Geometrical Synthesis of Sparse Antenna Arrays Using Compressive Sensing for 5G IoT Applications
Abstract
1. Introduction
2. Problem Formulation
3. Synthesis Method
4. Results and Discussion
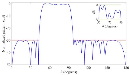
4.1. First Example
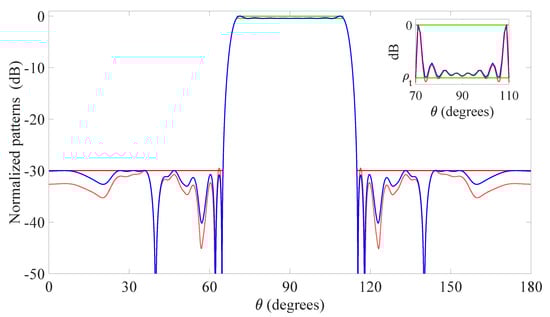
4.2. Second Example
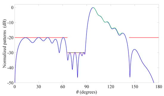
4.3. Third Example
4.4. Fourth Example
4.5. Fifth Example
5. Conclusions
Author Contributions
Funding
Conflicts of Interest
Abbreviations
| IoT | Internet of Things |
| CS | Compressive Sensing |
| MBR | Main Beam Region |
| SLR | SideLobe Region |
| NR | Null Region |
| SOCP | Second-Order Cone Program |
| BS | Base Station |
| AP | Access Point |
References
- Hansen, R.C. Phased Array Antennas; Wiley: Hoboken, NJ, USA, 2009; p. 547. [Google Scholar]
- Haupt, R.L. Antenna Arrays: A Computational Approach; Wiley-IEEE Press: Hoboken, NJ, USA, 2010; p. 534. [Google Scholar]
- Siragusa, R.; Lemaitre-Auger, P.; Tedjini, S. Tunable near-field focused circular phase-array antenna for 5.8-GHz RFID applications. IEEE Antennas Wirel. Propag. Lett. 2011, 10, 33–36. [Google Scholar] [CrossRef]
- Chou, H.; Hung, K.; Chou, H. Design of periodic antenna arrays with the excitation phases synthesized for optimum near-field patterns via steepest descent method. IEEE Trans. Antennas Propag. 2011, 59, 4342–4345. [Google Scholar] [CrossRef]
- Ettorre, M.; Casaletti, M.; Valerio, G.; Sauleau, R.; Le Coq, L.; Pavone, S.C.; Albani, M. On the near-field shaping and focusing capability of a radial line slot array. IEEE Trans. Antennas Propag. 2014, 62, 1991–1999. [Google Scholar] [CrossRef]
- González-Ayestarán, R.; Álvarez, J.; Las-Heras, F. Design of non-uniform antenna arrays for improved near-field multifocusing. Sensors 2019, 19, 645. [Google Scholar] [CrossRef]
- Liu, F.; Zhang, Z.; Chen, W.; Feng, Z.; Iskander, M.F. An endfire beam-switchable antenna array used in vehicular environment. IEEE Antennas Wirel. Propag. Lett. 2010, 9, 195–198. [Google Scholar] [CrossRef]
- Maddio, S.; Cidronali, A.; Palonghi, A.; Manes, G. A reconfigurable leakage canceler at 5.8 GHz for DSRC applications. In Proceedings of the 2013 IEEE MTT-S International Microwave Symposium Digest (MTT), Seattle, WA, USA, 2–7 June 2013. [Google Scholar]
- Varum, T.; Matos, J.N.; Pinho, P.; Abreu, R. Nonuniform broadband circularly polarized antenna array for vehicular communications. IEEE Trans. Veh. Technol. 2016, 65, 7219–7227. [Google Scholar] [CrossRef]
- Liou, C.Y.; Mao, S.G.; Chiang, T.C.; Tsai, C.T. Compact and low-profile conical antenna for automotive DSRC application. In Proceedings of the 2016 IEEE International Symposium on Antennas and Propagation (APSURSI), Puerto Rico, 26 June–1 July 2016. [Google Scholar]
- Varum, T.; Matos, J.; Pinho, P. Non-uniform microstrip antenna array for DSRC in single-lane structures. Sensors 2016, 16, 2101. [Google Scholar] [CrossRef]
- Hu, W.; Wen, G.; Inserra, D.; Huang, Y.; Li, J.; Chen, Z. A circularly polarized antenna array with gain enhancement for long-range UHF RFID systems. Electronics 2019, 8, 400. [Google Scholar] [CrossRef]
- Lier, E.; Cherrette, A. An intermodulation suppression technique for transmit active phased array satellite antennas with multiple shaped beams. IEEE Trans. Antennas Propag. 2005, 53, 1853–1858. [Google Scholar] [CrossRef]
