Dynamic Properties of Microresonators with the Bionic Structure of Tympanic Membrane
Abstract
1. Introduction
2. Bionic Structure Model
2.1. Structural Parameters
2.2. The Contour Surface Equation
3. Modal Analysis
3.1. The FEM Model
3.2. Vibration Modes
4. Results
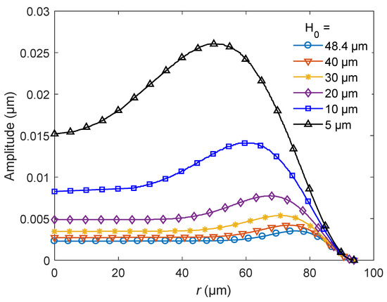
4.1. Effect of Height
4.2. Effect of Thickness
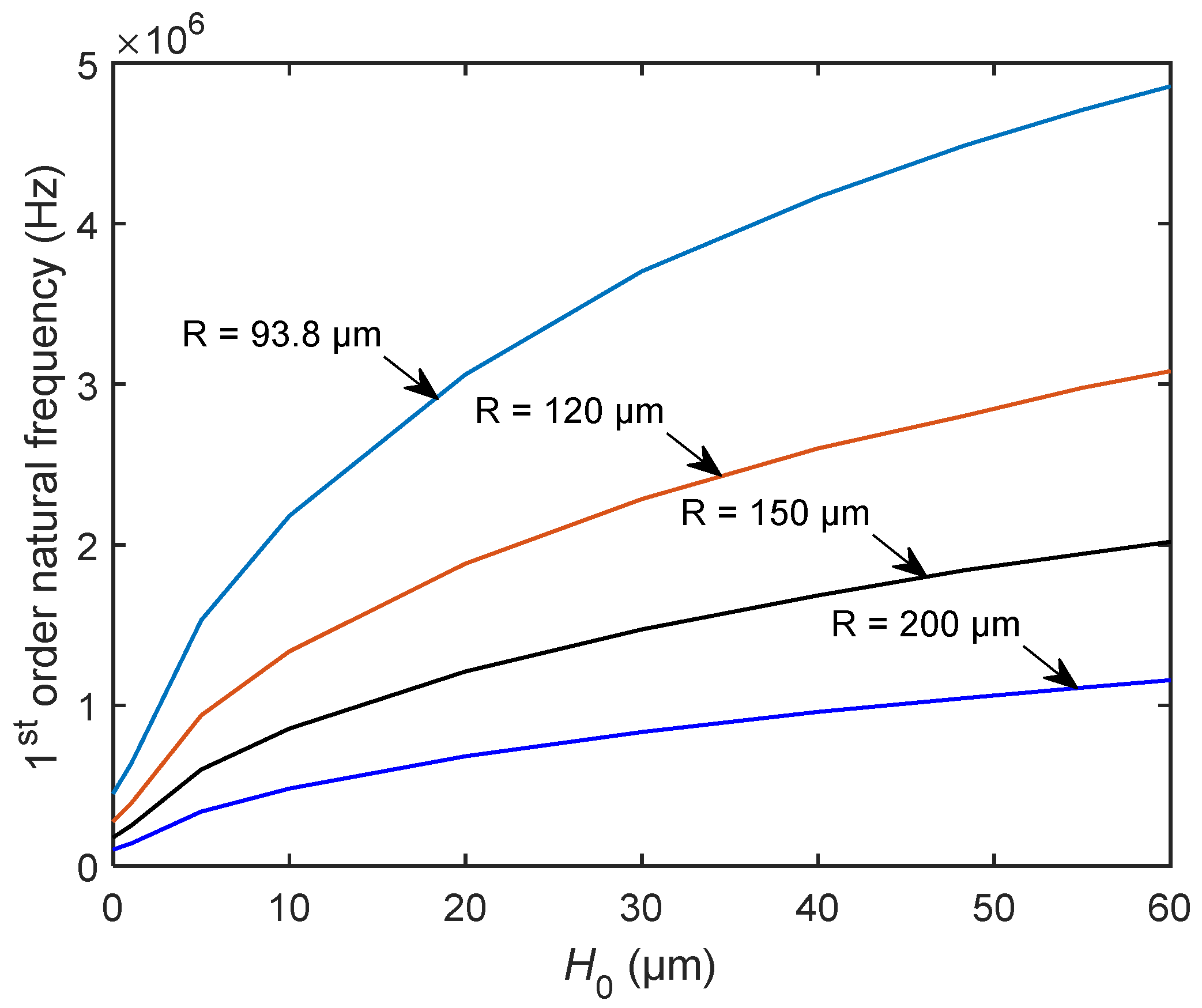
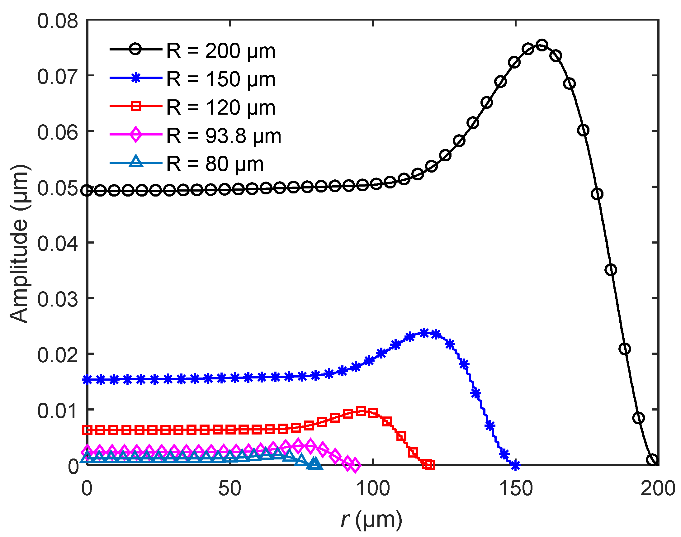
4.3. Effect of Radius
4.4. Effect of Scale
4.5. Comparison with Circular Microplane Resonator
5. Conclusions
Author Contributions
Funding
Conflicts of Interest
References
- Liu, X.G.; Katehi, L.P.B.; Chappell, W.J.; Peroulis, D. High-Q Tunable microwave cavity resonators and filters using SOI-based RF MEMS tuners. J. Microelectromech. Syst. 2010, 19, 774–784. [Google Scholar] [CrossRef]
- Gray, J.M.; Houlton, J.P.; Gertsch, J.C.; Brown, J.J.; Rogers, C.T.; George, S.M.; Bright, V.M. Hemispherical micro-resonators from atomic layer deposition. J. Micromech. Microeng. 2014, 24. [Google Scholar] [CrossRef]
- Lifshitz, R.; Roukes, M.L. Thermoelastic damping in micro- and nanomechanical systems. Phys. Rev. B 2000, 61, 5600–5609. [Google Scholar] [CrossRef]
- Evoy, S.; Carr, D.W.; Sekaric, L.; Olkhovets, A.; Parpia, J.M.; Craighead, H.G. Nanofabrication and electrostatic operation of single-crystal silicon paddle oscillators. J. Appl. Phys. 1999, 86, 6072–6077. [Google Scholar] [CrossRef]
- Sattler, R.; Plotz, F.; Fattinger, G.; Wachutka, G. Modeling of an electrostatic torsional actuator: Demonstrated with an RF MEMS switch. Sens. Actuator A Phys. 2002, 97–98, 337–346. [Google Scholar] [CrossRef]
- Ilyas, S.; Younis, M.I. Theoretical and experimental investigation of mode localization in electrostatically and mechanically coupled microbeam resonators. Int. J. Nonlin. Mech. 2020, 125. [Google Scholar] [CrossRef]
- Bogaerts, W.; De Heyn, P.; Van Vaerenbergh, T.; De Vos, K.; Selvaraja, S.K.; Claes, T.; Dumon, P.; Bienstman, P.; Van Thourhout, D.; Baets, R. Silicon microring resonators. Laser Photonics Rev. 2012, 6, 47–73. [Google Scholar] [CrossRef]
- Zuo, W.; Li, P.; Zhang, J.; Fang, Y. Analytical modeling of thermoelastic damping in bilayered microplate resonators. Int. J. Mech. Sci. 2016, 106, 128–137. [Google Scholar] [CrossRef]
- Yu, X.D.; Long, X.W.; Wei, G.; Li, G.; Qu, T.L. Statistical analysis of nature frequencies of hemispherical resonator gyroscope based on probability theory. Sens. Smart Struct. Technol. Civ. Mech. Aerosp. Syst. 2015 2015, 9435. [Google Scholar] [CrossRef]
