Comprehensive Evaluation on Space Information Network Demonstration Platform Based on Tracking and Data Relay Satellite System
Abstract
1. Introduction
2. Current Works
2.1. Index System Research
2.2. Evaluation Method Research
3. Construction of Comprehensive Index System
3.1. Investigation, Screening, and Classification of Initial Indicator Sets
3.1.1. Investigation of the Initial Indicator Set
3.1.2. Establishing Indicator Classification Criteria
- Real-time transmission and rapid response-described by time-domain related indicators.
- High-efficiency and large-capacity-described by frequency-domain and data quality-related indicators.
- Reliability and stability-described by system security-related indicators.
- Airspace and service coverage-described by antenna coverage performance related indicators.
- The measurement requirements required for the demonstration test-described by accurate measurement and simulation-fit related indicators.
3.1.3. Commonality Verification with Preliminary Mapping
- Simple screening of hundreds of initial indicators obtained from the survey, then removing indicators that are obviously not related to SIN.
- The selected indicators are then tabulated and distributed to experts for a single round of scoring. The specific score is the distance of a certain indicator compared to the five criteria.
- Using calculation software with system cluster analysis function (such as SPSS) to divide the preliminary selection indicators into several categories. The initial mapping of indicators and criteria is then completed according to the tree diagram after classification.
3.2. Establishment and Optimization of Hierarchical Structure
3.3. Decomposition and Optimization of Indicators
- The recognition of some indicators is relatively low (identification degree refers to the ability and effect of a statistical evaluation indicator in distinguishing the value characteristics of each evaluation unit in one aspect, so it is also called discrimination degree).
- There are qualitative indicators that are difficult to characterize numerically.
- There are redundant and overlapping indicators.
4. Consistency Enhancement Strategy of Ahp in Group Decision-Making
- The expert evaluation scoring input has a certain subjectivity, which could cause the unreliability of the initial input value of the judgment matrix.
- The discrete integer constraint of the traditional scaling mechanism will further amplify and diffuse the initial input error.
4.1. A Consistency Correction Strategy Based on Improved Eigenvector Method
| Algorithm 1: The algorithm pseudocode of improved method. |
| 1: |
| 2: |
| 3: |
| 4: |
| 5:
|
| 6: |
4.2. Optimization of Aggregation Coefficient Based on Hadamard Convex Combination
5. Comprehensive Evaluation Example and Numerical Simulation
- Establish the evaluation goals and build an evaluation model. To simplify the example, this paper only selects a single-level indicator element model.
- Select relevant element indicators from the comprehensive indicator system. First, enumerate the element-level indicators related to the relay satellite system in the comprehensive indicator system, including network delay (c1), channel support capability (c2), network capacity (c3), resource management and control capability (c4), constellation coverage capability (c5), interconnectivity and interoperability (c6), and platform accuracy (c7).
- Input the expert group’s score for each indicator to construct a judgment matrix. We set the number of experts to four, and the corresponding expert judgment matrix is , k = 1 to 4, where each judgment matrix element
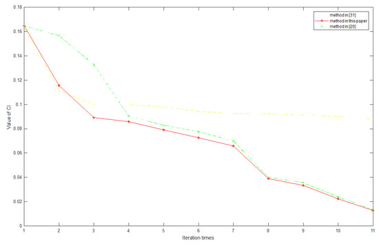
- In this step, the maximum real eigenvalue and consistency ratio will be calculated, and the numerical validation of consistency improvement strategy in Section 4.1 will be performed. If there is a matrix with a consistency ratio > 0.1, the consistency will be enhanced by the enhancement strategy proposed in Section 4.1. Taking the A3 matrix as an example, the method proposed in this paper is compared with the method in [20,31]. It can be seen that the method in this paper has a better initial value than the classic eigenvector method [20], which has a faster decline rate than the correction method based on confidence [31], and is not limited by the condition of the matrix element is incomplete. The comparison diagram is shown in Figure 6.Analysis of results: The consistency enhancement method previously proposed in [31] is essentially a one-step local algorithm. Its solution is to derive other elements of the judgment matrix by extracting local key information. However, after a certain maximum deviation element is corrected, the algorithm will be unable to continue to optimize due to lack of global information; as shown in the figure, the subsequent iteration process convergence rate is very slow. The method proposed in this paper is a dynamic global algorithm. The updated element output by the algorithm each time is the global information from the judgment matrix. As long as the current error element is updated and corrected, it means that the global information of the judgment matrix has changed. Therefore, the algorithm will not terminate until it reaches the convergence condition. At the same time, due to the a better initial value, the algorithm in this paper shows faster convergence speed than the classical eigenvector method.