- Gonzalez, J.M.F.; Padilla, P.; Exposito-Dominguez, G.; Sierra-Castaner, M. Lightweight portable planar slot array antenna for satellite communications in X-Band. IEEE Antennas Wirel. Propag. Lett. 2011, 10, 1409–1412. [Google Scholar] [CrossRef]
- Kapusuz, K.Y.; Sen, Y.; Bulut, M.; Karadede, I.; Oguz, U. Low-profile scalable phased array antenna at Ku-band for mobile satellite communications. In Proceedings of the 2016 IEEE International Symposium on Phased Array Systems and Technology (PAST), Waltham, MA, USA, 18–21 October 2016. [Google Scholar]
- Buttazzoni, G.; Comisso, M.; Cuttin, A.; Fragiacomo, M.; Vescovo, R.; Vincenti Gatti, R. Reconfigurable phased antenna array for extending cubesat operations to Ka-band: Design and feasibility. Acta Astronaut. 2017, 137, 114–121. [Google Scholar] [CrossRef]
- Losito, O.; Portosi, V.; Venanzoni, G.; Bigelli, F.; Mencarelli, D.; Scalmati, P.; Renghini, C.; Carta, P.; Prudenzano, F. Feasibility investigation of SIW cavity-backed patch antenna array for Ku band applications. Appl. Sci. 2019, 9, 1271. [Google Scholar] [CrossRef]
- Syrytsin, I.; Zhang, S.; Pedersen, G.F.; Morris, A.S. Compact quad-mode planar phased array with wideband for 5G mobile terminals. IEEE Trans. Antennas Propag. 2018, 66, 4648–4657. [Google Scholar] [CrossRef]
- Khalily, M.; Tafazolli, R.; Xiao, P.; Kishk, A.A. Broadband mm-Wave microstrip array antenna with improved radiation characteristics for different 5G applications. IEEE Trans. Antennas Propag. 2018, 66, 4641–4647. [Google Scholar] [CrossRef]
- Mao, C.X.; Khalily, M.; Xiao, P.; Brown, T.W.C.; Gao, S. Planar sub-millimeter-wave array antenna with enhanced gain and reduced sidelobes for 5G broadcast applications. IEEE Trans. Antennas Propag. 2019, 67, 160–168. [Google Scholar] [CrossRef]
- Comisso, M.; Palese, G.; Babich, F.; Vatta, F.; Buttazzoni, G. 3D multi-beam and null synthesis by phase-only control for 5G antenna arrays. Electronics 2019, 8, 656. [Google Scholar] [CrossRef]
- Rowell, C.; Han, S. Practical large scale antenna systems for 5G cellular networks. In Proceedings of the 2015 IEEE International Wireless Symposium (IWS 2015), Shenzhen, China, 30 March–1 April 2015. [Google Scholar]
- Unz, H. Linear Arrays with arbitrarily distributed elements. IRE Trans. Antennas Propag. 1960, 8, 222–223. [Google Scholar] [CrossRef]
- Harrington, R. Sidelobe reduction by nonuniform element spacing. IRE Trans. Antennas Propag. 1961, 9, 187–192. [Google Scholar] [CrossRef]
- Ishimaru, A. Theory of unequally-spaced arrays. IRE Trans. Antennas Propag. 1962, 10, 691–702. [Google Scholar] [CrossRef]
- Maffett, A. Array factors with nonuniform spacing parameter. IRE Trans. Antennas Propag. 1962, 10, 131–136. [Google Scholar] [CrossRef]
- Willey, R. Space tapaering of linear and planar arrays. IRE Trans. Antennas Propag. 1962, 10, 369–377. [Google Scholar] [CrossRef]
- Chen, K.; Yun, X.; He, Z.; Han, C. Synthesis of sparse planar arrays using modified real genetic algorithm. IEEE Trans. Antennas Propag. 2007, 55, 1067–1073. [Google Scholar] [CrossRef]
- Deparateanu, D.; Enache, F.; Enache, A.; Popescu, F.; Nicolaescu, I. Sparse array antenna optimization using genetic alghoritms. In Proceedings of the 2016 8th International Conference on Electronics, Computers and Artificial Intelligence (ECAI), Ploiesti, Romania, 30 June–2 July 2016. [Google Scholar]
