Scholar]
- Panda, R.K.; Veeramalla, J. Behavior modeling of a type B RCD. In Proceedings of the 1st IEEE International Conference on Power Electronics, Intelligent Control and Energy Systems (ICPEICES), Delhi, India, 4–6 July 2016. [Google Scholar] [CrossRef]
- IEC. IEC 60755:2017. General Safety Requirements For Residual Current Operated Protective Devices; International Electrotechnical Commission: Geneva, Switzerland, 2017. [Google Scholar]
- IEC. IEC 61008-1:2010. Residual Current Operated Circuit-Breakers Without Integral Overcurrent Protection For Household And Similar Uses (RCCB)–Part 1: General Rules; International Electrotechnical Commission: Geneva, Switzerland, 2010. [Google Scholar]
- IEC. IEC 62423:2009. Type F And Type B Residual Current Operated Circuit-Breakers With And Without Integral Overcurrent Protection For Household And Similar Uses; International Electrotechnical Commission: Geneva, Switzerland, 2009. [Google Scholar]
- Field Test of Installed Residual Current Devices in Denmark; Sikkerhedsstyrelsen: Esbjerg, Denmark, 2009.
- Han, Y.; Ding, C.; Shou, X. Design & implementation of an A-type residual current circuit breaker IC. In Proceedings of the 2012 IEEE International Symposium on Industrial Electronics, Hangzhou, China, 28–31 May 2012. [Google Scholar] [CrossRef]
- VDM Metals GmbH. VDM Report Nr. 27 Weichmagnetische Werkstoffe auf Ni-Fe-Basis; VDM Metals GmbH: Werdohl, Germany, 2014. [Google Scholar]
- Czapp, S.; Horiszny, J. Simulation of residual current devices operation under high frequency residual current. Przeglad Elektrotechniczny 2012, 2, 242–247. [Google Scholar]
























© 2020 by the author. Licensee MDPI, Basel, Switzerland. This article is an open access article distributed under the terms and conditions of the Creative Commons Attribution (CC BY) license (http://creativecommons.org/licenses/by/4.0/).
Share and Cite
Czapp, S. Testing Sensitivity of A-Type Residual Current Devices to Earth Fault Currents with Harmonics. Sensors 2020, 20, 2044. https://doi.org/10.3390/s20072044
Czapp S. Testing Sensitivity of A-Type Residual Current Devices to Earth Fault Currents with Harmonics. Sensors. 2020; 20(7):2044. https://doi.org/10.3390/s20072044
Chicago/Turabian StyleCzapp, Stanislaw. 2020. "Testing Sensitivity of A-Type Residual Current Devices to Earth Fault Currents with Harmonics" Sensors 20, no. 7: 2044. https://doi.org/10.3390/s20072044
APA StyleCzapp, S. (2020). Testing Sensitivity of A-Type Residual Current Devices to Earth Fault Currents with Harmonics. Sensors, 20(7), 2044. https://doi.org/10.3390/s20072044