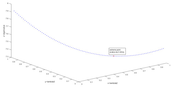
- Use the aggregation method of Section 4.2 to obtain a comprehensive judgment matrix, and finally obtain the weight of each index to form the next generation relay satellite system development proposal. Parameter setting before aggregation: expert authority coefficient , and = = 0.5; other parameters are shown in Table 3.The comprehensive judgment matrix would beAfter calculation, the maximum real eigenvalue = 7.2075. Then, is substituted into the CR calculation formula: ; random consistency index (RI) [34] is shown in Table 4.The calculated consistency ratio = 0.0258 < 0.1. Therefore, the Comprehensive judgment matrix meets the consistency conditions. The eigenvector of is the final index weight, which is W = [0.1846 0.4041 0.6359 0.2166 0.5333 0.2260 0.1262 . It can be seen that the network capacity(C3), constellation coverage capability(C5), and channel support capability(C2) are the three indicators that the group of experts are most concerned in this evaluation example.In addition, for comparison, we calculated the case where only expert weights are considered as aggregation coefficients. That is, , . It can be seen from the comparison that the comprehensive judgment matrix generated according to the aggregation coefficient proposed in Section 4.2 has achieved a better consistency ratio in this example. However, it should be pointed out here that the comprehensive judgment matrix obtained according to the AIJ aggregation order is a typical convex combination. Therefore, after aggregation, the maximum real eigenvalues of the comprehensive judgment matrix must satisfy . Therefore, the method proposed in this paper can make the comprehensive judgment matrix’s consistency stronger when the initial input matrix consistency is poor. When the consistency of the initial input matrix is good, this improvement will become less obvious (as in this example, both aggregation coefficients are acceptable and the difference is very small). In order to explain this conclusion more intuitively, the aggregation coefficients of A1 and A4 are set to 0.1, and the aggregation result is mapped from the 5-dimensional space to the 3-dimensional space. Figure 7 shows the eigenvalue’s trend of A2 and A3’s convex combination.The function value in this figure is ; eig represents a function to obtain the matrix eigenvalues. Obviously, there must be an optimal aggregation coefficient for the convex combination of multiple judgment matrices. The range of aggregation coefficients proposed in this paper: . From this, the aggregation coefficient according to the authority of the experts has a certain degree of uncertainty, which leads to a large fluctuation in the final consistency ratio(CR). Therefore, the aggregation coefficient with initial consistency factor proposed in this paper can decrease the floating of CR, thus increase the probability of obtaining a better solution.
- Calculate the effectiveness improvement ratio = ( = 0.4779. After calculation, the comprehensive effectiveness of the second-generation TDRS system is ~48% higher than that of the first-generation system under given conditions. The effectiveness comparison between iand iisystem is shown in Figure 8 and Table 5.Example Summary: This evaluation example is a typical multi-objective comprehensive evaluation process, which shows the complete application process of the group AHP consistency enhancement strategy proposed in this paper. Moreover, through numerical examples, it is proved that the strategy converges faster and has stronger consistency. At the same time, it also provides a model for comprehensive evaluation index system to evaluate the subsystem. In addition, the evaluation results also give the main improvement direction of TDRSS which is the backbone system of the space information network, and give an intuitive description of the performance gap between the two generation TDRSS.
