Impact of Leadership and Mobility on Consensus-Building in Sensor Networks
Abstract
1. Introduction
1.1. Motivation
1.2. Comparison with Existing Works
1.3. Contributions of This Paper
1.4. Organization
2. Background and Literature Survey
3. Consensus in a Leader-Follower Model
3.1. Consensus in Leader-Follower Model: Results and Discussion
3.2. Bipartite Representation
| Algorithm 1: Node coloring algorithm to convert unipartite graph into bipartite graph |
| % Number of edges connecting nodes in set red to the nodes in set black |
| % Number of edges connecting nodes in the same set |
| % Switch()changes the color of the node v |
| while) for which Switch (v) increases e;do |
| | |
| end |
| ifthen |
| | cut all the edges in |
| end |
3.3. Leader Selection Process
3.4. Transition Matrix
3.5. Convergence to Weighted Consensus
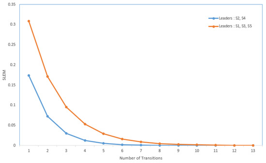
3.6. Rate of Convergence to a Consensus
4. Mobility in Leader-Follower Model: Results and Discussion
4.1. Characteristics of the Product Matrix
4.2. Impact of Mobility on a Disconnected Graph
Impact of Mobility on a Network with an Isolated Node
5. Summary and Conclusions
Author Contributions
Funding
Conflicts of Interest
Abbreviations
| SLEM | Second Largest Eigen Module |
References
- Stanković, S.S.; Beko, M.; Stanković, M.S. A Robust Consensus Seeking Algorithm. In Proceedings of the IEEE EUROCON 2019—18th International Conference on Smart, Novi Sad, Serbia, 8–11 July 2019; pp. 1–6. [Google Scholar] [CrossRef]
- Conradt, L.; List, C. Group Decision in Humans and Animals: A Survey. Philos. Trans. R. Soc. 2009, 364, 719–742. [Google Scholar] [CrossRef]
- Wan, Y.; Namuduri, K.; Akula, S.; Varanasi, M. The Impact of Multi-Group Multi-Layer Network Structure on the Performance of Distributed Consensus Building Strategies. Int. J. Robost Nonlinear Control 2012, 23, 653–662. [Google Scholar] [CrossRef]
- Norouzi-Kandalan, R.; Sing, R.; Namuduri, K.; Varanasi, M.; Buckles, B. Impact of Mobility on Convergence Rate in a Wireless Sensor Network. In Proceedings of the 2017 51st Annual Conference on Information Sciences and Systems (CISS), Baltimore, MD, USA, 22–24 March 2017. [Google Scholar]
- Ali, S.; Ahmed, S.; Khan Marwat, S.N. A practical approach to consensus based control of multi-agent systems. In Proceedings of the 2018 International Symposium on Recent Advances in Electrical Engineering (RAEE), Islamabad, Pakistan, 17–18 October 2018; pp. 1–5. [Google Scholar] [CrossRef]
- Yang, L.; Li, H. Vehicle-to-vehicle communication based on a peer-to-peer network with graph theory and consensus algorithm. IET Intell. Transp. Syst. 2019, 13, 280–285. [Google Scholar] [CrossRef]
- Lozano Domínguez, J.; Mateo Sanguino, T.J. Review on V2X, I2X, and P2X Communications and Their Applications: A Comprehensive Analysis over Time. Sensors 2019, 19, 2756. [Google Scholar] [CrossRef] [PubMed]
- Jin, L. Research on distributed task allocation algorithm for unmanned aerial vehicles based on consensus theory. In Proceedings of the 2016 Chinese Control and Decision Conference (CCDC), Yinchuan, China, 28–30 May 2016; pp. 4892–4897. [Google Scholar] [CrossRef]
- Yan, Z.; Xu, D.; Chen, T.; Zhang, W.; Liu, Y. Leader-Follower Formation Control of UUVs with Model Uncertainties, Current Disturbances, and Unstable Communication. Sensors 2018, 18, 662. [Google Scholar] [CrossRef] [PubMed]
- Wuthishuwong, C.; Traechtler, A. Consensus-based local information coordination for the networked control of the autonomous intersection management. Complex Intell. Syst. 2017, 3, 17–32. [Google Scholar] [CrossRef]
- Ruan, Y.; Jayaweera, S.K. Leader-following consensus in vehicle platoons with an inter-vehicle communication network. In Proceedings of the 2014 8th International Conference on Telecommunication Systems Services and Applications (TSSA), Kuta, Indonesia, 23–24 October 2014; pp. 1–6. [Google Scholar] [CrossRef]
- Khan, M.M.I.; Hossain, R. Efficient and fast convergent consensus algorithms for faulty nodes tracking in distributed wireless sensor networks. In Proceedings of the 2016 3rd International Conference on Electrical Engineering and Information Communication Technology (ICEEICT), Dhaka, Bangladesh, 22–24 September 2016; pp. 1–6. [Google Scholar] [CrossRef]
- Hegselmann, R.; Krause, U. Opinion Dynamics and Bounded Confidence Model, Analysis, And Simulation. J. Artifical Soc. Soc. Simul. 2002, 5, 1–24. [Google Scholar]
