Analysis of Combining SAR and Optical Optimal Parameters to Classify Typhoon-Invasion Lodged Rice: A Case Study Using the Random Forest Method
Abstract
1. Introduction
2. Study Area and Data
2.1. Study Area
2.2. Experimental Data
3. Methods
3.1. Pre-Processing of Remote Sensing Images
3.2. Screening of Optimal Sensitive Parameter for Lodging Rice
3.2.1. Statistical Analysis
3.2.2. OSPL Screening Model
3.3. Classification of Lodging and Healthy Rice
4. Results and Discussions
4.1. SAR Parameter Analysis
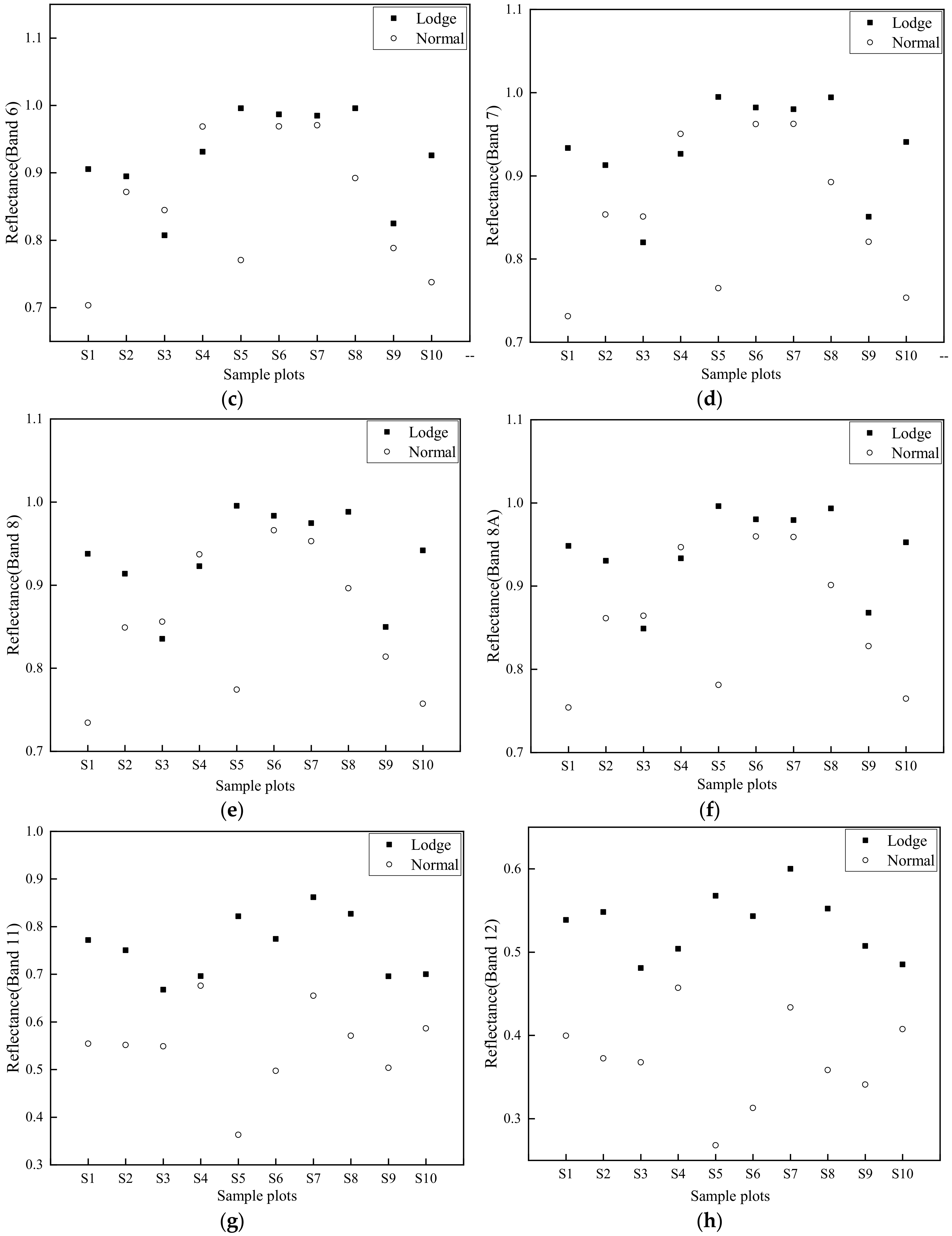
4.2. Reflectance Analysis
4.3. Selecting of OSPL
4.4. Mapping Healthy and Lodged Rice Based on RF and OSPL
5. Conclusions
Author Contributions
Funding
Acknowledgments
Conflicts of Interest
References
- Zhang, Y.; Liu, X.H.; Su, S.L.; Wang, C.Z. Retrieving canopy height and density of paddy rice from Radatsat-2 images with a canopy scattering model. Int. J. Appl. Earth Obs. Geoinf. 2014, 28, 170–180. [Google Scholar]
- Food and Agriculture Organization of the United Nations. FAOSTAT Crop Statistics Data: Rice Production and Trade 2018. Available online: http://www.fao.org/faostat/en/#data/QC (accessed on 10 November 2019).
