A Distributed Computing Solution Based on Distributed Kalman Filter for Leak Detection in WSN-Based Water Pipeline Monitoring
Abstract
1. Introduction
1.1. WSN: Shifting towards a Distributed Approach
1.2. The Stakes of Water Supply in Developing Countries
1.3. Problem Statement
1.4. Objectives of the Study
1.5. Organization of the Paper
2. Distributed Computing in Wireless Sensor Networks
2.1. The Relevance of Distributed Computing in WSN
2.2. WSN and Edge Computing
2.3. A Survey on Distributed Computing in WSN
3. State of the Art of Water Pipeline Monitoring
3.1. Classification of Leak Detection Techniques
3.1.1. Software-Based Methods
3.1.2. Hardware-Based Methods
3.2. WSN-Based Water Pipeline Monitoring
3.2.1. Introduction
3.2.2. A Review on WWPM Studies
4. Materials and Methods
4.1. Sensor Node Architecture
4.1.1. ESP32
- -
- for computation: an Xtensa Dual-Core 32-bit LX6 microprocessor operating at up to 240 MHz, a 520-kB Static Random-Access Memory (SRAM), a 4-MB flash memory.
- -
- for interfacing: a 12-bit Analog-to-Digital Converter (ADC) with up to 18 channels and 40 physical General Purpose Input Output (GPIO) pads, which can be used as general purpose I/O to connect new sensors, or can be connected to an internal peripheral signal [10].
- -
- for communication: a built-in Wi-Fi card supporting IEEE 802.11 b/g/n standards, Bluetooth version 4.2 and 486 Bluetooth Low Energy (BLE). Dedicated RF transceivers (such as nRF24L01+) can be added through GPIO to extend the RF physical layer support of ESP32 to IEEE802.15.4 protocols commonly used in the WSN community.
4.1.2. nRF24L01+
4.1.3. LSM9DS1
4.2. Configuration of the Node
4.3. Leak Detection Algorithm
4.3.1. Reasons for the Choice of Leak Detection Algorithm
4.3.2. Brief Description of the Kalman Filter Algorithm
4.3.3. Distributed Kalman Filter Algorithm Implementation
5. Experimental Setup
5.1. Simulations
5.2. Laboratory Testbed Setup
5.3. Power Consumption Measurement
6. Results and Discussion
6.1. Scenarios
6.2. Validity of Approach on a Two-Node Linear Wireless Sensor Network
6.3. Comparison of Results from the Two Simulation Scenarios
6.4. Comparison of Results from the Two Experimental Scenarios
6.5. Power Evaluation of Proposed Distributed Kalman Filter Solution
6.5.1. Simulation of Power Consumption
6.5.2. Power-Consumption Measurement on Laboratory Testbed
6.5.3. Energy Budget Analysis and Validation of Simulation Model
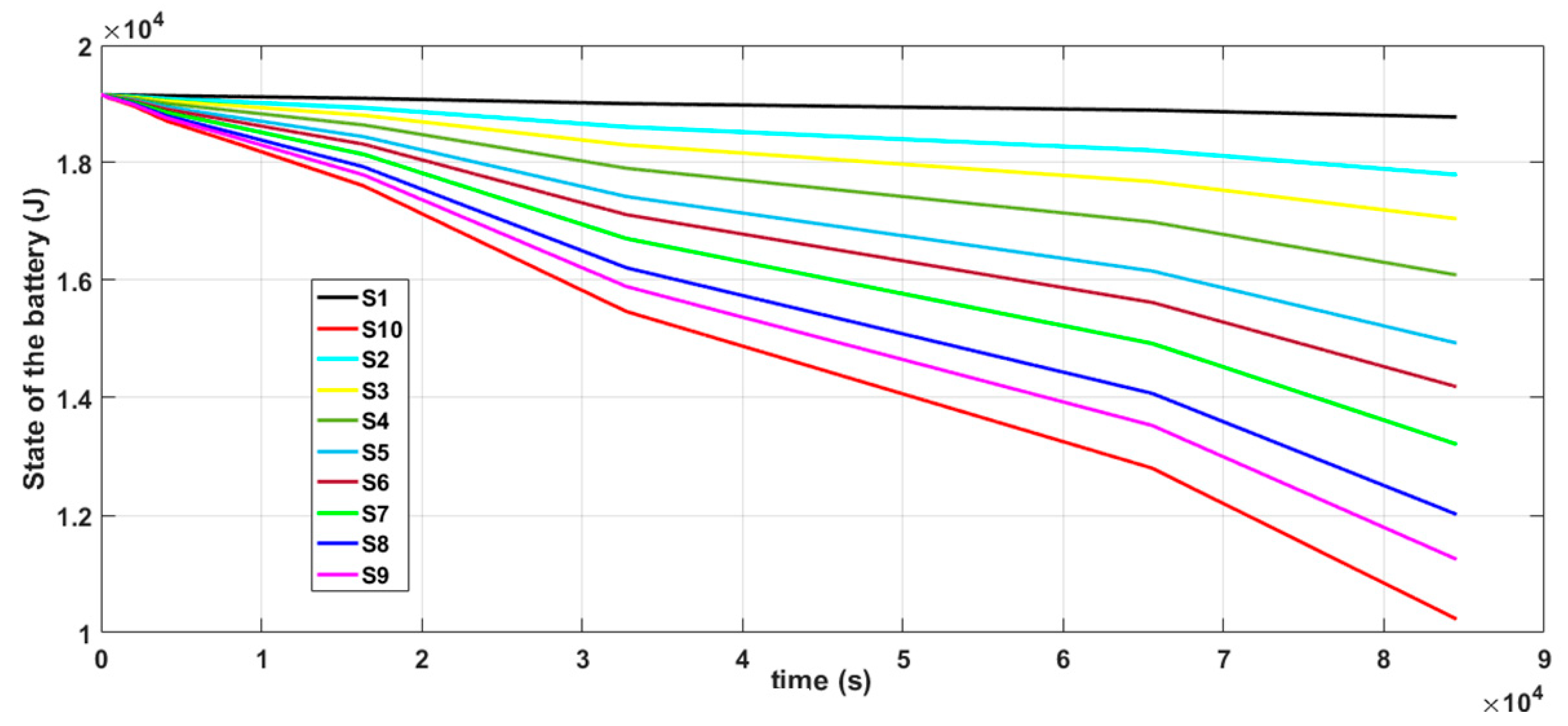
6.6. Simulation of a Global Network
6.7. Conclusion of Experimentation and Future Work
