Effects of Brownfield Remediation on Total Gaseous Mercury Concentrations in an Urban Landscape
Abstract
1. Introduction
2. Materials and Methods
2.1. Site Description
2.2. Sampling Methods
2.2.1. Atmospheric Mercury
2.2.2. Mercury Flux Measurements
- F is mercury flux rate ();
- Cchamber is the TGM concentration of air inside the flux chamber ();
- Cambient is the TGM concentrations of ambient air ();
- Q is flow rate of flushing air (); and
- A is the area of soil exposed in the chamber (m2).
2.3. Quality Assurance/Quality Control
2.3.1. Automatic Calibration
2.3.2. Standard Addition
- Cmeasured is the actual mercury concentration detected by the 2537A analyzer ();
- Cbackground is the mercury concentration in ambient air ();
- Ctheory is the theoretical mercury concentration ().
2.3.3. Manual Injection
- Csaturation is the mercury saturation concentration at a given air temperature ();
- Cmeasured is the mercury concentration the 2537A analyzer detected ();
- Cbackground is the mercury concentration in ambient air ();
- Tmeasured is the time of sampling air measured by the 2537A analyzer (min);
- Vinjection is the volume of saturate mercury air injected in the sampling air flow (μL);
- Q is the flow rate of flushing air ();
2.4. Supporting Data
2.5. Data Analysis
3. Results
3.1. Overall and Seasonal Characteristics of TGM
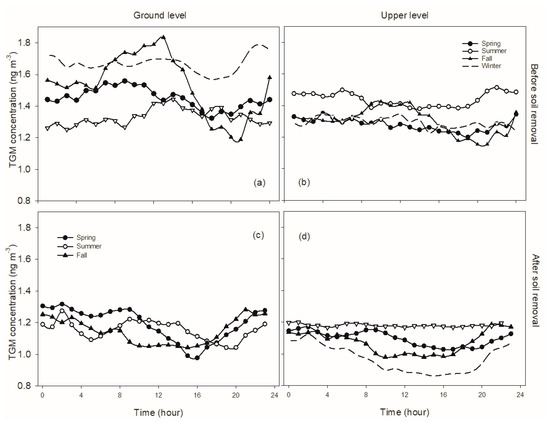
3.2. Diurnal Variation in Different Seasons
3.3. Relationships between TGM Concentrations and Meteorological Factors
3.4. Relationship of Mercury Evasion Flux with TGM Concentrations and Meteorological Factors
4. Discussion
4.1. Temporal and Spatial Variation in TGM Concentration
4.1.1. TGM Concentrations Prior to and after Brownfield Remediation
4.1.2. Concentration Differences between the Two Heights
4.1.3. Diurnal Variation in TGM Concentrations
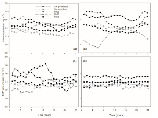
4.2. Comparison of TGM Variation at the CoE with Other Sites in NY State
4.3. Contributions to Technological Innovation
5. Conclusions
Author Contributions
Funding
Acknowledgments
Conflicts of Interest
References
- Gabriel, M.C.; Williamson, D.G.; Zhang, H.; Brooks, S.; Lindberg, S. Diurnal and seasonal trends in total gaseous mercury flux from three urban ground surfaces. Atmos. Environ. 2006, 40, 4269–4284. [Google Scholar] [CrossRef]
- Carpi, A.; Chen, Y.F. Gaseous elemental mercury fluxes in New York City. Water Air Soil Pollut. 2002, 140, 371–379. [Google Scholar] [CrossRef]
- Kim, K.-H.; Kim, M.-Y. Some insights into short-term variability of total gaseous mercury in urban air. Atmos. Environ. 2001, 35, 49–59. [Google Scholar] [CrossRef]
- Buckley, S.M.; Mitchell, M.J.; McHale, P.J.; Millard, G.D. Variations in carbon dioxide fluxes within a city landscape: Identifying a vehicular influence. Urban Ecosyst. 2014, 1–20. [Google Scholar] [CrossRef]
- Kim, K.; Shon, Z.; Nguyen, H.; Jung, K.; Park, C. The Effect of Man Made Source Processes on the Behavior of Total Gaseous Mercury in Air: A Comparison between Four Urban Monitoring Sites in Seoul Korea. Sci. Total Environ. 2011, 409, 3801–3811. [Google Scholar] [CrossRef] [PubMed]
- Lan, X.; Talbot, R.; Laine, P.; Lefer, B.; Flynn, J.; Torres, A. Seasonal and diurnal variations of total gaseous mercury in Urban Houston, TX, USA. Atmosphere 2014, 5, 399–419. [Google Scholar] [CrossRef]
- Zhu, J.; Wang, T.; Talbot, R.; Mao, H.; Hall, C.B.; Yang, X.; Huang, X. Characteristics of atmospheric Total Gaseous Mercury (TGM) observed in urban Nanjing, China. Atmos. Chem. Phys. 2012, 12, 12103–12118. [Google Scholar] [CrossRef]
- Blackwell, B.D.; Driscoll, C.T.; Maxwell, J.A.; Holsen, T.M. Changing climate alters inputs and pathways of mercury deposition to forested ecosystems. Biogeochemistry 2014, 119, 215–228. [Google Scholar] [CrossRef]