6. Conclusions
Author Contributions
Funding
Acknowledgments
Conflicts of Interest
References
- Butler, D. Everything, everywhere. Nature 2006, 440, 402–405. [Google Scholar] [CrossRef] [PubMed]
- Li, D. On “Internet +” Space-based Information Service. J. Remote Sens. 2016, 20, 708–714. [Google Scholar]
- Li, D.R.; Shen, X.; Gong, J.Y.; Zhang, J.; Lu, J.H. On construction of china’s space information network. J. Wuhan Univ. (Nat. Sci. Ed.) 2015, 40, 711–715. (In Chinese) [Google Scholar]
- Yu, Q.Y.; Meng, W.X.; Yang, M.C.; Zheng, L.M.; Zhang, Z.Z. Virtual multi-beamforming for distributed satellite clusters in space information networks. IEEE Wirel. Commun. 2016, 23, 91–101. [Google Scholar] [CrossRef]
- Qu, Z.; Zhang, G.; Hong, T.; Cao, H.; Zhang, W. Architecture and Network Model of Time-Space Uninterrupted Space Information Network. IEEE Access 2019, 7, 27677–27688. [Google Scholar] [CrossRef]
- Sobchak, T.; Shinners, D.W.; Shaw, H. NASA Space Network Project Operations Management: Past, Present and Future for the Tracking and Data Relay Satellite Constellation. In Proceedings of the 2018 SpaceOps Conference, Marseille, France, 28 May–1 June 2018; p. 2358. [Google Scholar]
- Fan, D.; Qiu, M.; Xu, X.; Chen, M. Research on the Integration Demonstration System of Space Information Network Based on TDRSS. J. Phys. Conf. Ser. 2018, 1187, 052025. [Google Scholar] [CrossRef]
- Su, W. Research on the Theory and Methodology of Multi-Index Comprehensive Evaluation. Ph.D. Thesis, Xiamen University, Xiamen, China, 2000. (In Chinese). [Google Scholar]
- Canright, S.; Grabowski, B. Indicator Systems and Evaluation; NASA Technical Reports 19970006524; NASA: Houston, TX, USA, 1995.
- Shi, R.J.; Fan, X.C.; He, Y. Comprehensive evaluation index system for wind power utilization levels in wind farms in China. Renew. Sustain. Energy Rev. 2017, 69, 461–471. [Google Scholar] [CrossRef]
- Jia, N.; You, Y.; Lu, Y.; Guo, Y.; Yang, K. Research on the Search and Rescue System-of-Systems Capability Evaluation Index System Construction Method Based on Weighted Super network. IEEE Access 2019, 7, 97401–97425. [Google Scholar] [CrossRef]
- Yu, H.; Li, L.; Zhang, Z.; Jin, M. Screening of Effectiveness Evaluation Index and Construction of Network Index System of Command and Control System. In Proceedings of the 2019 IEEE 3rd Information Technology, Networking, Electronic and Automation Control Conference (ITNEC), Chengdu, China, 15–17 March 2019; pp. 417–424. [Google Scholar]
- Elhady, A.M. Remote sensing satellite system overall effectiveness analysis and modeling. In Proceedings of the Aerospace Conference, Big Sky, MT, USA, 1–8 March 2014. [Google Scholar]
- Li, H.; Li, D.; Li, Y. A multi-index assessment method for evaluating coverage effectiveness of remote sensing satellite. Chin. J. Aeronaut. 2018, 10, 98–108. [Google Scholar] [CrossRef]
- A Series Document of the IP Performance Metrics (IPPM)—6248/7312/7679/7680. Available online: https://datatracker.ietf.org/wg/ippm/documents/ (accessed on 21 September 2020).