- Hajjaj, A.Z.; Alcheikh, N.; Hafiz, M.A.A.; Ilyas, S.; Younis, M.I. A scalable pressure sensor based on an electrothermally and electrostatically operated resonator. Appl. Phys. Lett. 2017, 111, 223503. [Google Scholar] [CrossRef]
- Zega, V.; Frangi, A.; Guercilena, A.; Gattere, G. Analysis of frequency stability and thermoelastic effects for slotted tuning fork MEMS resonators. Sensors 2018, 18, 2157. [Google Scholar] [CrossRef] [PubMed]
- Liu, S.; Ma, J.; Yang, X.; Sun, Y.; Yang, J.; Wang, X. Theoretical 3D model of thermoelastic damping in laminated rectangular plate resonators. Int. J. Struct. Stab. Dy. 2018, 18. [Google Scholar] [CrossRef]
- Li, P.; Fang, Y.M. A molecular dynamics simulation approach for the squeeze-film damping of MEMS devices in the free molecular regime. J. Micromech. Microeng. 2010, 20. [Google Scholar] [CrossRef]
- Zhang, G.J.; Wang, P.P.; Guan, L.G.; Xiong, J.J.; Zhang, W.D. Improvement of the MEMS bionic vector hydrophone. Microelectron. J. 2011, 42, 815–819. [Google Scholar] [CrossRef]
- Wang, F.; Ren, Z.W.; Nie, J.H.; Tian, J.W.; Ding, Y.F.; Chen, X.Y. Self-powered sensor based on bionic antennae arrays and triboelectric nanogenerator for identifying noncontact motions. Adv. Mater. Technol. 2020, 5. [Google Scholar] [CrossRef]
- Pambudi, M.R.; Sigit, R.; Harsono, T. The bionic hand movement using myo sensor and neural networks. In Proceedings of the 2016 International Conference on Knowledge Creation and Intelligent Computing (KCIC), Manado, Indonesia, 15 November 2016; pp. 259–264. [Google Scholar]
- Yang, B.; Zhang, T.; Liang, Z.Y.; Lu, C.F. Research on an artificial lateral line system based on a bionic hair sensor with resonant readout. Micromachines 2019, 10, 736. [Google Scholar] [CrossRef] [PubMed]
- Wang, Y.; Zhao, J.; Xia, Y.; Liu, P. Configuration optimization of bionic piezoelectric hair sensor for acoustic/tactile detection. Bioinspir. Biomim. 2020, 15. [Google Scholar] [CrossRef]
- Zhou, S.; Zhang, W.; Zou, Y.; Ou, B.; Zhang, Y.; Wang, C. Piezoelectric-driven self-assembling micro air vehicle with bionic reciprocating wings. Electron. Lett. 2018, 54, 551–552. [Google Scholar] [CrossRef]
- Cao, A.; Wang, J.; Pang, H.; Zhang, M.; Shi, L.; Deng, Q.; Hu, S. Design and fabrication of a multifocal bionic compound eye for imaging. Bioinspir. Biomim. 2018, 13. [Google Scholar] [CrossRef]
- Volandri, G.; Di Puccio, F.; Forte, P.; Carmignani, C. Biomechanics of the tympanic membrane. J. Biomech. 2011, 44, 1219–1236. [Google Scholar] [CrossRef]
