Polarization-Insensitive Waveguide Schottky Photodetectors Based on Mode Hybridization Effects in Asymmetric Plasmonic Waveguides
Abstract
1. Introduction
2. Performance Formulas
3. Design Principle and Simulation Results
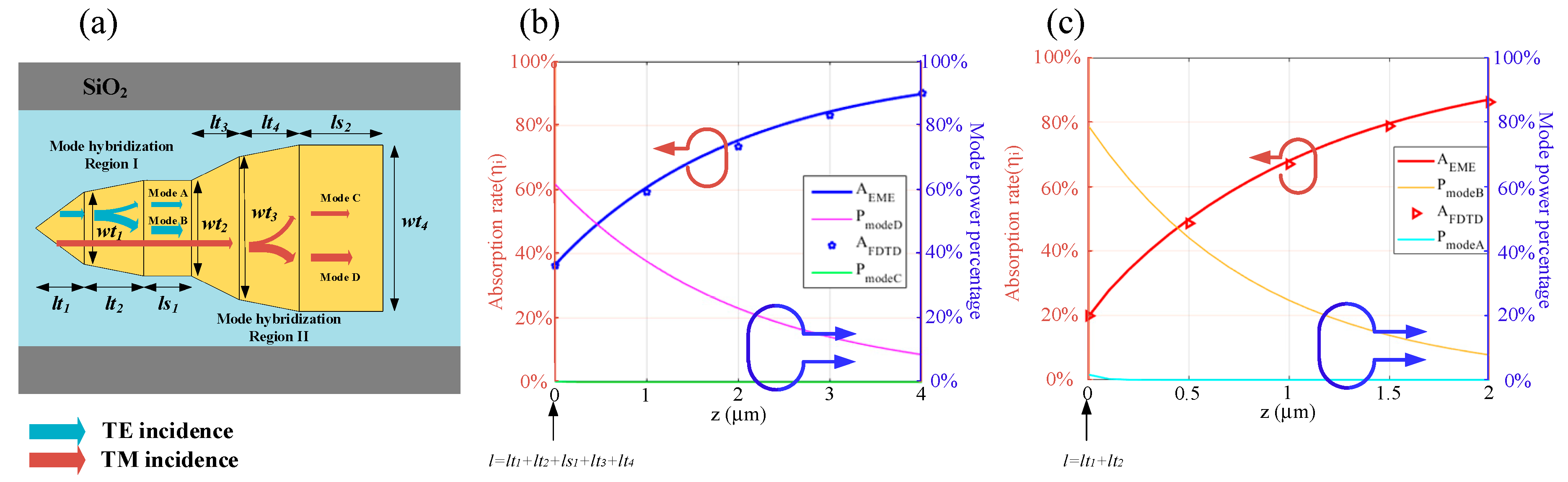
3.1. Dual-Layer Structure for 1.55 µm Operation
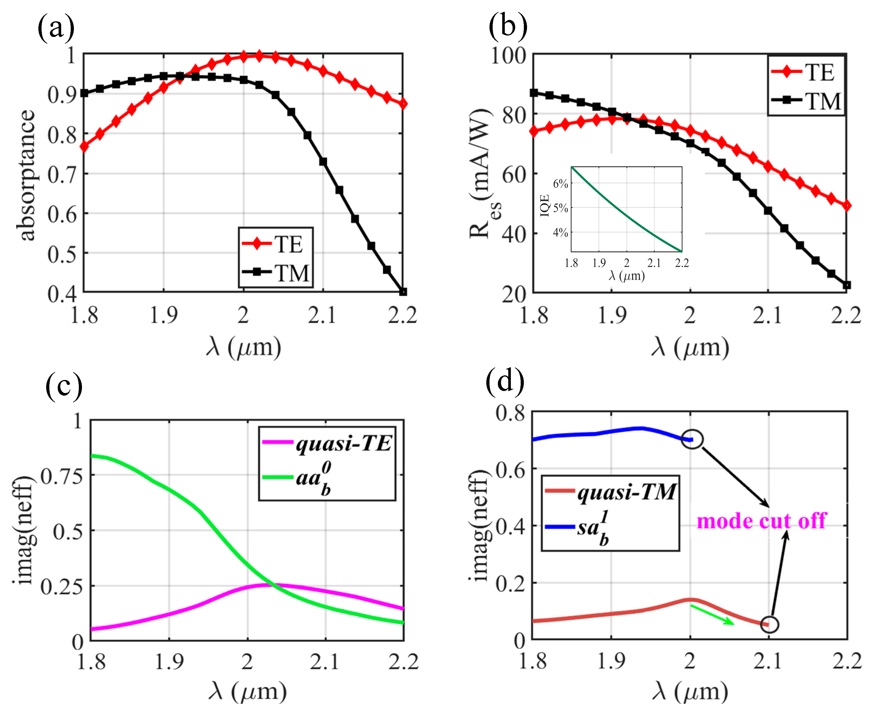
3.2. Single-Layer Structure for 2 µm Operation
4. Discussions about Fabrication Tolerance and Feasibility
5. Summary and Future Work
Author Contributions
Funding
Conflicts of Interest
References
- Goykhman, I.; Desiatov, B.; Khurgin, J.; Shappir, J.; Levy, U. Waveguide based compact silicon Schottky photodetector with enhanced responsivity in the telecom spectral band. Opt. Express 2012, 20, 28594–28602. [Google Scholar] [CrossRef] [PubMed]
- Casalino, M.; Coppola, G.; la Rue, R.M.; Logan, D.F. State of the art all silicon sub-bandgap photodetectors at telecom and datacom wavelengths. Laser Photonics Rev. 2016, 10, 895–921. [Google Scholar] [CrossRef]
- Muehlbrandt, S.; Melikyan, A.; Harter, T.; Köhnle, K.; Muslija, A.; Vincze, P.; Wolf, S.; Jakobs, P.; Fedoryshyn, Y.; Freude, W.; et al. Silicon-plasmonic internal-photoemission detector for 40 Gbit/s data reception. Optica 2016, 3, 741. [Google Scholar] [CrossRef]
- Desiatov, B.; Goykhman, I.; Mazurski, N.; Shappir, J.; Khurgin, J.B.; Levy, U. Plasmonic enhanced silicon pyramids for internal photoemission Schottky detectors in the near-infrared regime. Optica 2015, 2, 335–338. [Google Scholar] [CrossRef]
- Su, Y.; Lin, C.; Chang, P.; Helmy, A.S. Highly sensitive wavelength-scale amorphous hybrid plasmonic detectors. Optica 2017, 4, 1259–1262. [Google Scholar] [CrossRef]
- Gosciniak, J.; Atar, F.B.; Corbett, B.; Rasras, M. CMOS-Compatible Titanium Nitride for On-Chip Plasmonic Schottky Photodetectors. ACS Omega 2019, 4, 17223–17229. [Google Scholar] [CrossRef]
- Frydendahl, C.; Grajower, M.; Bar-David, J.; Zektzer, R.; Mazurski, N.; Shappir, J.; Levy, U. Giant enhancement of silicon plasmonic shortwave infrared photodetection using nanoscale self-organized metallic films. Optica 2020, 7, 371–379. [Google Scholar] [CrossRef]
- Brown, A.M.; Sundararaman, R.; Narang, P.; Goddard, W.A.; Atwater, H.A. Nonradiative Plasmon Decay and Hot Carrier Dynamics: Effects of Phonons, Surfaces, and Geometry. ACS Nano 2016, 10, 957. [Google Scholar] [CrossRef]
- Khurgin, J.B. Fundamental limits of hot carrier injection from metal in nanoplasmonics. Nanophotonics 2020, 9, 453–471. [Google Scholar] [CrossRef]