- Yang, Y.; Li, X. Research on IP Network Performance Index System. J. Commun. Syst. 2003, 23, 2–7. [Google Scholar]
- Xie, T.; Xie, D.; Guo, C.; Gao, M. The Study on Effectiveness Evaluation Indicator System of Wireless Access System. In Proceedings of the International Conference on Robots and Intelligent System-IEEE Computer Society, Huai’an, China, 15–16 October 2017. [Google Scholar]
- Zhang, Z.; Bian, D.-M. Study on Performance Evaluation Method of Satellite Communication Network. Digit. Commun. World 2010, 3, 61–65. [Google Scholar]
- Harker, P.T. Derivatives of the Perron root of a positive reciprocal matrix: With application to the analytic hierarchy process. Appl. Math. Comput. 1987, 22, 217–232. [Google Scholar] [CrossRef]
- Saaty, T.L. Decision-making with the AHP: Why is the principal eigenvector necessary. Eur. J. Oper. Res. 2003, 145, 85–91. [Google Scholar] [CrossRef]
- Ergu, D.; Kou, G.; Peng, Y.; Zhang, M. Estimating the missing values for the incomplete decision matrix and consistency optimization in emergency management. Appl. Math. Model. 2016, 40, 254–267. [Google Scholar] [CrossRef]
- Aguarón, J.; Escobar, M.T.; Moreno-Jiménez, J.M. Reducing Inconsistency measured by the Geometric Consistency Index in the Analytic Hierarchy Process. Eur. J. Oper. Res. 2020, 288, 576–583. [Google Scholar] [CrossRef]
- Lin, C.; Kou, G.; Peng, Y.; Alsaadi, F.E. Aggregation of the nearest consistency matrices with the acceptable consensus in AHP-GDM. Eur. J. Oper. Res. 2020, 1–17. [Google Scholar] [CrossRef]
- Zhang, Z. Research on Evaluation Method for Credibility of Simulation System. Ph.D. Thesis, Harbin Institute of Technology, Harbin, China, 2014. [Google Scholar]
- Moreno-Jiménez, J.M.; Aguarón, J.; Escobar, M.T. The Core of Consistency in AHP-Group Decision Making. Group Decis. Negot. 2008, 17, 249–265. [Google Scholar] [CrossRef]
- Aguarón, J.; Escobar, M.T.; Moreno-Jiménez, J.M. The precise consistency consensus matrix in a local AHP-group decision making context. Ann. Oper. Res. 2016, 245, 245–259. [Google Scholar] [CrossRef]
- Aguarón, J.; Escobar, M.T.; Moreno-Jiménez, J.M.; Turón, A. AHP-Group Decision Making Based on Consistency. Mathematics 2019, 7, 242. [Google Scholar] [CrossRef]
- Janković, A.; Popović, M. Methods for assigning weights to decision makers in group AHP decision-making. Decis. Mak. Appl. Manag. Eng. 2019, 2, 147–165. [Google Scholar] [CrossRef]
- Wu, Z.; Jin, B.; Fujita, H.; Xu, J. Consensus analysis for AHP multiplicative preference relations based on consistency control: A heuristic approach. Knowl.-Based Syst. 2020, 191, 105317. [Google Scholar] [CrossRef]
- Joint Chiefs of Staff. Joint Publication 3-13: Information Operations; United States Department of Defense: Washington, DC, USA, 2006.