- Ishimaru, K.; Togawa, E.; Ookawa, T.; Kashiwagi, T.; Madoka, Y.; Hirotsu, N. New target for rice lodging resistance and its effect in a typhoon. Planta 2008, 227, 601–609. [Google Scholar] [PubMed]
- Shimono, H.; Okada, M.; Yamakawa, Y.; Nakamura, H.; Kobayashi, K.; Hasegawa, T. Lodging in rice can be alleviated by atmospheric CO2 enrichment. Agric. Ecosyst. Environ. 2007, 118, 223–230. [Google Scholar]
- Setter, T.L.; Laureles, E.V.; Mazaredo, A.M. Lodging reduces yield of rice by self-shading and reductions in canopy photosynthesis. Field Crop. Res. 1997, 49, 95–106. [Google Scholar]
- Yang, H.; Chen, E.X.; Li, Z.Y.; Zhao, C.J.; Yang, G.J.; Pignatti, S.; Casa, R.; Zhao, L. Wheat lodging monitoring using polarimetric index from RADARSAT-2 data. Int. J. Appl. Earth Obs. Geoinf. 2015, 34, 157–166. [Google Scholar]
- Liu, Z.Y.; Li, C.J.; Wang, Y.T.; Huang, W.J. Comparison of Spectral Indices and Principal Component Analysis for Differentiating Lodged Rice Crop from Normal Ones. In Proceedings of the 5th Computer and Computing Technologies in Agriculture Conference, Beijing, China, 29–31 October 2011. [Google Scholar]
- Yang, M.D.; Huang, K.S.; Kuo, Y.S.; Tsai, H.P.; Lin, L.M. Spatial and spectral hybrid image classification for rice lodging assessment through UAV imagery. Remote Sens. 2017, 9, 583–601. [Google Scholar]
- Liu, T.; Li, R.; Zhong, X.C.; Jiang, M.; Jin, X.L.; Zhou, P. Estimates of rice lodging using indices derived from UAV visible and thermal infrared images. Agric. For. Meteorol. 2018, 252, 144–154. [Google Scholar]
- Chauhan, S.; Darvishzadeh, R.; Boschetti, M.; Pepe, M.; Nelson, A. Remote sensing-based crop lodging assessment: Current status and perspectives. ISPRS J. Photogramm. Remote Sens. 2019, 151, 124–140. [Google Scholar]
- Chakraborty, M.; Manjunath, K.R.; Panigrahy, S.; Kundu, N.; Parihar, J.S. Rice crop parameter retrieval using multi-temporal, multi-incidence angle Radarsat SAR data. ISPRS J. Photogramm. Remote Sens. 2005, 59, 310–322. [Google Scholar]
- Inoue, Y.; Kurosu, T.; Maeno, H.; Uratsuka, S.; Kozu, T. Season-long daily measurements of multifrequency (Ka, Ku, X, C, and L) and full-polarization backscatter signatures over paddy rice field and their relationship with biological variables. Remote Sens. Environ. 2002, 81, 194–204. [Google Scholar]
- Zhao, L.; Yang, J.; Li, P.X.; Shi, L. Characterizing lodging damage in wheat and canola using Radarsat-2 polarimetric SAR data. Remote Sens. Lett. 2017, 8, 667–675. [Google Scholar]
- Chen, J.; Li, H.; Yu, H. Potential of RADARSAT-2 Data on Identifying Sugarcane Lodging Caused by Typhoon. In Proceedings of the 2016 Fifth International Conference on Agro-Geoinformatics, Tianjin, China, 18–20 July 2016. [Google Scholar]