- Kosonocky, W.F.; Shallcross, F.V.; Villani, T.S.; Groppe, J.V. 160 × 244 Element PtSi Schottky-barrier IRCCD image sensor. IEEE Trans. Electron. Dev. 1985, 32, 1564–1573. [Google Scholar] [CrossRef]
- Sze, S.M.; Coleman, D.J., Jr.; Loya, A. Current transport in metal-semiconductor-metal (MSM) structures. Solid State Electron. 1971, 14, 1209–1218. [Google Scholar] [CrossRef]
- Knight, M.W.; Wang, Y.; Urban, A.S.; Sobhani, A.; Zheng, B.Y.; Nordlander, P.; Halas, N.J. Embedding plasmonic nanostructure diodes enhances hot electron emission. Nano Lett. 2013, 13, 1687–1692. [Google Scholar] [CrossRef]
- Fathauer, R.W.; Iannelli, J.M.; Nieh, C.W.; Hashimoto, S. Infrared response from metallic particles embedded in a single-crystal Si matrix: The layered internal photoemission sensor. Appl. Phys. Lett. 1990, 57, 1419–1421. [Google Scholar] [CrossRef]
- Grajower, M.; Levy, U.; Khurgin, J.B. The role of surface roughness in plasmonic-assisted internal photoemission schottky photodetectors. ACS Photonics 2018, 5, 4030–4036. [Google Scholar] [CrossRef]
- Casalino, M.; Sassi, U.; Goykhman, I.; Eiden, A.; Lidorikis, E.; Milana, S.; de Fazio, D.; Tomarchio, F.; Iodice, M.; Coppola, G.; et al. Vertically illuminated, resonant cavity enhanced, graphene–silicon Schottky photodetectors. ACS Nano 2017, 11, 10955–10963. [Google Scholar] [CrossRef] [PubMed]
- Casalino, M. Design of Resonant Cavity-Enhanced Schottky Graphene/Silicon Photodetectors at 1550 nm. J. Lightwave Technol. 2018, 36, 1766–1774. [Google Scholar] [CrossRef]
- Casalino, M.; Russo, R.; Russo, C.; Ciajolo, A.; di Gennaro, E.; Iodice, M.; Coppola, G. Free-Space Schottky Graphene/Silicon Photodetectors Operating at 2 μm. ACS Photonics 2018, 5, 4577–4585. [Google Scholar] [CrossRef]
- Goykhman, I.; Sassi, U.; Desiatov, B.; Mazurski, N.; Milana, S.; de Fazio, D.; Eiden, A.; Khurgin, J.; Shappir, J.; Levy, U.; et al. On-Chip Integrated, Silicon-Graphene Plasmonic Schottky Photodetector with High Responsivity and Avalanche Photogain. Nano Lett. 2016, 16, 3005–3013. [Google Scholar] [CrossRef]
- Schuler, S.; Schall, D.; Neumaier, D.; Schwarz, B.; Watanabe, K.; Taniguchi, T.; Mueller, T. Graphene photodetector integrated on a photonic crystal defect waveguide. ACS Photonics 2018, 5, 4758–4763. [Google Scholar] [CrossRef]
- Hosseinifar, M.; Ahmadi, V.; Ebnali-Heidari, M. Schottky graphene/Si photodetector based on metal-dielectric hybrid hollow-core photonic crystal fibers. Opt. Lett. 2017, 42, 5066–5069. [Google Scholar] [CrossRef]