- Zhang, X.M.; Gan, R.Z. Dynamic properties of human tympanic membrane based on frequency-temperature superposition. Ann. Biomed. Eng. 2013, 41, 205–214. [Google Scholar] [CrossRef] [PubMed]
- Cheng, J.T.; Hamade, M.; Merchant, S.N.; Rosowski, J.J.; Harrington, E.; Furlong, C. Wave motion on the surface of the human tympanic membrane: Holographic measurement and modeling analysis. J. Acoust. Soc. Am. 2013, 133, 918–937. [Google Scholar] [CrossRef] [PubMed]
- Sorenson, L.D.; Gao, X.; Ayazi, F. 3-D Micromachined hemispherical shell resonators with integrated capacitive transducers. In Proceedings of the 2012 IEEE 25th International Conference on Micro Electro Mechanical Systems (Mems), Paris, France, 29 January 2012. [Google Scholar]
- De Greef, D.; Buytaert, J.A.N.; Aerts, J.R.M.; Van Hoorebeke, L.; Dierick, M.; Dirckx, J. Details of human middle ear morphology based on micro-CT imaging of phosphotungstic acid stained samples. J. Morphol. 2015, 276, 1025–1046. [Google Scholar] [CrossRef] [PubMed]
- Van der Jeught, S.; Dirckx, J.J.; Aerts, J.R.; Bradu, A.; Podoleanu, A.G.; Buytaert, J.A. Full-field thickness distribution of human tympanic membrane obtained with optical coherence tomography. J. Assoc. Res. Otolaryngol. 2013, 14, 483–494. [Google Scholar] [CrossRef] [PubMed]
- Soedel, W. Vibrations of Shells and Plates; Marcel Dekker: New York, NY, USA, 1993. [Google Scholar]
- Duwel, A.; Candler, R.N.; Kenny, T.W.; Varghese, M. Engineering MEMS resonators with low thermoelastic damping. J. Microelectromech. Syst. 2006, 15, 1437–1445. [Google Scholar] [CrossRef]
- Zhang, X.M.; Guan, X.Y.; Nakmali, D.; Palan, V.; Pineda, M.; Gan, R.Z. Experimental and modeling study of human tympanic membrane motion in the presence of middle ear liquid. J. Assoc. Res. Otolaryngol. 2014, 15, 867–881. [Google Scholar] [CrossRef]
- De Greef, D.; Aernouts, J.; Aerts, J.; Cheng, J.T.; Horwitz, R.; Rosowski, J.J.; Dirckx, J.J.J. Viscoelastic properties of the human tympanic membrane studied with stroboscopic holography and finite element modeling. Hear. Res. 2014, 312, 69–80. [Google Scholar] [CrossRef]














| Diameter D (μm) | Height H0 (μm) | Thickness b (μm) |
|---|---|---|
| 187.6 | 48.4 | 1 |
| Parameters | Polysilicon |
|---|---|
| Young’s modulus, E (GPa) | 157 |
| Poisson’s ratio, υ | 0.22 |
| Density, ρ (kg m−3) | 2330 |
| Thermal conductivity, κ (W m−1 K−1) | 90 |
| Specific heat, Cp (J kg−1 K−1) | 699 |
| Thermal expansion coefficient, α (K−1) | 2.6 × 10−6 |
