Gas Sensing Properties of Cobalt Titanate with Multiscale Pore Structure: Experiment and Simulation
Abstract
1. Introduction
2. Materials and Methods
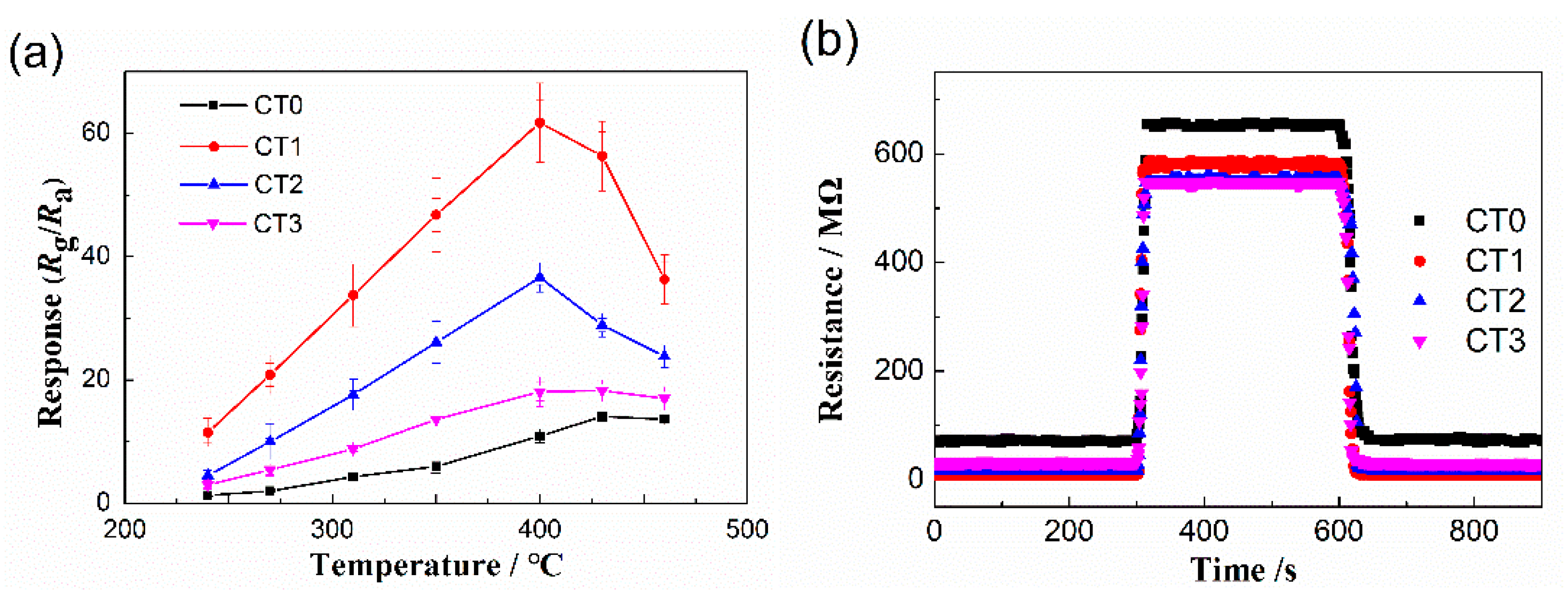
3. Results
4. Model
4.1. Problem Description
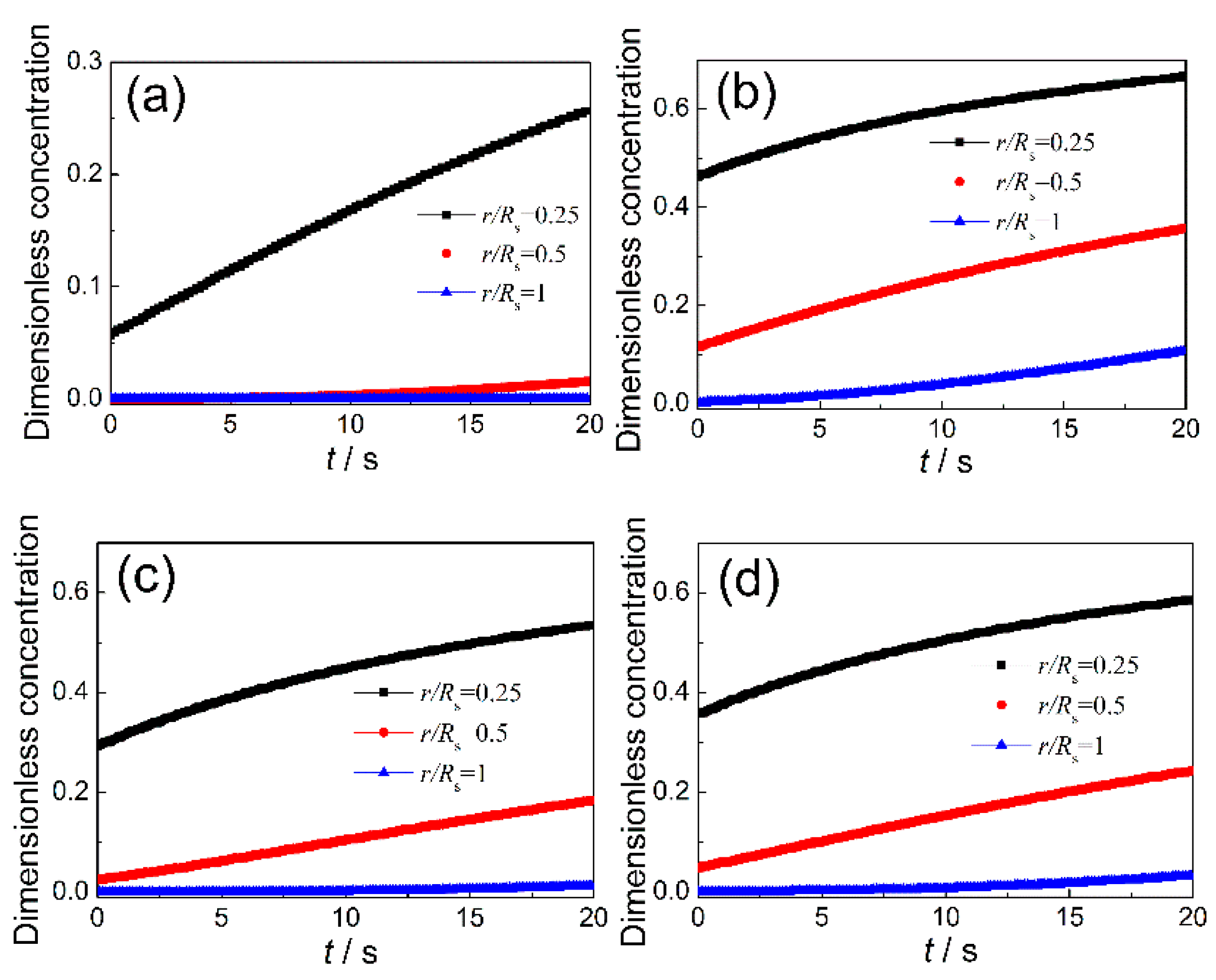
4.2. Diffusion-Reaction Model
4.3. Multiscale Pore Size Distribution Model
5. Discussion
6. Conclusions
Author Contributions
Funding
Acknowledgments
Conflicts of Interest
References
- Williams, D.E. Semiconducting oxides as gas-sensitive resistors. Sens. Actuators B Chem. 1999, 57, 1–16. [Google Scholar] [CrossRef]
- Tiemann, M. Porous metal oxides as gas sensors. Chem. Eur. J. 2007, 13, 8376–8388. [Google Scholar] [CrossRef] [PubMed]
- Comini, E.; Faglia, G.; Sberveglieri, G.; Pan, Z.; Wang, Z.L. Stable and highly sensitive gas sensors based on semiconducting oxide nanobelts. Appl. Phys. Lett. 2002, 81, 1869–1871. [Google Scholar] [CrossRef]
- Korotcenkov, G. The role of morphology and crystallographic structure of metal oxides in response of conductometric-type gas sensors. Mater. Sci. Eng. R. 2008, 61, 1–39. [Google Scholar] [CrossRef]
- Liu, X.; Ma, T.; Pinna, N.; Zhang, J. Two-dimensional nanostructured materials for gas sensing. Adv. Funct. Mater. 2017, 27, 1702168. [Google Scholar] [CrossRef]
- Hwang, I.S.; Lee, J.H. Gas sensors using oxide nanowire networks: An overview. J. Nanoeng. Nanomanuf. 2011, 1, 4–17. [Google Scholar] [CrossRef]
- Li, Z.J.; Li, H.; Wu, Z.L.; Wang, M.K.; Luo, J.T.; Torun, H.; Hu, P.G.; Yang, C.; Grundmann, M.; Liu, X.T.; et al. Advances in designs and mechanisms of semiconducting metal oxide nanostructures for high-precision gas sensors operated at room temperature. Mater. Horiz. 2019, 6, 470–506. [Google Scholar] [CrossRef]
- Park, H.J.; Hong, S.Y.; Chun, D.H.; Kang, S.W.; Park, J.C.; Lee, D.S. A highly susceptive mesoporous hematite microcube architecture for sustainable P-type formaldehyde gas sensors. Sens. Actuators B Chem. 2019, 287, 437–444. [Google Scholar] [CrossRef]