7. Conclusions and Perspectives
Author Contributions
Funding
Acknowledgments
Conflicts of Interest
References
- Nkemeni, V.; Mieyeville, F.; Tsafack, P.; Verdier, J. Distributed Kalman Filter Investigation and Application to Leak Detection in Waterpipeline Monitoring Using Wireless Sensor Networks with Non-Intrusive Sensors. In Proceedings of the 13th International Conference on Sensor Technologies and Applications, Nice, France, 27–31 October 2019; pp. 13–20. [Google Scholar]
- Jiang, J.; Claudel, C. A high performance, low power computational platform for complex sensing operations in smart cities. HardwareX 2017, 1, 22–37. [Google Scholar] [CrossRef]
- Ramson, S.R.J.; Moni, D.J. Applications of Wireless Sensor Networks—A Survey. In Proceedings of the International Conference on Innovations in Electrical, Electronics, Instrumentation and Media Technology (ICEEIMT), Coimbatore, India, 3–4 February 2017; pp. 325–329. [Google Scholar] [CrossRef]
- Devanaboyina, T.; Pillalamarri, B.; Garimella, R.M. Distributed computation in wireless sensor networks: Efficient network architectures and applications in WSNs. Int. J. Wirel. Netw. Broadband Technol. 2015, 3, 14–32. [Google Scholar] [CrossRef]
- Huang, H. Distributed computing in wireless sensor networks. In Encyclopedia of Mobile Computing and Commerce; Information Science Reference: USA, 2007; pp. 202–206. [Google Scholar] [CrossRef][Green Version]
- Mieyeville, F.; Navarro, D.; Bareille, O.; Zielinski, M. Autonomous Wireless Sensor Network for Distributed Active Control. In Proceedings of the IEEE Vehicle Power and Propulsion Conference (VPPC), Belfort, France, 11–14 December 2017; pp. 1–6. [Google Scholar] [CrossRef]
- Zhang, W.; Chen, B.; Yu, L. Distributed Fusion Estimation for Sensor Networks with Communication Constraints, 1st ed.; Springer: Singapore, 2016. [Google Scholar]
- Kartakis, S.; Yu, W.; Akhavan, R.; McCann, J.A. Adaptive Edge Analytics for Distributed Networked Control of Water Systems. In Proceedings of the First International Conference on Internet-of-Things Design and Implementation (IoTDI), Berlin, Germany, 4–8 April 2016. [Google Scholar] [CrossRef]
- Dalta, D.; Chen, X.; Tsou, T.; Raghunandan, S. Wireless distributed computing: A survey of research challenges. IEEE Commun. Mag. 2012, 50, 144–152. [Google Scholar] [CrossRef]
- Quintana-Suárez, M.A.; Sánchez-Rodríguez, D.; Alonso-Hernández, J.B. A low cost wireless acoustic sensor for ambient assisted living systems. Appl. Sci. 2017, 7, 877. [Google Scholar] [CrossRef]