- Khodier, M.; Christodoulou, C. Linear array geometry synthesis with minimum sidelobe level and null control using particle swarm optimization. IEEE Trans. Antennas Propag. 2005, 53, 2674–2679. [Google Scholar] [CrossRef]
- Panduro, M.A.; Reyna, A.; Covarrubias, D.H. Non-uniform concentric rings design for ultra-wideband arrays. Sensors 2019, 19, 2262. [Google Scholar] [CrossRef] [PubMed]
- Rajo-Iglesias, E.; Quevedo-Teruel, O. Linear array synthesis using an ant-colony-optimization-based algorithm. IEEE Antennas Propag. Mag. 2007, 49, 70–79. [Google Scholar] [CrossRef]
- Mirjalili, S.; Lewis, A. The whale optimization algorithm. Adv. Eng. Softw. 2016, 95, 51–67. [Google Scholar] [CrossRef]
- Deotale, N.; Kolekar, U.; Kondelwar, A. Grey wolf optimization based transmit antenna selection for LTE system. In Proceedings of the 2017 International Conference on Wireless Communications, Signal Processing and Networking (WiSPNET), Chennai, India, 22–24 March 2017. [Google Scholar]
- Liu, Y.; Nie, Z.; Liu, Q.H. Reducing the number of elements in a linear antenna array by the matrix pencil method. IEEE Trans. Antennas Propag. 2008, 56, 2955–2962. [Google Scholar] [CrossRef]
- Liu, Y.; Nie, Z.P.; Liu, Q.H. A new method for the synthesis of non-uniform linear arrays with shaped power patterns. Prog. Electromagn. Res. 2010, 107, 349–363. [Google Scholar] [CrossRef]
- Araque Quijano, J.L.; Vecchi, G.; Sabbadini, M. Sparse array synthesis via alternating projections and iterative field synthesis orthogonalization. In Proceedings of the 5th European Conference on Antennas and Propagation (EUCAP), Rome, Italy, 11–15 April 2011. [Google Scholar]
- Buttazzoni, G.; Babich, F.; Vatta, F.; Comisso, M. Low-complexity phase-only scanning by aperiodic antenna arrays. IEEE Antennas Wirel. Propag. Lett. 2019, 18, 966–970. [Google Scholar] [CrossRef]
- Nai, S.E.; Ser, W.; Yu, Z.L.; Chen, H. Beampattern synthesis for linear and planar arrays with antenna selection by convex optimization. IEEE Trans. Antennas Propag. 2010, 58, 3923–3930. [Google Scholar] [CrossRef]
- Fuchs, B. Synthesis of sparse arrays with focused or shaped beampattern via sequential convex optimizations. IEEE Trans. Antennas Propag. 2012, 60, 3499–3503. [Google Scholar] [CrossRef]
- Morabito, A.; Laganà, A.; Sorbello, G.; Isernia, T. Mask-constrained power synthesis of maximally sparse linear arrays through a compressive-sensing-driven strategy. J. Electromagn. Waves Appl. 2015, 29, 1384–1396. [Google Scholar] [CrossRef]
- Khosravi, M.; Fakharzadeh, M.; Bastani, M.H. Large array null steering using compressed sensing. IEEE Signal Process. Lett. 2016, 23, 1032–1036. [Google Scholar] [CrossRef]
- Abbasi, M.A.B.; Fusco, V.; Zelenchuk, D.E. Compressive sensing multiplicative antenna array. IEEE Trans. Antennas Propag. 2018, 66, 5918–5925. [Google Scholar] [CrossRef]
- Candes, E.; Romberg, J.; Tao, T. Robust uncertainty principles: exact signal reconstruction from highly incomplete frequency information. IEEE Trans. Inf. Theory 2006, 52, 489–509. [Google Scholar] [CrossRef]
- Massa, A.; Rocca, P.; Oliveri, G. Compressive sensing in electromagnetics—A review. IEEE Antennas Propag. Mag. 2015, 57, 224–238. [Google Scholar] [CrossRef]
- Candès, E.J.; Wakin, M.B.; Boyd, S.P. Enhancing sparsity by reweighted L1 minimization. J. Fourier Anal. Appl. 2008, 14, 877–905. [Google Scholar] [CrossRef]
- CVX: Matlab Software for Disciplined Convex Programming; Version 2.1; CVX Research, Inc.: Austin, TX, USA, 2018.