- Cronin, A.L.; Stumpe, M.C. Ants Work Harder During Consensus Decision-Making in Small Groups. J. R. Soc. Inetrface 2014, 11, 20140641. [Google Scholar] [CrossRef] [PubMed]
- Cucker, F.; Smale, S. Emergent Behavior in Flocks. IEEE Trans. Autom. Control 2007, 52, 852–862. [Google Scholar] [CrossRef]
- Xu, Y.; Liu, W.; Gong, J. Stable Multi-Agent-Based Load Shedding Algorithm for Power Systems. IEEE Trans. Power Syst. 2011, 26, 2006–2014. [Google Scholar]
- DeGroot, M.H. Reaching a Consensus. J. Am. Stat. Assoc. 1974, 69, 118–121. [Google Scholar] [CrossRef]
- Olfati-Saber, R.; Murray, R.M. Consensus Protocols for Networks of Dynamic Agents. In Proceedings of the American Control Conference, Denver, CO, USA, 4–6 June 2003. [Google Scholar]
- Saber, R.O.; Murray, R.M. Consensus Problem in Network of Agents with Switching Topology and Time-Delay. IEEE Trans. Autom. Control 2004, 49, 1520–1533. [Google Scholar] [CrossRef]
- Fax, R.O.S.J.A.; Murray, R.M. Consensus and Cooperation in Networked Multi-Agent System. Proc. IEEE 2007, 95, 215–233. [Google Scholar]
- Vicsek, T.; Czirok, A.; Jacob, E.B.; Cohen, I.; Shochet, O. Novel Type of Phase Transition in a System of Self-Driven Particles. Phys. Rev. Lett. 1995, 75, 1226–1229. [Google Scholar] [CrossRef] [PubMed]
- Jadbabaie, A.; Lin, J.; Morse, A.S. Coordination of Groups of Mobile Autonomous Agent Using Nearest Neighbour Rule. In Proceedings of the 41st IEEE Conference on Decision and Control, Las Vegas, NV, USA, 10–13 December 2002. [Google Scholar]
- Boyd, S.; Persi Diaconis, L.X. Fastest Mixing Markov Chain on a Graph. Soc. Ind. Appl. Math. 2004, 46, 667–689. [Google Scholar] [CrossRef]
- Hoshaverd, P.; Baras, J.S.; Gupta, V. Probabilistic Switching and Convergence Rate in Consensus Problems. In Proceedings of the Allerton Conference on Communication, Control and Computing, Chicago, IL, USA, 26–28 September 2007. [Google Scholar]
- Baras, J.S.; Hovareshti, P. Effect of Graph Topology on Performance on Distributed Algorithm for Networked Control and Sensing. In Proceedings of the Workshop on Networked Distributed Systems for Intelligent Sensing and Control, Kalamata, Greece, 30 June 2008. [Google Scholar]
- Ren, W.; Bread, R.W. Consensus Seeking in Multiagent Systems Under Dynamically Changing Interaction Topologies. IEEE Trans. Autom. Control 2005, 50, 655–661. [Google Scholar] [CrossRef]
- Tahbaz-Salehi, A.; Jadbabaie, A. A Necessary and Sufficient Condition for Consensus over Random Networks. IEEE Trans. Autom. Control 2008, 53, 791–795. [Google Scholar] [CrossRef]
- Goemans, M.X.; Williamson, D.P. Improved Approximation Algorithms for Maximum Cut and Satisfiability Probability Using Semidefinite Programming. J. Assoc. Comput. Mach. 1995, 42, 1115–1145. [Google Scholar] [CrossRef]
- Odentrantz, J. Markov Chains: Gibbs Fields, Monte Carlo Simulation, and Queues. Technometrics 1999, 42, 438–439. [Google Scholar] [CrossRef]
- Meyer, C.D. (Ed.) Matrix Analysis and Applied Linear Algebra; Society for Industrial and Applied Mathematics: Philadelphia, PA, USA, 2000. [Google Scholar]
- Kandalan, R.N.; Alla, S.; Rezaeian, N.H. Impact of Mobility on Consensus Building in the Leader-Follower Model. In Proceedings of the 2019 IEEE 90th Vehicular Technology Conference (VTC2019-Fall), Honolulu, HI, USA, 22–25 September 2019; pp. 1–6. [Google Scholar] [CrossRef]
- Wolfowitz, J. Products of Indecomposable, Aperiodic, Stochastic Matrices. Proc. Am. Math. Soc. 1963, 14, 733–737. [Google Scholar] [CrossRef]








© 2020 by the authors. Licensee MDPI, Basel, Switzerland. This article is an open access article distributed under the terms and conditions of the Creative Commons Attribution (CC BY) license (http://creativecommons.org/licenses/by/4.0/).
Share and Cite
Norouzi Kandalan, R.; Varanasi, M.; Buckles, B.; Namuduri, K. Impact of Leadership and Mobility on Consensus-Building in Sensor Networks. Sensors 2020, 20, 1081. https://doi.org/10.3390/s20041081
Norouzi Kandalan R, Varanasi M, Buckles B, Namuduri K. Impact of Leadership and Mobility on Consensus-Building in Sensor Networks. Sensors. 2020; 20(4):1081. https://doi.org/10.3390/s20041081
Chicago/Turabian StyleNorouzi Kandalan, Roya, Murali Varanasi, Bill Buckles, and Kamesh Namuduri. 2020. "Impact of Leadership and Mobility on Consensus-Building in Sensor Networks" Sensors 20, no. 4: 1081. https://doi.org/10.3390/s20041081
APA StyleNorouzi Kandalan, R., Varanasi, M., Buckles, B., & Namuduri, K. (2020). Impact of Leadership and Mobility on Consensus-Building in Sensor Networks. Sensors, 20(4), 1081. https://doi.org/10.3390/s20041081