- Wang, W.; Klots, A.; Prasai, D.; Yang, Y.; Bolotin, K.I.; Valentine, J. Hot electron-based near-infrared photodetection using bilayer MoS2. Nano Lett. 2015, 15, 7440–7444. [Google Scholar] [CrossRef]
- Chen, C.; Youngblood, N.; Peng, R.; Yoo, D.; Mohr, D.A.; Johnson, T.W.; Oh, S.H.; Li, M. Three-dimensional integration of black phosphorus photodetector with silicon photonics and nanoplasmonics. Nano Lett. 2017, 17, 985–991. [Google Scholar] [CrossRef] [PubMed]
- Yin, Y.; Cao, R.; Guo, J.; Liu, C.; Li, J.; Feng, X.; Wang, H.; Du, W.; Qadir, A.; Zhang, H.; et al. High-speed and high-responsivity hybrid silicon/black-phosphorus waveguide photodetectors at 2 µm. Laser Photonics Rev. 2019, 13, 1900032.1–1900032.8. [Google Scholar] [CrossRef]
- Scales, C.; Berini, P. Thin-Film Schottky Barrier Photodetector Models. IEEE J. Quantum Electron. 2010, 46, 633–643. [Google Scholar] [CrossRef]
- Elabd, H.; Kosonocky, W.F. Theory and Measurements of Photoresponse for Thin Film Pd2Si and PtSi Infrared schottky Barrier Detectors with Optical Cavity. RCA Rev. 1982, 143, 569–589. [Google Scholar]
- Li, R.; Zhang, C.; Li, X. Schottky hot-electron photodetector by cavity-enhanced optical Tamm resonance. Appl. Phys. Lett. 2017, 110, 013902. [Google Scholar] [CrossRef]
- Zhang, C.; Wu, K.; Zhan, Y.; Giannini, V.; Li, X. Planar microcavity-integrated hot-electron photodetector. Nanoscale 2016, 8, 10323–10329. [Google Scholar] [CrossRef]
- Shao, W.; Yang, Q.; Zhang, C.; Wu, S.; Li, X. Planar dual-cavity hot-electron photodetectors. Nanoscale 2019, 11, 1396–1402. [Google Scholar] [CrossRef]
- Casalino, M.; Coppola, G.; Gioffre, M.; Iodice, M.; Moretti, L.; Rendina, I.; Sirleto, L. Cavity Enhanced Internal Photoemission Effect in Silicon Photodiode for Sub-Bandgap Detection. J. Lightwave Technol. 2010, 28, 3266–3272. [Google Scholar] [CrossRef]
- Casalino, M.; Coppola, G.; Iodice, M.; Rendina, I.; Sirleto, L. Critically coupled silicon Fabry-Perot photodetectors based on the internal photoemission effect at 1550 nm. Opt. Express 2012, 20, 12599–12609. [Google Scholar] [CrossRef]
- Lin, K.T.; Chen, H.L.; Lai, Y.S.; Yu, C.C. Silicon-based broadband antenna for high responsivity and polarization- insensitive photodetection at telecommunication wavelengths. Nat. Commun. 2014, 5, 3288. [Google Scholar] [CrossRef] [PubMed]
