Power Efficient Secure Full-Duplex SWIPT Using NOMA and D2D with Imperfect CSI
Abstract
1. Introduction
2. Network Model and Problem Formulation
2.1. Network Model
2.2. Problem Formulation
3. Solution of the Optimization Problem
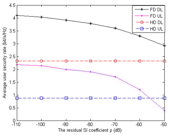
4. Simulation Results
4.1. Convergence of the Proposed Algorithm
4.2. Transmit PowerTrade-off Region
4.3. Average Power Consumption versus Transmit SNR
4.4. The Minimum Transmit Power in Different Situations
5. Conclusions
Author Contributions
Funding
Acknowledgments
Conflicts of Interest
Appendix A
References
- Leng, S.; Ng, D.W.K.; Zlatanov, N.; Schober, R. Multi-objective resource allocation in full-duplex SWIPT systems. In Proceedings of the 2016 IEEE International Conference on Communications (ICC), Kuala Lumpur, Malaysia, 23–27 May 2016; pp. 1–7. [Google Scholar]
- Hu, J.; Zhao, Y.; Yang, K. Modulation and Coding Design for Simultaneous Wireless Information and Power Transfer. IEEE Commun. Mag. 2019, 57, 124–130. [Google Scholar] [CrossRef]
- Zhang, J.; Tao, X.; Wu, H.; Zhang, X. Secure Transmission in SWIPT-Powered Two-Way Untrusted Relay Networks. IEEE Access 2018, 6, 10508–10519. [Google Scholar] [CrossRef]
- Xia, M.; Aissa, S. On the efficiency of far-field wireless power transfer. IEEE Trans. Signal Process. 2015, 63, 2835–2847. [Google Scholar] [CrossRef]
- Tran, H.; Kaddoum, G.; Abou-Rjeily, C. Collaborative RF and Lightwave Power Transfer for Next-Generation Wireless Networks. IEEE Commun. Mag. 2020, 58, 27–33. [Google Scholar] [CrossRef]
- Haci, H.; Zhu, H.; Wang, J. Performance of Non-orthogonal Multiple Access With a Novel Asynchronous Interference Cancellation Technique. IEEE Trans. Commun. 2017, 65, 1319–1335. [Google Scholar] [CrossRef]
- Dai, Y.; Sheng, M.; Zhao, K.; Liu, L.; Liu, J.; Li, J. Interference-aware resource allocation for D2D underlaid cellular network using SCMA: A hypergraph approach. In Proceedings of the 2016 IEEE Wireless Communications and Networking Conference, Doha, Qatar, 3–6 April 2016; pp. 1–6. [Google Scholar]
- Elshaer, H.; Vlachos, C.; Friderikos, V.; Dohler, M. Interference-Aware Decoupled Cell Association in Device-to-Device Based 5G Networks. In Proceedings of the 2016 IEEE 83rd Vehicular Technology Conference (VTC Spring), Nanjing, China, 15–18 May 2016; pp. 1–5. [Google Scholar]
- Chang, T.; Liu, Y.; Lin, S. Max-min-fairness linear transceiver design for full-duplex multiuser systems. In Proceedings of the 2017 IEEE 18th International Workshop on Signal Processing Advances in Wireless Communications (SPAWC), Sapporo, Japan, 3–6 July 2017; pp. 1–5. [Google Scholar]
- Sun, Y.; Ng, D.W.K.; Zhu, J.; Schober, R. Robust and Secure Resource Allocation for Full-Duplex MISO Multicarrier NOMA Systems. IEEE Trans. Commun. 2018, 66, 4119–4137. [Google Scholar] [CrossRef]
- Tiong, T. Robust Secure SWIPT MISO. In Proceedings of the 2019 7th International Conference on Smart Computing & Communications (ICSCC), Sarawak, Malaysia, 28–30 June 2019; pp. 1–5. [Google Scholar]
- Li, Q.; Ma, W.-K. Spatially selective artificial-noise aided transmit optimization for MISO multi-eves secrecy rate maximization. IEEE Trans. Signal Process. 2013, 61, 2704–2717. [Google Scholar] [CrossRef]
- Zhao, X.; Xiao, J.; Li, Q.; Zhang, Q.; Qin, J. Joint Optimization of AN-Aided Transmission and Power Splitting for MISO Secure Communications With SWIPT. IEEE Commun. Lett. 2015, 19, 1969–1972. [Google Scholar] [CrossRef]
- Roh, W.; Seol, J.Y.; Park, J.; Lee, B.; Lee, J.; Kim, Y.; Cho, J.; Cheun, K.; Aryanfar, F. Millimeter-wave beamforming as an enabling technology for 5G cellular communications: Theoretical feasibility and prototype results. IEEE Commun. Mag. 2014, 52, 106–113. [Google Scholar] [CrossRef]
