Distributed Group Location Update Algorithm for Massive Machine Type Communication
Abstract
1. Introduction
2. Related Work
3. Distributed Group Location Update Algorithm (Dglu)
4. Constrained Stochastic Game
4.1. Local State Space
4.2. Local Action Space
4.3. Transition Probability
4.4. Reward Function
4.5. Constraint Function
4.6. Optimization Formulation
| Algorithm 1: Best response dynamics-based algorithm. |
| 1: Calculate the optimal medium access probability . |
| 2: Inform the to IoT devices |
| 3: Initialize the policies for . |
| 4: while Stationary policies of all IoT devices converge |
| 5: for All IoT devices i do |
| 6: Transmit the to other IoT devices with |
| 7: Calculate the probability |
| 8: Solve the LP problem to get the stationary best response policy |
| 9: end for |
| 10: end while |
5. Evaluation Results
5.1. Convergence to Nash Equilibrium
5.2. Effect of
5.3. Effect of
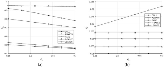
5.4. Effect of
5.5. Effect of
6. Conclusions and Future Work
Author Contributions
Funding
Conflicts of Interest
References
- IoT Devices Will Outnumber the World’s Population This Year for the First Time. Available online: https://www.zdnet.com/article/iot-devices-will-outnumber-the-worlds-population-this-year-for-the-first-time/ (accessed on 27 February 2020).
- IoT to Drive Growth in Connected Devices through 2022: Cisco. Available online: https://www.zdnet.com/article/iot-to-drive-growth-in-connected-devices-through-2022-cisco/ (accessed on 27 February 2020).
- Gartner, 8.4 Billion Connected “Things” Will Be in Use in 2017, up 31 Percent from 2016. Available online: http://www.gartner.com/newsroom/id/3598917 (accessed on 27 February 2020).
- Sharma, S.; Wang, X. Towards Massive Machine Type Communications in Ultra-Dense Cellular IoT Networks: Current Issues and Machine Learning-Assisted Solutions. IEEE Commun. Surv. Tutorials (CST) 2020, 22, 426–471. [Google Scholar] [CrossRef]
- Medel, A.; Brito, J. Random-Access Accelerator(RAA): A Framework to Speed Up the Random-Access Procedure in 5G new Radio for IoT mMTC by Enabling Device-To-Device Communications. Sensors 2020, 20, 5485. [Google Scholar] [CrossRef] [PubMed]
- Aly, A.; Attar, H.E.L.; Badawy, H.E.L.; Abbas, W. Aggregated Throughput Prediction for Collated Massive Machine-Type Communications in 5G Wireless Networks. Sensors 2019, 19, 3651. [Google Scholar]
- Sodhro, A.; Obaidat, M.; Abbasi, Q.; Pace, P.; Pirbhulal, S.; Yasar, A.; Fortino, G.; Imran, M.; Qaraqe, M. Quality of Service Optimization in an IoT-Driven Intelligent Transportation System. IEEE Wirel. Commun. 2019, 26, 10–17. [Google Scholar] [CrossRef]
- Guan, K.; He, D.; Ai, B.; Matolak, D.; Wang, Q.; Zhong, Z.; Kürner, T. 5-GHz Obstructed Vehicle-to-Vehicle Channel Characterization for Internet of Intelligent Vehicles. IEEE Internet Things J. 2019, 6, 100–110. [Google Scholar] [CrossRef]
- Huang, S. 5G-based Intelligent Transportation System Construction. In Proceedings of the IEEE International Conference on Safety Produce Information (IICSPI) 2018, Chongqing, China, 28–30 November 2019. [Google Scholar]
- Moubayed, A.; Shami, A.; Heidari, P.; Larabi, A.; Brunner, R. Edge-Enabled V2X Service Placement for Intelligent Transportation Systems. IEEE Trans. Mob. Comput. 2020. [Google Scholar] [CrossRef]
- Shit, R.; Sharma, S.; Puthal, D.; Zomaya, A. Location of Things(LoT): A Review and Taxonomy of Sensors Localization in IoT Infrastructure. IEEE Commun. Surv. Tutorials 2018, 20, 2028–2061. [Google Scholar] [CrossRef]