- Zhang, Q.; Zhang, C.; Qin, L.; Li, X. Polarization-insensitive hot-electron infrared photodetection by double Schottky junction and multilayer grating. Opt. Lett. 2018, 43, 3325–3328. [Google Scholar] [CrossRef] [PubMed]
- Sobhani, A.; Knight, M.W.; Wang, Y.; Zheng, B.; King, N.S.; Brown, L.V.; Fang, Z.; Nordlander, P.; Halas, N.J. Narrowband photodetection in the near-infrared with a plasmon-induced hot electron device. Nat. Commun. 2013, 4, 1643. [Google Scholar] [CrossRef] [PubMed]
- Zali, A.R.; Moravvej-Farshi, M.K.; Abaeiani, G. Internal photoemission-based photodetector on Si microring resonator. Opt. Lett. 2012, 37, 4925–4927. [Google Scholar] [CrossRef] [PubMed]
- Hosseinifar, M.; Ahmadi, V.; Ebnali-Heidari, M. Si-Schottky photodetector based on metal stripe in slot-waveguide microring resonator. IEEE Photon. Technol. Lett. 2016, 28, 1363–1366. [Google Scholar] [CrossRef]
- Hosseinifar, M.; Ahmadi, V.; Ebnali-Heidari, M. Design and optimization of high-performance slot-microring Si photodetector based on internal photoemission effect. Opt. Commun. 2017, 397, 10–16. [Google Scholar] [CrossRef]
- Scales, C.; Breukelaar, I.; Berini, P. Surface-plasmon Schottky contact detector based on a symmetric metal stripe in silicon. Opt. Lett. 2010, 35, 529–531. [Google Scholar] [CrossRef] [PubMed]
- Scales, C.; Breukelaar, I.; Charbonneau, R.; Berini, P. Infrared Performance of Symmetric Surface-Plasmon Waveguide Schottky Detectors in Si. J. Lightwave Technol. 2011, 29, 1852–1860. [Google Scholar] [CrossRef]
- Akbari, A.; Olivieri, A.; Berini, P. Subbandgap Asymmetric Surface Plasmon Waveguide Schottky Detectors on Silicon. IEEE J. Sel. Top. Quantum Electron. 2013, 19, 4600209. [Google Scholar] [CrossRef]
- Berini, P. Plasmon-polariton waves guided by thin lossy metal films of finite width: Bound modes of asymmetric structures. Phys. Rev. B 2001, 63, 125417. [Google Scholar] [CrossRef]
- Guo, J.; Wu, Z.; Zhao, Y. Enhanced light absorption in waveguide Schottky photodetector integrated with ultrathin metal/silicide stripe. Opt. Express 2017, 25, 10057–10069. [Google Scholar] [CrossRef] [PubMed]
- Kwon, H.; You, J.B.; Jin, Y.; Yu, K. Ultra-compact silicon waveguide-integrated Schottky photodetectors using perfect absorption from tapered metal nanobrick arrays. Opt. Express 2019, 27, 16413–16424. [Google Scholar] [CrossRef] [PubMed]
- Lin, C.; Chang, P.; Su, Y.; Helmy, A.S. Monolithic Plasmonic Waveguide Architecture for Passive and Active Optical Circuits. Nano Lett. 2020, 20, 2950–2957. [Google Scholar] [CrossRef] [PubMed]