- Shi, D.; Liu, F.; Fei, L.; Nie, K. Comprehensive Evaluation of Space Information Network Simulation System Based on GEO Satellite. In Proceedings of the 2018 14th International Wireless Communications and Mobile Computing Conference (IWCMC), Limassol, Cyprus, 25–29 June 2018; pp. 1420–1424. [Google Scholar]
- Gass, S.I.; Standard, S.M. Characteristics of positive reciprocal matrices in the analytic hierarchy process. J. Oper. Res. Soc. 2002, 53, 1385–1389. [Google Scholar] [CrossRef]
- Saaty, T.L.; Tran, L.T. On the invalidity of fuzzifying numerical judgments in the Analytic Hierarchy Process. Math. Comput. Model. 2007, 46, 962–975. [Google Scholar] [CrossRef]
- Peláez, J.I.; Martínez, E.A.; Vargas, L.G. Consistency in Positive Reciprocal Matrices: An Improvement in Measurement Methods. IEEE Access 2018, 6, 25600–25609. [Google Scholar] [CrossRef]








| Type | Representative Indicator | Remark | |
|---|---|---|---|
| terrestrial network | Classic IP Network | Round-trip Delay, delay jitter, Packet Loss, network connectivity... | IETF:RFC2681 RFC2678 RFC3393 RFC7679 RFC7680 |
| Mobile communication network | Spectrum efficiency, peak rate, traffic density, mobility ... | ITU, IMT-2020’5g’ promotion group | |
| Space network | Measurement | coverage, Maximum service time .. | |
| Remote sensing | imaging quality, revisiting period ... | ||
| Navigation | Constellation coverage, signal accuracy, service continuity, reliability | international civil aviation organization Standard and Recommended Practices | |
| communication | Channel utilization, bit error rate, outage probability, coverage | ||
| Tracking & Data Relay | Plan resource utilization, application conflict rate, response time, coverage | ||
| Other system | Cyber space | Consumption, equipment occupancy, bandwidth, convenience, confidentiality, risk | Metrics for Cyber defenses (NASA) |
| Information Operation | Anti-jamming, anti-destructive, compatibility, soft/hard attack ability |
| Indicator | Calculation of Correlation Coefficient | ||||||
|---|---|---|---|---|---|---|---|
| Serial Number | Weight of Value | Measured Value (m Group) | Correlation Coefficient Matrix, R | ||||
| A | W | n | ... | n | r | ... | r |
| A | W | n | ... | n | r | ... | r |
| ... | ... | ... | ... | ... | ... | ... | ... |
| A | W | n | ... | n | r | ... | r |
| 7.6672 | 7.5153 | 7.9881 | 7.6284 | |
| 0.1112 | 0.0859 | 0.1647 | 0.1047 | |
| 0.2480 | 0.3211 | 0.1675 | 0.2633 | |
| 0.3077 | 0.2692 | 0.2308 | 0.1923 | |
| 0.2778 | 0.2952 | 0.1992 | 0.2278 |
| n | 3 | 4 | 5 | 6 | 7 | 8 | 9 |
|---|---|---|---|---|---|---|---|
| RI(n) | 0.52 | 0.88 | 1.11 | 1.25 | 1.34 | 1.40 | 1.48 |
| Relative Score | W:weight | ||
|---|---|---|---|
| :TDRSi | :TDRSii | ||
| C1 | 2 | 3 | 0.1846 |
| C2 | 3 | 5 | 0.4041 |
| C3 | 5 | 8 | 0.6359 |
| C4 | 3 | 4 | 0.2166 |
| C5 | 4 | 5 | 0.5333 |
| C6 | 2 | 3 | 0.2260 |
| C7 | 3 | 4 | 0.1262 |
© 2020 by the authors. Licensee MDPI, Basel, Switzerland. This article is an open access article distributed under the terms and conditions of the Creative Commons Attribution (CC BY) license (http://creativecommons.org/licenses/by/4.0/).
Share and Cite
Liu, F.; Shi, D.; Xiao, Y.; Zhang, T.; Sun, J. Comprehensive Evaluation on Space Information Network Demonstration Platform Based on Tracking and Data Relay Satellite System. Sensors 2020, 20, 5437. https://doi.org/10.3390/s20185437
Liu F, Shi D, Xiao Y, Zhang T, Sun J. Comprehensive Evaluation on Space Information Network Demonstration Platform Based on Tracking and Data Relay Satellite System. Sensors. 2020; 20(18):5437. https://doi.org/10.3390/s20185437
Chicago/Turabian StyleLiu, Feng, Dingyuan Shi, Yunlu Xiao, Tao Zhang, and Jie Sun. 2020. "Comprehensive Evaluation on Space Information Network Demonstration Platform Based on Tracking and Data Relay Satellite System" Sensors 20, no. 18: 5437. https://doi.org/10.3390/s20185437
APA StyleLiu, F., Shi, D., Xiao, Y., Zhang, T., & Sun, J. (2020). Comprehensive Evaluation on Space Information Network Demonstration Platform Based on Tracking and Data Relay Satellite System. Sensors, 20(18), 5437. https://doi.org/10.3390/s20185437