- Yang, Y.; Meng, L.; Yanai, R.D.; Montesdeoca, M.; Templer, P.H.; Asbjornsen, H.; Driscoll, C.T. Climate change may alter mercury fluxes in northern hardwood forests. Biogeochemistry 2019, 1. [Google Scholar] [CrossRef]
- Choi, H.-D.; Huang, J.; Mondal, S.; Holsen, T.M. Variation in concentrations of three mercury (Hg) forms at a rural and a suburban site in New York State. Sci. Total Environ. 2013, 448, 96–106. [Google Scholar] [CrossRef] [PubMed]
- Kellerhals, M.; Beauchamp, S.; Belzer, W.; Blanchard, P.; Froude, F.; Harvey, B.; Puckett, K. Temporal and spatial variability of total gaseous mercury in Canada: Results from the Canadian Atmospheric Mercury Measurement Network (CAMNet). Atmos. Environ. 2003, 37, 1003–1011. [Google Scholar] [CrossRef]
- Song, X.; Cheng, I.; Lu, J. Annual atmospheric mercury species in downtown Toronto, Canada. J. Environ. Monit. 2009, 11, 660–669. [Google Scholar] [CrossRef] [PubMed]
- Denis, M.S.; Song, X.; Lu, J.Y.; Feng, X. Atmospheric gaseous elemental mercury in downtown Toronto. Atmos. Environ. 2006, 40, 4016–4024. [Google Scholar] [CrossRef]
- Zhou, H.; Zhou, C.; Lynam, M.M.; Dvonch, J.T.; Barres, J.A.; Hopke, P.K.; Holsen, T.M. Atmospheric Mercury Temporal Trends in the Northeastern United States from 1992 to 2014: Are Measured Concentrations Responding to Decreasing Regional Emissions? Environ. Sci. Technol. Lett. 2017, 4, 91–97. [Google Scholar] [CrossRef]
- Mcgowan, K.; Mcgowan, K. Identification and Characterization of a Potential Crematorium Mercury Emission Source. Ph.D. Thesis, College of Environmental Science and Forestry, State University of New York, Syracuse, NY, USA, May 2017. [Google Scholar]
- Lan, X.; Talbot, R.; Castro, M.; Perry, K.; Luke, W. Seasonal and diurnal variations of atmospheric mercury across the US determined from AMNet monitoring data. Atmos. Chem. Phys. 2012, 12, 10569–10582. [Google Scholar] [CrossRef]








| NY06 | NY20 | NY95 | Syracuse Ground | Syracuse Upper | ||
|---|---|---|---|---|---|---|
| 2011–2012 | Overall | 1.6 ± 0.4 | 1.3 ± 0.3 | 1.4 ± 0.3 | 1.6 ± 0.6 | 1.4 ± 0.4 |
| Spring | 1.5 ± 0.3 | 1.5 ± 0.3 | 1.3 ± 0.2 | 1.5 ± 0.4 | 1.3 ± 0.3 | |
| Summer | 1.6 ± 0.4 | 1.2 ± 0.3 | 1.3 ± 0.2 | 1.8 ± 0.6 | 1.5 ± 0.3 | |
| Fall | 1.6 ± 0.6 | 1.2 ± 0.3 | 1.4 ± 0.5 | 1.7 ± 0.6 | 1.4 ± 0.5 | |
| Winter | 1.5 ± 0.3 | 1.3 ± 0.1 | 1.4 ± 0.2 | 1.4 ± 0.3 | 1.3 ± 0.3 | |
| 2015–2016 | Overall | 1.8 ± 0.3 | 1.2 ± 0.2 | 1.4 ± 0.2 | 1.1 ± 0.3 | 1.1 ± 0.2 |
| Spring | 1.8 ± 0.3 | 1.3 ± 0.1 | 1.4 ± 0.2 | 1.2 ± 0.2 | 1.1 ± 0.1 | |
| Summer | 1.8 ± 0.3 | 1.1 ± 0.2 | 1.4 ± 0.3 | 1.1 ± 0.3 | 1.0 ± 0.3 | |
| Fall | 1.7 ± 0.3 | 1.1 ± 0.2 | 1.3 ± 0.2 | 1.1 ± 0.3 | 1.0 ± 0.3 | |
| Winter | 1.8 ± 0.3 | 1.3 ± 0.1 | 1.3 ± 0.2 | 1.2 ± 0.1 |
© 2020 by the authors. Licensee MDPI, Basel, Switzerland. This article is an open access article distributed under the terms and conditions of the Creative Commons Attribution (CC BY) license (http://creativecommons.org/licenses/by/4.0/).
Share and Cite
Meng, L.; T. Driscoll, C.; Montesdeoca, M.; Mao, H. Effects of Brownfield Remediation on Total Gaseous Mercury Concentrations in an Urban Landscape. Sensors 2020, 20, 387. https://doi.org/10.3390/s20020387
Meng L, T. Driscoll C, Montesdeoca M, Mao H. Effects of Brownfield Remediation on Total Gaseous Mercury Concentrations in an Urban Landscape. Sensors. 2020; 20(2):387. https://doi.org/10.3390/s20020387
Chicago/Turabian StyleMeng, Linghui, Charles T. Driscoll, Mario Montesdeoca, and Huiting Mao. 2020. "Effects of Brownfield Remediation on Total Gaseous Mercury Concentrations in an Urban Landscape" Sensors 20, no. 2: 387. https://doi.org/10.3390/s20020387
APA StyleMeng, L., T. Driscoll, C., Montesdeoca, M., & Mao, H. (2020). Effects of Brownfield Remediation on Total Gaseous Mercury Concentrations in an Urban Landscape. Sensors, 20(2), 387. https://doi.org/10.3390/s20020387