- Kida, T.; Fujiyama, S.; Suematsu, K.; Yuasa, M.; Shimanoe, K. Pore and particle size control of gas sensing films using SnO2 nanoparticles synthesized by seed-mediated growth: Design of highly sensitive gas sensors. J. Phys. Chem. C 2013, 117, 17574–17582. [Google Scholar] [CrossRef]
- Balamurugan, C.; Song, S.J.; Kim, H.S. Enhancing gas response characteristics of mixed metal oxide gas sensors. J. Korean Ceram. Soc. 2018, 55, 1–20. [Google Scholar] [CrossRef]
- Han, M.A.; Kim, H.J.; Lee, H.C.; Park, J.S.; Lee, H.N. Effects of porosity and particle size on the gas sensing properties of SnO2 films. Appl. Surf. Sci. 2019, 481, 133–137. [Google Scholar] [CrossRef]
- Joshi, N.; Da Silva, L.F.; Jadhav, H.S.; Shimizu, F.M.; Suman, P.H.; M’Peko, J.C.; Orlandi, M.O.; Seo, J.G.; Mastelaro, V.R.; Oliveira, O.N., Jr. Yolk-shelled ZnCo2O4 microspheres: Surface properties and gas sensing application. Sens. Actuators B Chem. 2018, 257, 906–915. [Google Scholar] [CrossRef]
- Lee, J.H. Gas sensors using hierarchical and hollow oxide nanostructures: Overview. Sens. Actuators B Chem. 2009, 140, 319–336. [Google Scholar] [CrossRef]
- Woo, H.S.; Na, C.W.; Lee, J.H. Design of highly selective gas sensors via physicochemical modification of oxide nanowires: Overview. Sensors 2016, 16, 1531. [Google Scholar] [CrossRef]
- Guo, Q.; Liu, L.; Zhang, M.; Hou, H.; Song, Y.; Wang, H.; Zhong, B.Y.; Wang, L. Hierarchically mesostructured porous TiO2 hollow nanofibers for high performance glucose biosensing. Biosens. Bioelectron. 2017, 92, 654–660. [Google Scholar] [CrossRef]
- Li, Y.W.; Tao, Z.H.; Luo, N.; Sun, G.; Zhang, B.; Jin, H.H.; Bala, H.; Cao, J.L.; Zhang, Z.Y.; Wang, Y. Single-crystalline porous nanoplates-assembled ZnO hierarchical microstructure with superior TEA sensing properties. Sens. Actuators B Chem. 2019, 290, 607–615. [Google Scholar] [CrossRef]
- Zhao, C.H.; Gong, H.M.; Lan, W.Z.; Ramachandran, R.; Xu, H.; Liu, S.; Wang, F. Facile synthesis of SnO2 hierarchical porous nanosheets from graphene oxide sacrificial scaffolds for high-performance gas sensors. Sens. Actuators B Chem. 2018, 258, 492–500. [Google Scholar] [CrossRef]