- Yang, L.; Kou, P.; Shen, J.; Lee, E.H.; He, S. Proposal of a broadband, polarization-insensitive and high-efficiency hot-carrier schottky photodetector integrated with a plasmonic silicon ridge waveguide. J. Opt. 2015, 17, 125010. [Google Scholar] [CrossRef]
- Yang, L.; Kou, P.; Shen, J.; Lee, E.H.; He, S. A Polarization-insensitive and high-efficiency Schottky Photodetector integrated with a silicon ridge waveguide. arXiv 2013, arXiv:1311.1862. [Google Scholar]
- Chui, C.O.; Okyay, A.K.; Saraswat, K.C. Effective dark current suppression with asymmetric MSM photodetectors in group IV semiconductors. IEEE Photonics Technol. Lett. 2003, 15, 1585–1587. [Google Scholar] [CrossRef]
- Lumerical. Available online: https://www.lumerical.com/cn/ (accessed on 27 November 2020).
- Dai, D.; Tang, Y.; Bowers, J.E. Mode conversion in tapered submicron silicon ridge optical waveguides. Opt. Express 2012, 20, 13425–13439. [Google Scholar] [CrossRef]
- Dai, D.; Zhang, M. Mode hybridization and conversion in silicon-on-insulator nanowires with angled sidewalls. Opt. Express 2015, 23, 32452–32464. [Google Scholar] [CrossRef]
- Dai, D.; Bowers, J.E. Novel concept for ultracompact polarization splitter-rotator based on silicon nanowires. Opt. Express 2011, 19, 10940–10949. [Google Scholar] [CrossRef]
- Sukham, J.; Takayama, O.; Lavrinenko, A.V.; Malureanu, R. High-quality ultrathin gold layers with an aptms adhesion for optimal performance of surface plasmon polariton-based devices. ACS Appl Mater. Interfaces 2017, 9, 25049–25056. [Google Scholar] [CrossRef]
- Yakubovsky, D.I.; Stebunov, Y.V.; Kirtaev, R.V.; Ermolaev, G.A.; Mironov, M.S.; Novikov, S.M.; Arsenin, A.V.; Volkov, V.S. Ultrathin and ultrasmooth gold films on monolayer MoS2. Adv. Mater. Interfaces 2019, 6, 1900196. [Google Scholar] [CrossRef]
- Levy, U.; Grajower, M.; Gonalves, P.A.D.; Mortensen, N.A.; Khurgin, J.B. Plasmonic silicon Schottky photodetectors: The physics behind graphene enhanced internal photoemission. APL Photonics 2017, 2, 026103. [Google Scholar] [CrossRef]












| Metal | hm (nm) | wt1/wt2 wb1/wb2 (µm) | lt2 (µm) | IQE | PS * | AFDTD | Res (mA/W) | PDD | Idark (nA) |
|---|---|---|---|---|---|---|---|---|---|
| Au | 6 | 0.07/0.082 0.17/0.182 | 0.5 | 11.1% | TE | 99.6% | 138 | 12.96% | 98 |
| TM | 87.6% | 121.2 | |||||||
| 12 | 0.135/0.14 0.25/0.257 | 0.4 | 7.73% | TE | 97.3% | 93.8 | 13.6% | 145.8 | |
| TM | 84.9% | 81.8 | |||||||