- Petitti, A.; Paola, D.; Milella, A.; Spagnolo, M.P.; Cicirelli, G.; Attolico, G. A Distributed cooperative architecture for robotic networks with application to ambient intelligence. In Activity Monitoring by Multiple Distributed Sensing; Mazzeo, P., Spagnolo, P., Moeslund, T., Eds.; Springer: Berlin/Heidelberg, Germany, 2014; pp. 1–12. [Google Scholar] [CrossRef]
- Pascale, E.D.; Macaluso, I.; Nag, A.; Kelly, M.; Doyle, L. The network as a computer: A framework for distributed computing over IoT mesh networks. IEEE IoT J. 2018, 3, 2107–2119. [Google Scholar] [CrossRef]
- Serpen, G.; Liu, L. Parallel and distributed neurocomputing with wireless sensor networks. Neurocomputing 2016, 172, 1169–1182. [Google Scholar] [CrossRef]
- Kacimi, R.; Dhaou, R.; Beylot, A. load balancing techniques for lifetime maximizing in wireless sensor networks. Ad Hoc Netw. 2013, 11, 2172–2186. [Google Scholar] [CrossRef]
- Zhang, J.; Lin, Z.; Tsai, P.; Xu, L. Entropy-driven data aggregation method for energy-efficient wireless sensor networks. Inf. Fusion 2020, 56, 103–113. [Google Scholar] [CrossRef]
- Abbas, M.Z.; Baker, K.A.; Ayaz, M.; Mohamed, H. Key factors involved in pipeline monitoring techniques using robots and WSNs: Comprehensive survey. J. Pipeline Syst. Eng. Pract. 2018, 9, 1–15. [Google Scholar] [CrossRef]
- Ribeiro, L.; Sousa, J.; Marques, A.S.; Simões, N.E. Locating leaks with trustrank algorithm support. Water 2015, 7, 1378–1401. [Google Scholar] [CrossRef]
- Iyeswariya, A.R.; Shamila, R.M.; JayaLakshm, M.; Maharajan, K.; Sivakumar, V. A study on water leakage detection in buried plastic pipes using wireless sensor networks. Int. J. Sci. Eng. Res. 2012, 3, 1. [Google Scholar]
- Okeya, O.I. Detection and Localisation of Pipe Bursts in a District Metered Area Using an Online Hydraulic Model. Ph.D. Thesis, Water Engineering University of Exeter, Exeter, UK, 2018. [Google Scholar]
- Adedeji, K.B.; Haman, Y.; Abe, B.T.; Abu-Mahfouz, M. Towards achieving a reliable leakage detection and localization algorithm for application in water piping networks: An overview. IEEE Access 2017, 5, 20272–20285. [Google Scholar] [CrossRef]
- Bell, C. The World Bank and the International Water Association to Establish a Partnership to Reduce Water Losses. Available online: http://www.worldbank.org/en/news/press-release/2016/09/01/the-world-bank-and-the-international-water-association-to-establish-a-partnership-to-reduce-water-losses (accessed on 15 February 2020).
- African Development Bank Group. Africa Infrastructure Knowledge Program. Available online: http://www.afdb.org/en/ (accessed on 15 February 2020).