- Ciccia, S.; Giordanengo, G.; Vecchi, G. Energy efficiency in IoT networks: Integration of reconfigurable antennas in ultra low-power radio platforms based on system-on-chip. IEEE Internet Things J. 2019, 6, 6800–6810. [Google Scholar] [CrossRef]
- Wang, F.; Balakrishnan, V.; Zhou, P.; Chen, J.; Yang, R.; Frank, C. Optimal array pattern synthesis using semidefinite programming. IEEE Trans. Signal Process. 2003, 51, 1172–1183. [Google Scholar] [CrossRef]
- Shi, Z.; Feng, Z. A new array pattern synthesis algorithm using the two-step least-squares method. IEEE Signal Process. Lett. 2005, 12, 250–253. [Google Scholar] [CrossRef]
- Elliott, R.; Stern, G. A new technique for shaped beam synthesis of equispaced arrays. IEEE Trans. Antennas Propag. 1984, 32, 1129–1133. [Google Scholar] [CrossRef]
- Sacchi, C.; Rahman, T.F.; Bartolomei, N.; Morosi, S.; Mazzinghi, A.; Ciabini, F. Design and assessment of a CE-OFDM-based mm-Wave 5G communication system. In Proceedings of the 2016 IEEE Globecom Workshops (GC Wkshps), Washington, DC, USA, 4–8 December 2016. [Google Scholar]
- Puskely, J.; Aslan, Y.; Roederer, A.; Yarovoy, A. SIW based antenna array with power equalization in elevation plane for 5G base stations. In Proceedings of the 12th European Conference on Antennas and Propagation (EuCAP 2018), London, UK, 9–13 April 2018. [Google Scholar]
- Babich, F.; Comisso, M.; Dorni, A. Multi-packet communication in 802.11 networks: A MAC/PHY backward compatible solution. In Proceedings of the 2011 IEEE Global Telecommunications Conference - GLOBECOM 2011, Kathmandu, Nepal, 5–9 December 2011. [Google Scholar]
- Jilani, S.F.; Alomainy, A. A multiband millimeter-wave 2-D array based on enhanced Franklin antenna for 5G wireless systems. IEEE Antennas Wirel. Propag. Lett. 2017, 16, 2983–2986. [Google Scholar] [CrossRef]
- Diawuo, H.A.; Jung, Y.B. Broadband proximity-coupled microstrip planar antenna array for 5G cellular applications. IEEE Antennas Wirel. Propag. Lett. 2018, 17, 1286–1290. [Google Scholar] [CrossRef]
- Martinez-Vazquez, M.; Baggen, R.; Leis, J.; Kakoyiannis, C. Ka-band antenna array for agile frontends. In Proceedings of the 2018 18th International Symposium on Antenna Technology and Applied Electromagnetics (ANTEM), Waterloo, ON, Canada, 19–22 August 2018. [Google Scholar]
- Barati, C.N.; Hosseini, S.A.; Mezzavilla, M.; Korakis, T.; Panwar, S.S.; Rangaan, S.; Zorzi, M. Initial access millimeter wave cellular systems. IEEE Trans. Wireless Commun. 2016, 15, 7926–7940. [Google Scholar] [CrossRef]
- Burtowy, M.; Rzymowski, M.; Kulas, L. Low-profile ESPAR antenna for RSS-based DoA estimation in IoT applications. IEEE Access 2019, 7, 17403–17411. [Google Scholar] [CrossRef]
- BniLam, N.; Steckel, J.; Weyn, M. Synchronization of multiple independent subarray antennas: An application for angle of arrival estimation. IEEE Trans. Antennas Propag. 2019, 67, 1223–1232. [Google Scholar] [CrossRef]