| Al | 5 | 0.14/0.16 0.28/0.29 | 0.3 | 1.84% | TE | 98.2% | 22.5 | 20.58% | 0.015 |
| TM | 79.7% | 18.3 |
| Metal | hm (nm) | wt1/wt2/wt3/wt4 (µm) | IQE | PS * | AFDTD | Res (mA/W) | PDD | Idark (nA) |
|---|---|---|---|---|---|---|---|---|
| Au | 5 | 0.09/0.11/0.25/0.28 | 5.62% | TE | 98.4% | 89 | 8.5% | 96.8 |
| TM | 90.2% | 81.7 | ||||||
| 7 | 0.1/0.14/0.31/0.338 | 4.67% | TE | 99.3% | 74.7 | 5.9% | 118 | |
| TM | 93.5% | 70.4 | ||||||
| Al | 2 | 0.1/0.13/0.29/0.31 | 0.074% | TE | 93.6% | 1.1 | 1% | 0.01 |
| TM | 92.8% | 1.1 | ||||||
| 4 | 0.16/0.18/0.38/0.4 | 0.06% | TE | 97.8% | 0.95 | 12.9% | 0.013 | |
| TM | 86.2% | 0.83 |
| Type | λ (µm) | Geometric Parameters | Performances | ||||||
|---|---|---|---|---|---|---|---|---|---|
| Period (µm) | hm (nm) | Area (µm2) | PDD | A | Idark (nA) | Res (mA/W) | NPDR (mW−1) | ||
| Multilayer grating [32] | 1.47 | 0.9 | 10 | - | ~0% | 97% | - | 1 | - |
| Optical antenna [31] | 1.43 | 1.3 | 30 | - | 0% | 87% | - | ~3 | - |
| Plasmonic ridge WG [44] | 1.2–1.6 | - | 10 | ~2.5 | ~5% | ~90% | 145 | ~95 | 655 |
| This work | 1.55 | - | 6 | 1.71 | 12.96% | 95% | 98 | 120 | 1322 |
| 2 | 5 | 1.71 | 8.5% | 90% | 96.8 | 80 | 881 | ||
Publisher’s Note: MDPI stays neutral with regard to jurisdictional claims in published maps and institutional affiliations. |
© 2020 by the authors. Licensee MDPI, Basel, Switzerland. This article is an open access article distributed under the terms and conditions of the Creative Commons Attribution (CC BY) license (http://creativecommons.org/licenses/by/4.0/).
Share and Cite
Li, Q.; Tu, J.; Tian, Y.; Zhao, Y. Polarization-Insensitive Waveguide Schottky Photodetectors Based on Mode Hybridization Effects in Asymmetric Plasmonic Waveguides. Sensors 2020, 20, 6885. https://doi.org/10.3390/s20236885
Li Q, Tu J, Tian Y, Zhao Y. Polarization-Insensitive Waveguide Schottky Photodetectors Based on Mode Hybridization Effects in Asymmetric Plasmonic Waveguides. Sensors. 2020; 20(23):6885. https://doi.org/10.3390/s20236885
Chicago/Turabian StyleLi, Qian, Junjie Tu, Yang Tian, and Yanli Zhao. 2020. "Polarization-Insensitive Waveguide Schottky Photodetectors Based on Mode Hybridization Effects in Asymmetric Plasmonic Waveguides" Sensors 20, no. 23: 6885. https://doi.org/10.3390/s20236885
APA StyleLi, Q., Tu, J., Tian, Y., & Zhao, Y. (2020). Polarization-Insensitive Waveguide Schottky Photodetectors Based on Mode Hybridization Effects in Asymmetric Plasmonic Waveguides. Sensors, 20(23), 6885. https://doi.org/10.3390/s20236885