- Blaise, Y.H. Suffering for water, suffering from water: Access to drinking-water and associated health risks in Cameroon. J. Health Popul. Nutr. 2010, 28, 424–435. [Google Scholar] [CrossRef]
- Islam, M.K.; Karim, Z. World’s demand for food and water: The consequences of climate change. In Desalination–Challenges and Opportunities; IntechOpen: London, UK, 2019. [Google Scholar]
- Ismail, M.I.; Dziyauddin, R.A.; Salleh, N.A.; Muhammad-Sukki, F.; Bani, N.A.; Latiff, L.A. A review of vibration detection methods using accelerometer sensors for water pipeline leakage. IEEE Access 2019, 7, 51965–51981. [Google Scholar] [CrossRef]
- Karray, F.; Garcia-Ortiz, A.; Jamal, M.W.; Obeid, A.M.; Abid, M. EARNPIPE: A testbed for smart water pipeline monitoring using wireless sensor network. Procedia Comput. Sci. 2016, 96, 285–294. [Google Scholar] [CrossRef]
- Stoianov, I.; Nachman, L.; Tokmouline, T.; Csai, M. PIPENET: A Wireless Sensor Network for Pipeline Monitoring. In Proceedings of the 6th International Symposium on Information Processing in Sensor Networks, Cambridge, MA, USA, 25–27 April 2007. [Google Scholar] [CrossRef]
- Sadeghioon, A.M.; Metje, N.; Chapman, D.; Anthony, C. SmartPipes: Smart wireless sensor networks for leak detection in water pipelines. J. Sens. Actuator Netw. 2014, 3, 64–78. [Google Scholar] [CrossRef]
- Torres, L.; Jiménez-Cabas, J.; González, O.; Molina, L.; López-Estrada, F. Kalman filters for leak diagnosis in pipelines: Brief history and future research. J. Mar. Sci. Eng. 2019, 8, 173. [Google Scholar] [CrossRef]
- El-Zahab, S.; Zayed, T. leak detection in water distribution networks: An introductory overview. Smart Water 2019, 4, 1–23. [Google Scholar] [CrossRef]
- Ayadi, A.; Ghorbel, O.; BenSalah, M.S.; Abid, M. A framework of monitoring water pipeline techniques based on sensors technologies. J. King Saud Univ. Comput. Inf. Sci. 2020. [Google Scholar] [CrossRef]
- Rashid, S.; Qaisar, H.; Saeed, H.; Felemban, E. A method for distributed pipeline burst and leakage detection in wireless sensor networks using transform analysis. Int. J. Distr. Sens. Netw. 2014, 10, 1–14. [Google Scholar] [CrossRef]
- Yazdekhasti, S.; Piratla, K.R.; Sorber, J.; Atamturktur, S.; Khan, A.; Shukla, H. Sustainability analysis of a leakage-monitoring technique for water pipeline networks. J. Pipeline Syst. Eng. Pract. 2020, 11, 04019052. [Google Scholar] [CrossRef]
- Nwalozie, G.; Azubogu, A. Design and implementation of pipeline monitoring system using acceleration-based wireless sensor network. Int. J. Eng. Sci. 2014, 3, 49–58. [Google Scholar]
- Ismail, M.I.; Dziyauddin, R.A.; Salleh, N.A.; Ahmad, R.; Azmi, M.H.; Kaidi, H.M. Analysis and procedures for water pipeline leakage using three-axis accelerometer sensors: ADXL335 and MMA7361. IEEE Access 2018, 6, 71249–71261. [Google Scholar] [CrossRef]
- Baroudi, U.; Al-Roubaiey, A.; Devendiran, A. pipeline leak detection systems and data fusion: A survey. IEEE Access 2019, 7, 97426–97439. [Google Scholar] [CrossRef]
- He, S.; Shin, H.; Xu, S.; Tsourdos, A. Distributed estimation over a low-cost sensor network: A review of state-of-the-art. Inf. Fusion 2020, 54, 21–43. [Google Scholar] [CrossRef]
- Mahmoud, M.S.; Xia, Y. Networked Filtering and Fusion in Wireless Sensor Networks; CRC Press: Boca Raton, FL, USA, 2015. [Google Scholar]
- Elleuchi, M.; Boujeleben, M.; Abid, M. Energy-efficient routing model for water pipeline monitoring based on wireless sensor networks. Int. J. Comput. Appl. 2019. [Google Scholar] [CrossRef]
- Liu, Y.; Ma, X.; Li, Y.; Tie, Y.; Zhang, Y.; Gao, J. Water pipeline leakage detection based on machine learning and wireless sensor networks. Sensors 2019, 19, 5086. [Google Scholar] [CrossRef] [PubMed]