- Buttazzoni, G.; Vescovo, R. Synthesis of co-polar and cross-polar patterns with dynamic range ratio reduction for phase-only reconfigurable arrays. In Proceedings of the 2012 6th European Conference on Antennas and Propagation (EUCAP), Prague, Czech Republic, 26–30 March 2012. [Google Scholar]
- Fuchs, B.; Skrivervik, A.; Mosig, J.R. Shaped beam synthesis of arrays via sequential convex optimizations. IEEE Antennas Wirel. Propag. Lett. 2013, 12, 1049–1052. [Google Scholar] [CrossRef]
- Fuchs, B. Application of convex relaxation to array synthesis problems. IEEE Trans. Antennas Propag. 2014, 62, 634–640. [Google Scholar] [CrossRef]
- Comisso, M.; Buttazzoni, G.; Vescovo, R. Reconfigurable antenna arrays with multiple requirements: A versatile 3D approach. Int. J. Antennas Propag. 2017, 2017, 6752108. [Google Scholar] [CrossRef]







Step 1 | Problem specifications (i) Initial set of candidate positions (); (ii) Upper and lower bounds of the mask; (iii) MBR, SLR, and NR; |
Step 2 | Initializations (i) Iteration ; (ii) Excitations (). |
Step 3 | Updates (i) Iteration ; (ii) Current pattern using (1); (iii) Weights () using (5); |
Step 4 | Evaluation Solve the SOCP problem given by (8a)–(8c). |
Step 5 | Stop condition If and identifies the elements of the final sparse array and their excitations; Exit else Go to Step 3 end |
| n | n | n | ||||||
|---|---|---|---|---|---|---|---|---|
| 1 | −9.74 | −0.0020 | 7 | −1.97 | −0.2027 | 14 | 3.25 | 0.1189 |
| 2 | −8.48 | 0.0283 | 8 | −0.65 | 0.1223 | 15 | 4.58 | −0.0862 |
| 3 | −7.18 | −0.0349 | 9 | −0.64 | 0.5128 | 16 | 5.87 | 0.0540 |
| 4 | −5.87 | 0.0570 | 11 | 0.64 | 0.4826 | 17 | 7.18 | −0.0399 |
| 5 | −4.58 | −0.0748 | 12 | 0.65 | 0.1515 | 18 | 8.48 | 0.0186 |
| 6 | −3.25 | 0.1252 | 13 | 1.97 | −0.2138 | 19 | 9.74 | −0.0172 |
| n | n | n | ||||||
|---|---|---|---|---|---|---|---|---|
| 1 | −7.33 | (0.0510, −77.4970) | 7 | −2.25 | (0.1816, 110.4115) | 13 | 1.92 | (0.2459, −22.6474) |
| 2 | −6.01 | (0.0065, −34.0712) | 8 | −1.92 | (0.2638, 11.3857) | 14 | 2.25 | (0.1407, −120.9294) |
| 3 | −4.93 | (0.1053, 50.8963) | 9 | −0.73 | (0.5726, 101.9257) | 15 | 3.24 | (0.1420, 29.7340) |
| 4 | −4.58 | (0.1075, −46.5715) | 10 | −0.27 | (1.0000, 28.4632) | 16 | 3.56 | (0.1400, −78.2697) |
| 5 | −3.56 | (0.0257, 65.7662) | 11 | 0.27 | (0.9706, −24.9160) | 17 | 6.01 | (0.1090, 67.4450) |
| 6 | −3.24 | (0.0771, 7.0465) | 12 | 0.73 | (0.5570, −97.4171) | 18 | 6.32 | (0.1081, −58.2957) |
| n | n | n | ||||||
|---|---|---|---|---|---|---|---|---|
| 1 | −3.72 | (0.5171, 15.4295) | 5 | −1.50 | (0.7644, −149.0791) | 9 | 1.38 | (0.1902, −31.2221) |
| 2 | −3.01 | (1.0000, 100.9695) | 6 | −0.70 | (0.6749, −113.2490) | 10 | 2.12 | (0.2963, −8.6059) |
| 3 | −2.53 | (0.0721, 156.1117) | 7 | 0.14 | (0.4836, −77.9490) | 11 | 2.93 | (0.1309, 3.5823) |
| 4 | −2.29 | (0.9066, 171.0874) | 8 | 0.83 | (0.3659, −55.6914) | 12 | 3.75 | (0.2083, 72.6957) |
| n | n | n | n | n | n | ||||||
|---|---|---|---|---|---|---|---|---|---|---|---|