- Li, Y.N.; Wei, Q.; Song, P.; Wang, Q. Synthesis of porous SnO2 nanocubes via selective leaching and enhanced gas-sensing properties. Appl. Surf. Sci. 2016, 360, 1059–1065. [Google Scholar] [CrossRef]
- Wang, S.R.; Wang, Y.S.; Zhang, H.X.; Gao, X.L.; Yang, J.D.; Wang, Y. Fabrication of porous α-Fe 2O3 nanoshuttles and their application for toluene sensors. RSC Adv. 2014, 4, 30840–30849. [Google Scholar] [CrossRef]
- Zeng, Y.; Zhang, K.; Wang, X.L.; Sui, Y.M.; Zou, B.; Zheng, W.T.; Zou, G.T. Rapid and selective H2S detection of hierarchical ZnSnO3 nanocages. Sens. Actuators B Chem. 2011, 159, 245–250. [Google Scholar] [CrossRef]
- Wang, L.W.; Wang, S.R.; Wang, Y.S.; Zhang, H.X.; Kang, Y.F.; Huang, W.P. Synthesis of hierarchical SnO2 nanostructures assembled with nanosheets and their improved gas sensing properties. Sens. Actuators B Chem. 2013, 188, 85–93. [Google Scholar] [CrossRef]
- Zhang, J.; Lu, H.; Liu, C.; Chen, C.; Xin, X. Porous NiO-WO3 heterojunction nanofibers fabricated by electrospinning with enhanced gas sensing properties. RSC Adv. 2017, 7, 40499–40509. [Google Scholar] [CrossRef]
- Liu, S.Y.; Fan, C.Y.; Wang, H.C.; Zhang, J.P.; Wu, X.L. Electrochemical in situ formation of a stable Ti-based skeleton for improved Li-storage properties: A case study of porous CoTiO3 nanofibers. Chem. Eur. J. 2017, 23, 8712–8718. [Google Scholar] [CrossRef] [PubMed]
- Qu, Y.; Zhou, W.; Fu, H.G. Porous cobalt titanate nanorod: A new candidate for visible light-driven photo catalytic water oxidation. ChemCatChem 2014, 6, 265–270. [Google Scholar] [CrossRef]
- Yue, Y.F.; Zhang, L.; Chen, J.H.; Hensley, D.K.; Dai, S.; Overbury, S.H. Mesoporous xEr2O3·CoTiO3 composite oxide catalysts for low temperature dehydrogenation of ethylbenzene to styrene using CO2 as a soft oxidant. RSC Adv. 2016, 6, 32989–32993. [Google Scholar] [CrossRef]
- Song, L.T.; Li, M.C.; Tao, A.L.; Yang, H.; Wu, Y.S. Synthesis of hierarchically macro-mesoporous CoTiO3 with improved gas sensing properties. Mater. Res. Express 2018, 5, 065909. [Google Scholar] [CrossRef]