- Fu, H.; Lin, P.; Lin, Y. Reducing Signaling Overhead for Femtocell/Macrocell Networks. IEEE Trans. Mob. Comput. 2013, 12, 1587–1597. [Google Scholar] [CrossRef]
- Pacheco-Paramo, D.; Akyildiz, I.; Casares-Giner, V. Local Anchor Based Location Management Schemes for Small Cells in HetNets. IEEE Trans. Mob. Comput. 2016, 15, 883–894. [Google Scholar] [CrossRef]
- Ko, H.; Lee, J.; Pack, S. MALM: Mobility-Aware Location Management Scheme in Femto/Macrocell Networks. IEEE Trans. Mob. Comput. 2017, 16, 3115–3125. [Google Scholar] [CrossRef]
- Yu, Y.; Gu, D. The Cost Efficient Location Management in the LTE Picocell/Macrocell Network. IEEE Commun. Lett. 2013, 17, 904–907. [Google Scholar]
- Wang, J.; Liu, K.; Ni, M.; Pan, J. Learning Based Mobility Management Under Uncertainties for Mobile Edge Computing. In Proceedings of the IEEE Global Communications Conference (GLOBECOM) 2018, Abu Dhabi, UAE, 9–13 December 2018. [Google Scholar]
- Wang, F.; Tu, L.; Zhang, F.; Huang, Z. Group Location Update Scheme and Performance Analysis for Location Management in Mobile Network. In Proceedings of the IEEE Vehicular Technology Conference (VTC) 2005, Stockholm, Sweden, 30 May–1 June 2005. [Google Scholar]
- Fu, H.; Lin, P.; Yue, H.; Huang, G.; Lee, C. Group Mobility Management for Large-Scale Machine-to-Machine Mobile Networking. IEEE Trans. Veh. Technol. (TVT) 2014, 63, 1296–1305. [Google Scholar] [CrossRef]
- Li, Z.; Wu, H. A Group User Location Management Scheme Based on the Stochastic Time Delay. In Proceedings of the IEEE International Conference on Intelligent Transportation Systems Telecommunications (ITST) 2018, Lisboa, Portugal, 15–17 October 2018. [Google Scholar]
- Suzuki, M.; Kitahara, T.; Ano, S.; Tsuru, M. Group Mobility Detection and User Connectivity Models for Evaluation of Mobile Network Functions. IEEE Trans. Netw. Serv. Manag. 2018, 15, 127–141. [Google Scholar] [CrossRef]
- Chowdhury, M.; Chae, S.; Jang, Y. Group Handover Management in Mobile Femtocellular Network Deployment. In Proceedings of the International Conference on Ubiquitous and Future Networks (ICUFN) 2012, Phuket, Thailand, 4–6 July 2012. [Google Scholar]
- Dooren, D.; Fodor, G.; Gross, J.; Johansson, K. Delay Analysis of Group Handover for Real-Time Control over Mobile Networks. In Proceedings of the IEEE Global Communications Conference (GLOBECOM) 2018, Abu Dhabi, UAE, 9–13 December 2018. [Google Scholar]
- Chatzikokolakis, K.; Kaloxylos, A.; Spapis, P.; Zhou, C.; Bulakci, Ö.; Alonistioti, N. Context-Aware Location Management of Groups of Devices in 5G Networks. In Proceedings of the IFIP International Conference on Autonomous Infrastructure, Management and Security 2016, Munich, Germany, 20–23 June 2016. [Google Scholar]
- Aman, M.; Basheer, M.; Sikdar, B. Two-Factor Authentication for IoT with Location Information. IEEE Int. Things J. 2018, 6, 3335–3351. [Google Scholar] [CrossRef]
- Albouq, S.; Sen, A.; Namoun, A.; Bahbouh, N. A double Obfuscation Approach for Protecting the Privacy of IoT Location Based Applications. IEEE Access 2020, 8, 129415–129431. [Google Scholar] [CrossRef]
- Saia, R.; Carta, S.; Recupero, D.; Fenu, G. Internet of Entities (IoE): A Blockchain-based Distributed Paradigm for Data Exchange between Wireless-based Devices. In Proceedings of the Internation Conference on Sensor Networks (SENSORNETS) 2019, Prague, Czech Republic, 26–27 February 2019. [Google Scholar]
- Sun, G.; Chang, V.; Ramachandran, M.; Sun, A.; Li, G.; Yu, H.; Liao, D. Efficient location privacy algorithm for Internet of Things (IoT) services and applications. J. Netw. Comput. Appl. 2017, 89, 3–13. [Google Scholar] [CrossRef]