- Taj, M.; Cavallaro, A. Distributed and decentralized multicamera tracking. IEEE Signal Process. Mag. 2011, 28, 44–58. [Google Scholar] [CrossRef]
- Kamal, A.T.; Farrell, J.A.; Roy-Chowdhury, A.K. Information weighted consensus filters and their application in distributed camera networks. IEEE Trans. Autom. Control 2013, 58, 3112–3125. [Google Scholar] [CrossRef]
- Costa, P.; Mottola, L.; Murphy, A.L.; Picco, G.P. TeenyLIME: Transiently Shared Tuple Space Middleware for Wireless Sensor Networks. In Proceedings of the International Workshop on Middleware for Sensor Networks, Melbourne, Australia, 28 November 2006; ACM: New York, NY, USA, 2006; pp. 43–48. [Google Scholar] [CrossRef]
- Karray, F.; Jamal, M.W.; Garcia-Ortiz, A.; Obeid, A.M. A comprehensive survey on wireless sensor node hardware platforms. Comput. Netw. 2018, 144, 89–110. [Google Scholar] [CrossRef]
- Feng, G. Optimisation of Vibration Monitoring Nodes in Wireless Sensor Networks. Ph.D. Thesis, University of Huddersfield, Huddersfield, UK, 2016. [Google Scholar]
- Ivković, J.; Ivković, J.L. Analysis of the Performance of the New Generation of 32-Bit Microcontrollers for Iot and Big Data Application. In Proceedings of the 7th International Conference on Information Society and Technology ICIST, Kopaonik, Serbia, 12–15 March 2017. [Google Scholar]
- Elazhary, H. Internet of Things (IoT), mobile cloud, cloudlet, mobile IoT, IoT cloud, fog, mobile edge, and edge emerging computing paradigms: Disambiguation and research directions. J. Netw. Comp. Appl. 2019, 128, 105–140. [Google Scholar] [CrossRef]
- Khan, W.Z.; Ahmed, E.; Hakak, S.; Yaqoob, I.; Ahmed, A. Edge computing: A survey. Fut. Gen. Comp. Sys. 2019, 97, 219–235. [Google Scholar] [CrossRef]
- Bormann, C.; Ersue, M.; Keranen, A. Terminology for Constrained Node Networks. Available online: https://tools.ietf.org/html/rfc7228 (accessed on 29 July 2020).
- Hahm, O.; Baccelli, E.; Petersen, H.; Tsiftes, N. Operating systems for low-end devices in the Internet of Things: A survey. IEEE Internet Things J. 2016, 3, 720–734. [Google Scholar] [CrossRef]
- Capra, M.; Peloso, R.; Masera, G.; Roch, M.R.; Martina, M. Edge computing: A survey on the hardware requirements in the Internet of Things world. Future Internet 2019, 11, 100. [Google Scholar] [CrossRef]
- Jiang, C.; Fan, T.; Gao, H.; Shi, W.; Liu, L. Energy aware edge computing: A survey. Comput. Commun. 2020, 151. [Google Scholar] [CrossRef]
- Štula, M.; Stipaničev, D.; Šerić, L. Multi-Agent Systems in Distributed Computation. In Proceedings of the 6th KES International Conference, Dubrovnik, Croatia, 25–27 June 2012; pp. 629–636. [Google Scholar] [CrossRef]
- Ramji, T.; Ramkumar, B.; Manikandan, M.S. Resource and Subcarriers Allocation for OFDMA based Wireless Distributed Computing System. In Proceedings of the IEEE International Advance Computing Conference (IACC), Gurgaon, India, 21–22 February 2014; IEEE: Gurgaon, India, 2014; pp. 338–342. [Google Scholar] [CrossRef]
- Chiasserini, C.F. On the Concept of Distributed Digital Signal Processing in Wireless Sensor Networks. In Proceedings of the IEEE Military Communication Conference (MILCOM), Anaheim, CA, USA, 7–10 October 2002; IEEE: Anaheim, CA, USA, 2002; Volume 1, pp. 260–264. [Google Scholar] [CrossRef]
- Feng, G.; Gu, J.; Zhen, D.; Aliwan, M.; Gu, F.; Ball, A.D. Implementation of envelope analysis on a wireless condition monitoring system for bearing fault diagnosis. Int. J. Auto. Comp. 2015, 12, 14–24. [Google Scholar] [CrossRef]
- Alriksson, P.; Rantzer, A. Experimental Evaluation of a Distributed Kalman Filter Algorithm. In Proceedings of the 46th IEEE Conference on Decision and Control, New Orleans, LA, USA, 12–14 December 2007. [Google Scholar] [CrossRef]