- Han, D.; Yang, H.; Yang, G.J.; Qiu, C.X. Monitoring Model of Corn Lodging Based on Sentinel-1 Radar Image. In Proceedings of the Chinese Society of Agricultural Engineering, Beijing, China, 13–14 November 2017. [Google Scholar]
- Shu, M.Y.; Zhou, L.F.; Gu, X.H.; Ma, Y.T.; Sun, Q. Monitoring of maize lodging using multi-temporal Sentinel-1 SAR data. Adv. Space Res. 2020, 65, 470–480. [Google Scholar]
- Chauhan, S.; Darvishzadeh, R.; Boschetti, M.; Nelson, A. Discriminant analysis for lodging severity classification in wheat using RADARSAT-2 and Sentinel-1 data. ISPRS J. Photogramm. Remote Sens. 2020, 164, 138–151. [Google Scholar]
- Chauhan, S.; Darvishzadeh, R.; Boschetti, M.; Nelson, A. Estimation of crop angle of inclination for lodged wheat using multi-sensor SAR data. Remote Sens. Environ. 2020, 236, 111488. [Google Scholar]
- Guo, Y.Q.; Jia, X.P.; Paull, D.; Benediktsson, J.A. Nomination-favoured opinion pool for optical-SAR -synergistic rice mapping in face of weakened flooding signals. ISPRS J. Photogramm. Remote Sens. 2019, 155, 187–205. [Google Scholar]
- Chauhan, S.; Darvishzadeh, R.; Lu, Y.; Boschetti, M.; Nelson, A. Understanding wheat lodging using multi-temporal Sentinel-1 and Sentinel-2 data. Remote Sens. Environ. 2020, 243, 111804. [Google Scholar]
- Cai, Y.; Lin, H.; Zhang, M. Mapping paddy rice by the object-based random forest method using time series Sentinel-1/Sentinel-2 data. Adv. Space Res. 2019, 64, 2233–2244. [Google Scholar]
- Gorelick, N.; Hancher, M.; Dixon, M.; Ilyushchenko, S.; Thau, D.; Moore, R. Google earth engine: Planetary-scale geospatial analysis for everyone. Remote Sens. Environ. 2017, 202, 18–27. [Google Scholar]
- Wu, W.; Wang, W.; Meadows, M.E.; Yao, X.; Peng, W. Cloud-based typhoon-derived paddy rice flooding and lodging detection using multi-temporal Sentinel-1&2. Front. Earth Sci. 2019, 13, 682–694. [Google Scholar]
- Ahmad, A.; Quegan, S. Analysis of maximum likelihood classification on multispectral data. Appl. Math. Sci. 2012, 6, 129–132. [Google Scholar]
- Breiman, L. Random forests. Mach. Learn. 2001, 45, 5–32. [Google Scholar] [CrossRef]
- Li, H.P.; Zhang, C.; Zhang, S.Q.; Atkinson, P.M. Crop classification from full-year fully-polarimetric L-band UAVSAR time-series using the Random Forest algorithm. Int. J. Appl. Earth Obs. Geoinf. 2020, 87, 102032. [Google Scholar] [CrossRef]
- Wang, S.; Azzari, G.; Lobell, D.B. Crop type mapping without field-level labels: Random forest transfer and unsupervised clustering techniques. Remote Sens. Environ. 2019, 222, 303–317. [Google Scholar] [CrossRef]
- Zhang, P.; Hu, S.G.; Li, W.D.; Zhang, C.R. Parcel-level mapping of crops in a smallholder agricultural area: A case of central China using single-temporal VHSR imagery. Comput. Electron. Agric. 2020, 175, 105581. [Google Scholar] [CrossRef]