- Zhang, B.; Fu, W.; Li, H.; Fu, X.; Wang, Y.; Bala, H.; Wang, X.; Sun, G.; Cao, G.; Zhang, Z. Synthesis and characterization of hierarchical porous SnO2 for enhancing ethanol sensing properties. Appl. Surf. Sci. 2016, 363, 560–565. [Google Scholar] [CrossRef]
- Wu, B.F.; Wang, L.L.; Wu, H.Y.; Kan, K.; Zhang, G.; Xie, Y.; Tian, Y.; Li, L.; Shi, K.Y. Templated synthesis of 3D hierarchical porous Co3O4 materials and their NH3 sensor at room temperature. Micropor. Mesopor. Mat. 2016, 225, 154–163. [Google Scholar] [CrossRef]
- Lu, Y.; Ma, Y.H.; Ma, S.Y.; Yan, S.H. Hierarchical heterostructure of porous NiO nanosheets on flower-like ZnO assembled by hexagonal nanorods for high-performance gas sensor. Ceram. Int. 2017, 43, 7508–7515. [Google Scholar] [CrossRef]
- Li, Y.W.; Luo, N.; Sun, G.; Zhang, B.; Jin, H.H.; Lin, L.; Bala, H.; Cao, J.L.; Zhang, Z.Y.; Wang, Y. Synthesis of porous nanosheets-assembled ZnO/ZnCo2O4 hierarchical structure for TEA detection. Sens. Actuators B Chem. 2019, 287, 199–208. [Google Scholar] [CrossRef]
- Wang, C.; Wang, Z.G.; Xi, R.; Zhang, L.; Zhang, S.H.; Wang, L.J.; Pan, G.B. In situ synthesis of flower-like ZnO on GaN using electrodeposition and its application as ethanol gas sensor at room temperature. Sens. Actuators B Chem. 2019, 292, 270–276. [Google Scholar] [CrossRef]
- Jia, L.C.; Lawrence, G.; Balasubramanian, V.V.; Choi, G.; Choy, J.H.; Abdullah, A.M.; Elzatahry, A.; Ariga, K.; Vinu, A. Highly ordered nanoporous carbon films with tunable pore diameters and their excellent sensing properties. Chem. Eur. J. 2015, 21, 697–703. [Google Scholar] [CrossRef] [PubMed]
- Becker, T.; Ahlers, S.; Braunmühl, C.B.V.; Müller, G.; Kiesewetter, O. Gas sensing properties of thin- and thick-film tin-oxide materials. Sens. Actuators B Chem. 2001, 77, 55–61. [Google Scholar] [CrossRef]
- Gardner, J.W. A non-linear diffusion-reaction model of electrical conduction in semiconductor gas sensors. Sens. Actuators B Chem. 1990, 1, 166–170. [Google Scholar] [CrossRef]
