Estimation of the Complex Dynamic Stiffness of Inflated Rubber Diaphragms in Pneumatic Springs Using Finite Element Method
Abstract
1. Introduction
2. Estimation Procedure of the Diaphragm Complex Stiffness Using FEM
2.1. Proposed Estimation Method
2.2. Extraction of Material Property for the Constitutive Equation in FEM
2.2.1. Extraction of the Nonlinear Static Material Property for the Mooney–Rivlin Model
2.2.2. Extraction of the Complex Modulus for the Morman Model
2.3. Calculation of the Diaphragm Complex Stiffness
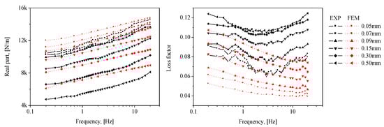
3. Validations
3.1. Indirect Extraction of Diaphragm Complex Stiffness
3.2. Comparison and Examination
4. Conclusions
Author Contributions
Funding
Conflicts of Interest
References
- Gordon, C.G. Generic Criteria for Vibration-Sensitive Equipment. In Proceedings of the International Society for Optical Engineering, San Jose, CA, USA, 10–11 September 1991. [Google Scholar]
- Amick, H.; Gendreau, M.; Gordon, C.G. Facility vibration issues for nanotechnology research. In Proceedings of the Symposium on Nano Device Technology, Hsinchu, Taiwan, 29–30 April 2002. [Google Scholar]
- Shin, Y.H.; Moon, S.J.; Kim, Y.J.; Oh, K.Y. Vibration Control of Scanning Electron Microscopes with Experimental Approaches for Performance Enhancement. Sensors 2020, 20, 2277. [Google Scholar] [CrossRef] [PubMed]
- Harris, C.M.; Crede, C.E. Shock and Vibration Handbook; McGraw-Hill: New York, NY, USA, 2002. [Google Scholar]
- DeBra, D.B. Design of Laminar Flow Restrictors for Damping Pneumatic Vibration Isolators. CIRP Ann. 1984, 33, 351–356. [Google Scholar] [CrossRef]
- Erin, C.; Wilson, B.; Zapfe, J. An improved model of a pneumatic vibration isolator: Theory and experiment. J. Sound Vib. 1998, 218, 81–101. [Google Scholar] [CrossRef]
- Yang, W.H.; Feng, W.W. On Axisymmetrical Deformations of Nonlinear Membranes. J. Appl. Mech. 1970, 37, 1002–1011. [Google Scholar] [CrossRef]
- Zhu, Y.; Li, Q.; Xu, D.; Hu, C.; Zhang, M. Modeling and analysis of a negative stiffness magnetic suspension vibration isolator with experimental investigations. Rev. Sci. Instrum. 2012, 83, 95–108. [Google Scholar] [CrossRef]
- Li, Q. Research on an Innovative Vibration Isolator with Magnetic Suspension Positive Stiffness Combined with Rubber Negative Stiffness System. Ph.D. Thesis, Tsinghua University, Beijing, China, 2013. [Google Scholar]
- Pu, H.; Luo, X.; Chen, X. Modeling and analysis of dual-chamber pneumatic spring with adjustable damping for precision vibration isolation. J. Sound Vib. 2011, 330, 3578–3590. [Google Scholar] [CrossRef]
- Xu, D.; Yu, Q.; Shen, F.; Zhe, Y.; Guan, G. An Analytical Model for a Pneumatic Vibration Isolator with the Stiffness Effect of the Elastomeric Diaphragm. Shock Vib. 2018, 1, 1–16. [Google Scholar] [CrossRef]
- Shin, Y.H.; Lee, H.J.; Kim, K.J. Consideration of static-strain-dependent dynamic complex modulus in dynamic stiffness calculation of mount/bushing by commercial finite element codes. SAE 2005, 16, 372–379. [Google Scholar]