- Shi, J.; Hu, J.C.; Shao, W.Z.; Wang, X.Q.; Yuan, X.Z.; Li, X.F. The impact of rain to observed signal from Chinese Gaofen-3 synthetic aperture radar in typhoons. Acta Oceanol. Sin. 2019, 38, 121–133. [Google Scholar] [CrossRef]
- Melsheimer, C.; Alpers, W.; Gade, M. Simultaneous observations of rain cells over the ocean by the synthetic aperture radar aboard the ERS satellites and by surface-based weather radars. J. Geophys. Res. Ocean. 2001, 106, 4665–4677. [Google Scholar] [CrossRef]
- Bouvet, A.; Le Toan, T.; Nguyen, L.D. Monitoring of the rice cropping system in the Mekong delta using ENVISAT/ASAR dual polarization data. IEEE Trans. Geosci. Remote Sens. 2009, 47, 517–526. [Google Scholar] [CrossRef]
- Wang, L.F.; Kong, J.A.; Ding, K.H.; Le Toan, T.; Ribbes, F.; Floury, N. Electromagnetic scattering model for rice canopy based on Monte Carlo simulation. Prog. Electromagn. Res. 2005, 52, 153–171. [Google Scholar] [CrossRef]
- Asner, G.P.; Martin, R.E. Airborne spectranomics: Mapping canopy chemical and taxonomic diversity in tropical forests. Front. Ecol. Environ. 2009, 7, 269–276. [Google Scholar] [CrossRef]
- Darvishzadeh, R.; Wang, T.J.; Skidmore, A.; Vrieling, A. Analysis of Sentinel-2 and rapideye for retrieval of leaf area index in a saltmarsh using a radiative transfer model. Remote Sens. 2019, 11, 671. [Google Scholar] [CrossRef]












| Satellite | Sentinel-2 | Sentinel-1 |
|---|---|---|
| Spatial Resolution | 10 m | 15 m |
| Spectrum range | B2, B3, B4, B5, B6, B7, B8, B8A B11, B12 | |
| Polarization mode | VV, VH | |
| Data level | Level-2A | Level-1 |
| Image mode | MSI | IW |
| Swath width | 290 Km | 250 Km |
| Revisit | 5d | 12d |
| Acquisition | 2 and 17 September 2019 | 26 August/7 and 19 September 2019 |
| Parameter | ||||||
|---|---|---|---|---|---|---|
| VV | −12.25 | −11.1 | 1.15 | −11.66 | −12.27 | 0.61 |
| VH | −17.13 | −15.52 | 1.61 | −16.91 | −16.86 | 0.05 |
| VV + VH | −29.37 | −26.82 | 2.55 | −28.56 | −29.12 | 0.56 |
| VV − VH | 5.18 | 4.43 | 0.75 | 5.06 | 4.59 | 0.47 |
| VH/VV | 1.41 | 1.40 | 0.01 | 1.46 | 1.38 | 0.08 |
| Alpha | 0.83 | 0.92 | 0.09 | 0.85 | 0.94 | 0.09 |
| Anisotropy | 0.49 | 0.47 | 0.02 | 0.51 | 0.49 | 0.02 |
| Entropy | 0.81 | 0.83 | 0.02 | 0.79 | 0.81 | 0.02 |
| Shannon Entropy | 0.48 | 0.67 | 0.19 | 0.53 | 0.51 | 0.02 |
| Span | −10.88 | −9.63 | 1.25 | −10.37 | −10.86 | 0.49 |
| B2 | 0.25 | 0.67 | 0.42 | 0.29 | 0.53 | 0.24 |
| B3 | 0.46 | 0.81 | 0.35 | 0.57 | 0.72 | 0.15 |
| B4 | 0.24 | 0.66 | 0.42 | 0.25 | 0.61 | 0.36 |
| B5 | 0.49 | 0.84 | 0.35 | 0.6 | 0.77 | 0.17 |
| B6 | 0.68 | 0.93 | 0.25 | 0.77 | 0.85 | 0.08 |