- Lu, H.L.; Ma, W.C.; Gao, J.H.; Li, J.M. Diffusion-reaction theory for conductance response in metal oxide gas sensing thin films. Sens. Actuators B Chem. 2000, 66, 228–231. [Google Scholar] [CrossRef]
- Sakai, G.; Matsunaga, N.; Shimanoe, K.; Yamazoe, N. Theory of gas-diffusion controlled sensitivity for thin film semiconductor gas sensor. Sens. Actuators B Chem. 2001, 80, 125–131. [Google Scholar] [CrossRef]
- Miao, J.S.; Chen, C.; Meng, L.; Lin, Y.S. Self-assembled monolayer of metal oxide nanosheet and structure and gas-sensing property relationship. ACS Sens. 2019, 4, 1279–1290. [Google Scholar] [CrossRef]
- Selvaraj, K.; Kumar, S.; Lakshmanan, R. Analytical expression for concentration and sensitivity of a thin film semiconductor gas sensor. Ain Shams Eng. J. 2014, 5, 885–893. [Google Scholar] [CrossRef]
- Wang, X.B.; Wang, Y.Y.; Tian, F.; Liang, H.J.; Wang, K.; Zhao, X.H.; Lu, Z.S.; Jiang, K.; Yang, L.; Lou, X.D. From the surface reaction control to gas-diffusion control: The synthesis of hierarchical porous SnO2 microspheres and their gas-sensing mechanism. J. Phys. Chem. C 2015, 119, 15963–15976. [Google Scholar] [CrossRef]
- Yang, M.J.; Zhang, S.D.; Qu, F.D.; Gong, S.; Wang, C.H.; Qiu, L.; Yang, M.H.; Cheng, W.L. High performance acetone sensor based on ZnO nanorods modified by Au nanoparticles. J. Alloys Compd. 2019, 797, 246–252. [Google Scholar] [CrossRef]
- Yang, D.; Velamakanni, A.; Bozoklu, G.; Park, S.; Stoller, M.; Piner, R.D.; Stankovich, S.; Jung, I.; Field, D.A.; Ventrice, C.A.; et al. Chemical analysis of graphene oxide films after heat and chemical treatments by X-ray photoelectron and Micro-Raman spectroscopy. Carbon 2009, 47, 145–152. [Google Scholar] [CrossRef]
- Kast, W.; Hohenthanner, C.R. Mass transfer within the gas phase of porous media. Int. J. Heat Mass Transf. 2000, 43, 807–823. [Google Scholar] [CrossRef]
- Szekely, J.; Evans, J.W.; Sohn, H.Y. Gas–Solid Reactions; Academic Press: New York, NY, USA, 1976. [Google Scholar]