- Morman, K.N.; Negtegaal, J.C. Finite element analysis of sinusoidal small-amplitude vibrations in deformed viscoelastic solids. Int. J. Numer. Methods Eng. 1983, 19, 1079–1103. [Google Scholar] [CrossRef]
- Lianis, G. Application of irreversible thermodynamics in finite viscoelastic deformation. J. Appl. Mech. 1965, 32, 623–629. [Google Scholar] [CrossRef]
- Coleman, B.D.; Noll, W. Foundations of Linear Viscoelasticity. Rev. Mod. Phys. 1961, 33, 239–249. [Google Scholar] [CrossRef]
- Amin, A.F.; Wiraguna, S.I.; Bhuiyan, A.R.; Okui, Y. Hyperelasticity model for finite element analysis of natural and high damping rubbers in compression and shear. J. Eng. Mech. 2006, 132, 54–64. [Google Scholar] [CrossRef]
- Connolly, S.J.; MacKenzie, D.; Comlekci, T. Multi-objective optimization of hyperelastic material constants: A feasibility study. In Proceedings of the 10th European Conference on Constitutive Models for Rubbers, Munich, Germany, 28–31 August 2017; pp. 28–31. [Google Scholar]
- Fahimi, S.; Baghani, M.; Zakerzadeh, M.R.; Eskandari, A. Developing a visco-hyperelastic material model for 3D finite deformation of elastomers. Finite Elem. Anal. Des. 2017, 140, 1–10. [Google Scholar] [CrossRef]
- Íñiguez-Macedo, S.; Lostado-Lorza, R.; Escribano-García, R.; Martínez-Calvo, M.Á. Finite element model updating combined with multi-response optimization for hyper-elastic materials characterization. Materials 2019, 12, 1019. [Google Scholar] [CrossRef] [PubMed]
- Shahzad, M.; Kamran, A.; Siddiqui, M.Z.; Farhan, M. Mechanical characterization and FE modelling of a hyperelastic material. Mater. Res. 2015, 18, 918–924. [Google Scholar] [CrossRef]
- Gracia, L.A.; Liarte, E.; Pelegay, J.L.; Calvo, B. Finite element simulation of the hysteretic behaviour of an industrial rubber. Application to design of rubber components. Finite Elem. Anal. Des. 2010, 46, 357–368. [Google Scholar] [CrossRef]
- Helnwein, P.; Liu, C.H.; Meschke, G.; Mang, H.A. A new 3-D finite element model for cord-reinforced rubber composites Application to analysis of automobile tires. Finite Elem. Anal. Des. 1993, 14, 1–16. [Google Scholar] [CrossRef]
- Yoshida, J.; Abe, M.; Fujino, Y.; Watanabe, H. Three-Dimensional Finite-Element Analysis of High. Damping Rubber Bearings. J. Eng. Mech. 2004, 130, 607–620. [Google Scholar] [CrossRef]
- Shangguan, W.B.; Lu, Z.H. Modelling of a hydraulic engine mount with fluid–structure interaction finite element analysis. J. Sound Vib. 2004, 275, 193–221. [Google Scholar] [CrossRef]
- Lee, J.H.; Kim, K.J. Modeling of nonlinear complex stiffness of dual-chamber pneumatic spring for precision vibration isolations. J. Sound Vib. 2007, 301, 909–926. [Google Scholar] [CrossRef]
- Lee, J.H.; Kim, K.J. A method of transmissibility design for dual-chamber pneumatic vibration isolator. J. Sound Vib. 2009, 323, 67–92. [Google Scholar] [CrossRef]
- Shin, Y.H.; Kim, K.J. Performance enhancement of pneumatic vibration isolation tables in low frequency range by time delay control. J. Sound Vib. 2009, 321, 537–553. [Google Scholar] [CrossRef]