- Altman, E.; Avrachenkov, K.; Bonneau, N.; Debbah, M.; El-Azouzi, R.; Menasche, D.S. Constrained Cost-Coupled Stochastic Games with Independent State Processes. Oper. Res. Lett. 2008, 36, 160–164. [Google Scholar] [CrossRef][Green Version]
- Zheng, J.; Cai, Y.; Shen, X.; Zheng, Z.; Yang, W. Green Energy Optimization in Energy Harvesting Wireless Sensor Networks. IEEE Commun. Mag. 2015, 53, 150–157. [Google Scholar] [CrossRef]
- Niyato, D.; Wang, P.; Kim, D.; Han, Z.; Xiao, L. Game Theoretic Modeling of Jamming Attack in Wireless Powered Communication Networks. In Proceedings of the IEEE International Conference on Communications (ICC) 2016, London, UK, 8–12 May 2016. [Google Scholar]
- Niyato, D.; Lu, X.; Wang, P.; Kim, D.; Han, Z. Distributed Wireless Energy Scheduling for Wireless Powered Sensor Networks. In Proceedings of the IEEE International Conference on Communications (ICC) 2016, Kuala Lumpur, Malaysia, 22–27 May 2016. [Google Scholar]
- Ko, H.; Pack, S. Neighbor-Aware Energy-Efficient Monitoring System for Energy Harvesting Internet of Things. IEEE Int. Things J. 2019, 6, 5745–5752. [Google Scholar] [CrossRef]
- Silvester, J.; Kleinrock, L. On the Capacity of Multihop Slotted ALOHA Networks with Regular Structure. IEEE Trans. Commun. 1983, 31, 974–982. [Google Scholar] [CrossRef]
- Wikipedia, Linear Programming. Available online: https://en.wikipedia.org/wiki/Linear_programming (accessed on 13 December 2020).








| Notation | Description |
|---|---|
| Local state space of IoT device i | |
| S | Global state space |
| State space for denoting the current location of IoT device i | |
| State space for denoting the registered location of IoT device i at the location management server | |
| State space for denoting the energy of IoT device i | |
| Number of locations within the target area | |
| Maximum battery capacity of IoT device | |
| Local action space of IoT device i | |
| A | Global action space |
| Probability of occurrence of location change of IoT device i | |
| Probability that IoT device i moves from to | |
| Probability that IoT device harvests one unit of energy | |
| Stationary policy of mobile device i | |
| Stationary multi-policy of all mobile devices | |
| Stationary policy of all edge clouds except mobile device i | |
| Probability that at least one IoT device except IoT device i has registered its current location with the location management server |
| Parameter | ||||
|---|---|---|---|---|
| Value | 10 | 0.7 | 0.05 | [0.5 0.4 0.3] |
Publisher’s Note: MDPI stays neutral with regard to jurisdictional claims in published maps and institutional affiliations. |
© 2020 by the authors. Licensee MDPI, Basel, Switzerland. This article is an open access article distributed under the terms and conditions of the Creative Commons Attribution (CC BY) license (http://creativecommons.org/licenses/by/4.0/).
Share and Cite
Paik, M.; Ko, H. Distributed Group Location Update Algorithm for Massive Machine Type Communication. Sensors 2020, 20, 7336. https://doi.org/10.3390/s20247336
Paik M, Ko H. Distributed Group Location Update Algorithm for Massive Machine Type Communication. Sensors. 2020; 20(24):7336. https://doi.org/10.3390/s20247336
Chicago/Turabian StylePaik, Mincheol, and Haneul Ko. 2020. "Distributed Group Location Update Algorithm for Massive Machine Type Communication" Sensors 20, no. 24: 7336. https://doi.org/10.3390/s20247336
APA StylePaik, M., & Ko, H. (2020). Distributed Group Location Update Algorithm for Massive Machine Type Communication. Sensors, 20(24), 7336. https://doi.org/10.3390/s20247336