- Patankar, S.V. Numerical Heat Transfer and Fluid Flow; McGraw-Hill Book, Co.: New York, NY, USA, 1980. [Google Scholar]
- Jin, W.W.; Tao, W.Q. Design of high-order difference scheme and analysis of solution characteristics—Part II: A kind of third-order difference scheme and new scheme design theory. Numer. Heat Transf. B Fund. 2017, 52, 231–254. [Google Scholar] [CrossRef]
- Shimonishi, T.; Nakatani, N.; Furuya, K.; Hama, T. Adsorption energies of carbon, nitrogen, and oxygen atoms on the low-temperature amorphous water ice: A systematic estimation from quantum chemistry calculations. Astrophys. J. 2018, 855, 27. [Google Scholar] [CrossRef]









| Samples | Adsorption Pore Volume × 106 (m3/g) | Specific Surface Area (m2/g) | Average Pore Size (nm) | DAe × 106 (m2/s) |
|---|---|---|---|---|
| CT0 | 0.047 | 10.2 | 13.7 | 0.19 |
| CT1 | 0.125 | 29.4 | 41.43 | 0.94 |
| CT2 | 0.077 | 46.5 | 5.68 | 0.51 |
| CT3 | 0.091 | 9.75 | 49.97 | 0.65 |
© 2020 by the authors. Licensee MDPI, Basel, Switzerland. This article is an open access article distributed under the terms and conditions of the Creative Commons Attribution (CC BY) license (http://creativecommons.org/licenses/by/4.0/).
Share and Cite
Li, M.; Wang, B.; Tao, A.; Li, S. Gas Sensing Properties of Cobalt Titanate with Multiscale Pore Structure: Experiment and Simulation. Sensors 2020, 20, 1787. https://doi.org/10.3390/s20061787
Li M, Wang B, Tao A, Li S. Gas Sensing Properties of Cobalt Titanate with Multiscale Pore Structure: Experiment and Simulation. Sensors. 2020; 20(6):1787. https://doi.org/10.3390/s20061787
Chicago/Turabian StyleLi, Mingchun, Baoting Wang, Aili Tao, and Shengfei Li. 2020. "Gas Sensing Properties of Cobalt Titanate with Multiscale Pore Structure: Experiment and Simulation" Sensors 20, no. 6: 1787. https://doi.org/10.3390/s20061787
APA StyleLi, M., Wang, B., Tao, A., & Li, S. (2020). Gas Sensing Properties of Cobalt Titanate with Multiscale Pore Structure: Experiment and Simulation. Sensors, 20(6), 1787. https://doi.org/10.3390/s20061787