- Shin, Y.H.; Kim, K.J.; Chang, P.H.; Han, D.K. Three Degrees of Freedom Active Control of Pneumatic Vibration Isolation Table by Pneumatic and Time Delay Control Technique. J. Vib. Acoust. 2010, 132, 051013. [Google Scholar] [CrossRef]
- Hibbitt, Karlsson & Sorensen. ABAQUS Theory Manual; Hibbitt, Karlsson & Sorensen, Inc.: State College, PA, USA, 1997. [Google Scholar]
- Nashif, A.D.; Jones, D.I.G.; Henderson, J.P. Vibration Damping; John Wiley & Sons, Inc.: New York, NY, USA, 1986. [Google Scholar]
- Mooney, M. A theory of large elastic deformation. J. Appl. Phys. 1940, 11, 582–592. [Google Scholar] [CrossRef]
- Rivlin, R.S. Large elastic deformations of isotropic materials IV. Further developments of the general theory. Philos. Trans. R. Soc. Lond. A 1948, 241, 379–397. [Google Scholar]













| Xp [mm] | 0.05 | 0.07 | 0.09 | 0.15 | 0.30 | 0.50 |
|---|---|---|---|---|---|---|
| εd | 1.3 × 10−5 | 1.8 × 10−5 | 2.4 × 10−5 | 4.0 × 10−5 | 8.1 × 10−5 | 14.1 × 10−5 |
| Symbol | Name | Value | |
|---|---|---|---|
| κ | Specific heat ratio of air | 1.4 | |
| p0 | Supplied pressure | 4.93 × 105 | [Pa] |
| V0 | Chamber volume | 8.1 × 10−4 | [m3] |
| Ap | Effective piston area | 5.3 × 10−3 | [m2] |
| ks(=κp0A2p/V0) | Stiffness of air | 23 | [kN/m] |
| Dynamic Amplitude | 0.05 mm | 0.07 mm | 0.09 mm | 0.15 mm | 0.3 mm | 0.5 mm | Average | |
|---|---|---|---|---|---|---|---|---|
| Real Part | MAE | 8.4% | 7.2% | 4.4% | 9.0% | 17.8% | 26.7% | 12.3% |
| RMSE | 9.3% | 7.7% | 4.8% | 9.4% | 18.3% | 27.3% | 14.9% | |
| Loss Factor | MAE | 39.5% | 32.7% | 34.1% | 32.8% | 28.7% | 21.3% | 31.5% |
| RMSE | 39.8% | 33.4% | 34.7% | 33.6% | 29.7% | 23.0% | 32.8% | |
Publisher’s Note: MDPI stays neutral with regard to jurisdictional claims in published maps and institutional affiliations. |
© 2020 by the authors. Licensee MDPI, Basel, Switzerland. This article is an open access article distributed under the terms and conditions of the Creative Commons Attribution (CC BY) license (http://creativecommons.org/licenses/by/4.0/).
Share and Cite
Shin, Y.-H.; Lee, J.-H. Estimation of the Complex Dynamic Stiffness of Inflated Rubber Diaphragms in Pneumatic Springs Using Finite Element Method. Sensors 2020, 20, 6728. https://doi.org/10.3390/s20236728
Shin Y-H, Lee J-H. Estimation of the Complex Dynamic Stiffness of Inflated Rubber Diaphragms in Pneumatic Springs Using Finite Element Method. Sensors. 2020; 20(23):6728. https://doi.org/10.3390/s20236728
Chicago/Turabian StyleShin, Yun-Ho, and Jeung-Hoon Lee. 2020. "Estimation of the Complex Dynamic Stiffness of Inflated Rubber Diaphragms in Pneumatic Springs Using Finite Element Method" Sensors 20, no. 23: 6728. https://doi.org/10.3390/s20236728
APA StyleShin, Y.-H., & Lee, J.-H. (2020). Estimation of the Complex Dynamic Stiffness of Inflated Rubber Diaphragms in Pneumatic Springs Using Finite Element Method. Sensors, 20(23), 6728. https://doi.org/10.3390/s20236728