| Mode | The Natural Frequencies (MHz) |
|---|---|
| 1 | 4.4901 |
| 2 | 5.0863 |
| 3 | 5.7668 |
| 4 | 6.1232 |
| 5 | 6.4361 |
| 6 | 7.1902 |
| 7 | 8.1132 |
| Parameters | Values | ||||||
|---|---|---|---|---|---|---|---|
| H0 (μm) | 48.4 | 40 | 30 | 20 | 10 | 5 | 0 |
| rmax/R | 0.8054 | 0.7826 | 0.7538 | 0.7202 | 0.6534 | 0.5532 | 0 |
| Parameters | Values | ||||
|---|---|---|---|---|---|
| R (μm) | 80 | 93.8 | 120 | 150 | 200 |
| rmax/R | 0.8151 | 0.8101 | 0.8099 | 0.8133 | 0.7923 |
| No. | R (μm) | H0 (μm) | b (μm) | The First Natural Frequencies (MHz) |
|---|---|---|---|---|
| 1 | 80 | 40 | 1 | 5.6183 |
| 2 | 100 | 50 | 1.25 | 4.4718 |
| 3 | 120 | 60 | 1.5 | 3.7176 |
| 4 | 150 | 75 | 1.875 | 2.9683 |
| 5 | 200 | 100 | 2.5 | 2.2234 |
| No. | R (μm) | Scale | rmax/R | Relative Maximum Amplitude |
|---|---|---|---|---|
| 1 | 80 | 1 | 0.792 | 1 |
| 2 | 100 | 1.25 | 0.793 | 1.254 |
| 3 | 120 | 1.5 | 0.795 | 1.511 |
| 4 | 150 | 1.875 | 0.795 | 1.886 |
| 5 | 200 | 2.5 | 0.798 | 2.497 |
| Boundary Conditions | R (μm) | The First Natural Frequencies (MHz) | Ratio | |
|---|---|---|---|---|
| Circular Plate | Bionic Structure | |||
| Fully clamped | 100 | 0.7912 | 5.5358 | 0.1429 |
| 150 | 0.3516 | 2.5964 | 0.1354 | |
| 200 | 0.1977 | 1.4903 | 0.1326 | |
| Simple supported | 100 | 0.3722 | 1.8895 | 0.1970 |
| 150 | 0.1654 | 8.8700 | 0.1865 | |
| 200 | 0.9306 | 5.0977 | 0.1825 | |
Publisher’s Note: MDPI stays neutral with regard to jurisdictional claims in published maps and institutional affiliations. |
© 2020 by the authors. Licensee MDPI, Basel, Switzerland. This article is an open access article distributed under the terms and conditions of the Creative Commons Attribution (CC BY) license (http://creativecommons.org/licenses/by/4.0/).
Share and Cite
Tai, Y.; Zhou, K.; Chen, N. Dynamic Properties of Microresonators with the Bionic Structure of Tympanic Membrane. Sensors 2020, 20, 6958. https://doi.org/10.3390/s20236958
Tai Y, Zhou K, Chen N. Dynamic Properties of Microresonators with the Bionic Structure of Tympanic Membrane. Sensors. 2020; 20(23):6958. https://doi.org/10.3390/s20236958
Chicago/Turabian StyleTai, Yongpeng, Kai Zhou, and Ning Chen. 2020. "Dynamic Properties of Microresonators with the Bionic Structure of Tympanic Membrane" Sensors 20, no. 23: 6958. https://doi.org/10.3390/s20236958
APA StyleTai, Y., Zhou, K., & Chen, N. (2020). Dynamic Properties of Microresonators with the Bionic Structure of Tympanic Membrane. Sensors, 20(23), 6958. https://doi.org/10.3390/s20236958