- Sun, Y.; Ng, D.W.K.; Zhu, J.; Schober, R. Multi-Objective Optimization for Robust Power Efficient and Secure Full-Duplex Wireless Communication Systems. IEEE Trans. Wirel. Commun. 2016, 15, 5511–5526. [Google Scholar] [CrossRef]
- Pi, Z.; Khan, F. An introduction to millimeter-wave mobile broadband systems. IEEE Commun. Mag. 2011, 49, 101–107. [Google Scholar] [CrossRef]
- Zhou, F.; Chu, Z.; Sun, H.; Hu, R.Q.; Hanzo, L. Artificial Noise Aided Secure Cognitive Beamforming for Cooperative MISO-NOMA Using SWIPT. IEEE J. Sel. Areas Commun. 2018, 36, 918–931. [Google Scholar] [CrossRef]
- Ng, D.W.K.; Schober, R. Secure and Green SWIPT in Distributed Antenna Networks With Limited Backhaul Capacity. IEEE Trans. Wirel. Commun. 2015, 14, 5082–5097. [Google Scholar] [CrossRef]
- Bharadia, D.; McMilin, E.; Katti, S. Full duplex radios. In Proceedings of the ACM SIGCOMM, Hongkong, China, 12–16 August 2013; pp. 375–386. [Google Scholar]
- Bertsekas, D.P. Nonlinear Programming; Athena scientific Belmont: Belmont, MA, USA, 1999. [Google Scholar]
- Lee, B.G.; Park, D.; Seo, H. Mathematical Tools for Resource Management. In Wireless Communications Resource Management; IEEE: Piscataway, NJ, USA, 2009; pp. 73–106. [Google Scholar]







| Full Names | Abbreviations |
|---|---|
| full-duplex | FD |
| half-duplex | HD |
| simultaneous wireless information and power transfer | SWIPT |
| non-orthogonal multiple access | NOMA |
| orthogonal multiple access | OMA |
| device-to-device | D2D |
| channel state information | CSI |
| multi-objective optimization | MOO |
| linear matrix inequality | LMI |
| artificial noise | AN |
| energy harvesting | EH |
| uplink | UL |
| downlink | DL |
| quality of service | QoS |
| spectrum efficiency | SE |
| co-channel interference | CCI |
| self-interference | SI |
| semidefinite programming | SDP |
| positive semidefinite | PSD |
| D2D transmitter | DT |
| D2D receivers | DR |
| D2D user | DU |
| cellular users | CU |
| roaming user | RU |
| signal-to-interference-plus-noise ratio | SINR |
| signal to noise ratio | SNR |
| additive white Gaussian noise | AWGN |
| zero-force beamforming | ZF-BF |
| minimum mean square error beamforming | MMSE-BF |
| cumulative distribution function | CDF |
| Parameters | Value |
|---|---|
| Carrier center frequency and system bandwidth | 2.3 GHz and 200 kHz |
| Maximum estimation error | 5% |
| Path loss exponent and SI cancellation constant, ρ | 3.3 and −90 dB [19] |
| DL and UL user noise power σ2 | −113 dBm |
| Maximum tolerable data rate at RU for CU | 1 bit/s/Hz |
| Maximum tolerable data rate at RU for BS | 1 bit/s/Hz |
| Maximum tolerable data rate at RU for DT | 1 bit/s/Hz |
| Minimum required SINR for CU | 3 dB |
| Minimum required SINR for BS | 8 dB |
| Minimum required SINR for DT | 10 dB |
© 2020 by the authors. Licensee MDPI, Basel, Switzerland. This article is an open access article distributed under the terms and conditions of the Creative Commons Attribution (CC BY) license (http://creativecommons.org/licenses/by/4.0/).
Share and Cite
Wang, J.; Song, X.; Ma, Y.; Xie, Z. Power Efficient Secure Full-Duplex SWIPT Using NOMA and D2D with Imperfect CSI. Sensors 2020, 20, 5395. https://doi.org/10.3390/s20185395
Wang J, Song X, Ma Y, Xie Z. Power Efficient Secure Full-Duplex SWIPT Using NOMA and D2D with Imperfect CSI. Sensors. 2020; 20(18):5395. https://doi.org/10.3390/s20185395
Chicago/Turabian StyleWang, Jingpu, Xin Song, Yatao Ma, and Zhigang Xie. 2020. "Power Efficient Secure Full-Duplex SWIPT Using NOMA and D2D with Imperfect CSI" Sensors 20, no. 18: 5395. https://doi.org/10.3390/s20185395
APA StyleWang, J., Song, X., Ma, Y., & Xie, Z. (2020). Power Efficient Secure Full-Duplex SWIPT Using NOMA and D2D with Imperfect CSI. Sensors, 20(18), 5395. https://doi.org/10.3390/s20185395