| B7 | 0.74 | 0.93 | 0.19 | 0.79 | 0.85 | 0.06 |
| B8 | 0.75 | 0.93 | 0.18 | 0.8 | 0.85 | 0.05 |
| B8A | 0.76 | 0.94 | 0.18 | 0.81 | 0.86 | 0.05 |
| B11 | 0.47 | 0.76 | 0.29 | 0.55 | 0.55 | 0 |
| B12 | 0.38 | 0.53 | 0.15 | 0.44 | 0.37 | 0.07 |
| VV | VH | VV + VH | VV − VH | VH/VV | Alpha | Anisotropy | Entropy | Shannon Entropy | Span | |
|---|---|---|---|---|---|---|---|---|---|---|
| γ | 0.011 | 0.047 | 0.031 | 0.005 | −0.04 | −0.019 | −0.011 | −0.006 | 0.125 | 0.026 |
| β | 10 | 10 | 10 | 9 | 5 | 6 | 6 | 6 | 9 | 9 |
| B2 | B3 | B4 | B5 | B6 | B7 | B8 | B8A | B11 | B12 | |
|---|---|---|---|---|---|---|---|---|---|---|
| γ | 0.018 | 0.101 | −0.161 | 0.077 | 0.081 | 0.059 | 0.062 | 0.061 | 0.236 | 0.035 |
| β | 10 | 8 | 10 | 10 | 10 | 10 | 10 | 10 | 10 | 10 |
| OSF | OSI | OSF–OSI | ||||
|---|---|---|---|---|---|---|
| Lodge (GT) | Healthy (GT) | Lodge (GT) | Healthy (GT) | Lodge (GT) | Healthy (GT) | |
| Lodge (CC) | 673 | 133 | 657 | 73 | 686 | 60 |
| Healthy (CC) | 77 | 544 | 93 | 604 | 64 | 617 |
| PA | 90% | 80% | 88% | 89% | 91% | 91% |
| UA | 83% | 88% | 90% | 87% | 92% | 91% |
| OA | 85% | 88% | 91% | |||
| Kappa | 0.70 | 0.76 | 0.83 | |||
Publisher’s Note: MDPI stays neutral with regard to jurisdictional claims in published maps and institutional affiliations. |
© 2020 by the authors. Licensee MDPI, Basel, Switzerland. This article is an open access article distributed under the terms and conditions of the Creative Commons Attribution (CC BY) license (http://creativecommons.org/licenses/by/4.0/).
Share and Cite
Wang, J.; Li, K.; Shao, Y.; Zhang, F.; Wang, Z.; Guo, X.; Qin, Y.; Liu, X. Analysis of Combining SAR and Optical Optimal Parameters to Classify Typhoon-Invasion Lodged Rice: A Case Study Using the Random Forest Method. Sensors 2020, 20, 7346. https://doi.org/10.3390/s20247346
Wang J, Li K, Shao Y, Zhang F, Wang Z, Guo X, Qin Y, Liu X. Analysis of Combining SAR and Optical Optimal Parameters to Classify Typhoon-Invasion Lodged Rice: A Case Study Using the Random Forest Method. Sensors. 2020; 20(24):7346. https://doi.org/10.3390/s20247346
Chicago/Turabian StyleWang, Jinning, Kun Li, Yun Shao, Fengli Zhang, Zhiyong Wang, Xianyu Guo, Yi Qin, and Xiangchen Liu. 2020. "Analysis of Combining SAR and Optical Optimal Parameters to Classify Typhoon-Invasion Lodged Rice: A Case Study Using the Random Forest Method" Sensors 20, no. 24: 7346. https://doi.org/10.3390/s20247346
APA StyleWang, J., Li, K., Shao, Y., Zhang, F., Wang, Z., Guo, X., Qin, Y., & Liu, X. (2020). Analysis of Combining SAR and Optical Optimal Parameters to Classify Typhoon-Invasion Lodged Rice: A Case Study Using the Random Forest Method. Sensors, 20(24), 7346. https://doi.org/10.3390/s20247346