| 1 | −0.7703 | 11 | 3.9079 | 21 | 9.2605 | 31 | 4.3223 | 41 | 4.2946 | 51 | 3.1712 |
| 2 | −0.7830 | 12 | 4.1300 | 22 | 8.3720 | 32 | 1.1883 | 42 | 1.5319 | 52 | −0.6131 |
| 3 | −1.1008 | 13 | −1.1552 | 23 | 2.6786 | 33 | −0.7428 | 43 | 4.2036 | 53 | −0.5462 |
| 4 | −0.9977 | 14 | 4.2489 | 24 | −0.6591 | 34 | 3.9587 | 44 | −1.0944 | 54 | 0.2170 |
| 5 | −1.0158 | 15 | 4.1157 | 25 | 2.8896 | 35 | 5.2375 | 45 | 0.9100 | 55 | −1.0237 |
| 6 | −0.6747 | 16 | −1.0884 | 26 | 2.1762 | 36 | 6.5611 | 46 | 3.5755 | 56 | −1.1029 |
| 7 | −0.4380 | 17 | 0.7129 | 27 | 3.1437 | 37 | 3.9997 | 47 | 3.0698 | 57 | −0.3591 |
| 8 | −0.5442 | 18 | 1.4489 | 28 | −0.9362 | 38 | −0.2134 | 48 | 1.0584 | 58 | −1.0865 |
| 9 | −0.9632 | 19 | −0.7999 | 29 | 0.7927 | 39 | 9.3600 | 49 | −0.9486 | 59 | −1.5257 |
| 10 | −1.0186 | 20 | 3.6794 | 30 | 7.0626 | 40 | −0.1826 | 50 | 2.8547 | 60 | −1.3586 |
| n | n | n | n | n | n | ||||||
|---|---|---|---|---|---|---|---|---|---|---|---|
| 1 | −0.4287 | 12 | 2.5582 | 23 | 1.6233 | 34 | 2.8681 | 45 | 1.1385 | 56 | 1.6511 |
| 2 | −0.8324 | 13 | 2.3506 | 24 | 2.0073 | 35 | 0.8899 | 46 | 1.3016 | 57 | 1.7920 |
| 3 | −1.3767 | 14 | 1.6307 | 25 | 2.3949 | 36 | 2.1484 | 47 | 2.2395 | 58 | 2.1606 |
| 4 | 0.5247 | 15 | 1.0195 | 26 | 1.5068 | 37 | 1.4631 | 48 | 2.3995 | 59 | 1.5831 |
| 5 | 0.7506 | 16 | 2.4243 | 27 | 1.1951 | 38 | 1.5917 | 49 | 2.8561 | 60 | 2.6363 |
| 6 | 1.7065 | 17 | 1.4812 | 28 | 1.9673 | 39 | 0.7089 | 50 | 1.1195 | 61 | 1.3877 |
| 7 | 2.0100 | 18 | 1.5143 | 29 | 2.4747 | 40 | 0.4596 | 51 | 1.4155 | 62 | 1.1193 |
| 8 | 1.6065 | 19 | 2.4225 | 30 | 2.6175 | 41 | 2.3680 | 52 | 1.2087 | ||
| 9 | 2.1001 | 20 | 0.5591 | 31 | 1.9543 | 42 | 1.0167 | 53 | 1.7925 | ||
| 10 | 1.3948 | 21 | 1.1460 | 32 | 3.0988 | 43 | 1.7411 | 54 | 1.6238 | ||
| 11 | 2.0795 | 22 | 2.2760 | 33 | 2.6850 | 44 | 1.1867 | 55 | 1.6902 |
© 2020 by the authors. Licensee MDPI, Basel, Switzerland. This article is an open access article distributed under the terms and conditions of the Creative Commons Attribution (CC BY) license (http://creativecommons.org/licenses/by/4.0/).
Share and Cite
Buttazzoni, G.; Babich, F.; Vatta, F.; Comisso, M. Geometrical Synthesis of Sparse Antenna Arrays Using Compressive Sensing for 5G IoT Applications. Sensors 2020, 20, 350. https://doi.org/10.3390/s20020350
Buttazzoni G, Babich F, Vatta F, Comisso M. Geometrical Synthesis of Sparse Antenna Arrays Using Compressive Sensing for 5G IoT Applications. Sensors. 2020; 20(2):350. https://doi.org/10.3390/s20020350
Chicago/Turabian StyleButtazzoni, Giulia, Fulvio Babich, Francesca Vatta, and Massimiliano Comisso. 2020. "Geometrical Synthesis of Sparse Antenna Arrays Using Compressive Sensing for 5G IoT Applications" Sensors 20, no. 2: 350. https://doi.org/10.3390/s20020350
APA StyleButtazzoni, G., Babich, F., Vatta, F., & Comisso, M. (2020). Geometrical Synthesis of Sparse Antenna Arrays Using Compressive Sensing for 5G IoT Applications. Sensors, 20(2), 350. https://doi.org/10.3390/s20020350