- Battistelli, G.; Chisci, L.; Selvi, D. A Distributed kalman filter with event-triggered communication and guaranteed stability. Automatica 2018, 93, 75–82. [Google Scholar] [CrossRef]
- Adegboye, M.A.; Fung, W.; Karnik, A. Recent advances in pipeline monitoring and oil leakage detection technologies: Principles and approaches. Sensors 2019, 19, 2548. [Google Scholar] [CrossRef]
- Chan, T.K.; Chin, C.S.; Zhong, X. Review of current technologies and proposed intelligent methodologies for water distributed network leakage detection. IEEE Access 2018, 6, 78846–78867. [Google Scholar] [CrossRef]
- He, Y.; Li, S.; Zheng, Y. Distributed state estimation for leak detection in water supply networks. IEEE CAA J. Autom. Sin. 2017, 1–9. [Google Scholar] [CrossRef]
- Navarro, A.; Begovich, O.; Torres, J.D.S.; Besancon, G. Leak Detection and Isolation Using an Observer Based on Robust Sliding Mode Differentiators. In Proceedings of the World Automation Congress (WAC), Puerto Vallarta, Mexico, 24–28 June 2012; IEEE: Piscataway, NJ, USA, 2012; pp. 1–6. [Google Scholar]
- Torres, L.; Besançon, G.; Verde, C. Leak Detection Using Parameter Identification. In Proceedings of the 8th IFAC Symposium on Fault Detection, Supervision and Safety of Technical Processes, Mexico City, Mexico, 29–31 August 2012; Volume 45, pp. 910–915. [Google Scholar] [CrossRef]
- Lay-Ekuakille, A.; Vergallo, P.; Trotta, A. Impedance method for leak detection in zigzag pipelines. Meas. Sci. Rev. 2010, 10, 208–212. [Google Scholar] [CrossRef]
- Martins, J.C.; Seleghim, P. Assessment of the performance of acoustic and mass balance methods for leak detection in pipelines for transporting liquids. J. Fluids Eng. 2010, 32. [Google Scholar] [CrossRef]
- Mysorewala, M.; Sabih, M.; Cheded, L.; Nasir, M.T. A novel energy-aware approach for locating leaks in water pipeline using a wireless sensor network and noisy pressure sensor data. Int. J. Distrib. Sensor Netw. 2015, 1–10. [Google Scholar] [CrossRef]
- Nicola, M.; Nicola, C.; Vintilă, A.; Hurezeanu, I.; Duță, M. Pipeline leakage detection by means of acoustic emission technique using cross-correlation function. J. Mech. Eng. Auto. 2018, 8, 59–67. [Google Scholar] [CrossRef]
- Marmarokopos, K.; Doukakis, D.; Frantziskonis, G.; Avloniti, M. Leak detection in plastic water supply pipes with a high signal-to-noise ratio accelerometer. Meas. Control 2018, 51, 27–37. [Google Scholar] [CrossRef]
- Rashid, S.; Akram, U.; Khan, S.A. WML: Wireless Sensor Network Based Machine Learning for Leakage Detection and Size Estimation. In Proceedings of the 6th International Conference on Emerging Ubiquitous Systems and Pervasive Networks (EUSPN 2015), Berlin, Germany, 27–30 September 2015; Volume 63, pp. 171–176. [Google Scholar]
- Quy, T.B.; Muhammad, S.; Kim, J. A reliable acoustic EMISSION based technique for the detection of a small leak in a pipeline system. Energies 2019, 12, 1472. [Google Scholar] [CrossRef]
- Murad, M.; Sheikh, A.A.; Manzoor, M.A.; Felemban, E.; Qaisar, S. A survey on current underwater acoustic sensor network applications. Int. J. Comput. Theory Eng. 2015, 7, 51–55. [Google Scholar] [CrossRef]
- Wong, L.; Deo, R.; Rathnayaka, S.; Shannon, B.; Zhang, C.; Kodikara, J.; Chiu, W.; Widyastuti, H. Leak detection and quantification of leak size along water pipe using optical fibre sensors package. Electron. J. Struct. Eng. 2018, 18, 47–53. [Google Scholar]
- Cataldo, A.; de Benedetto, E.; Cannazza, G.; Leucci, G.; De Giorgi, L.; Demitri, C. Enhancement of leak detection in pipelines through time-domain reflectometry/ground penetrating radar measurements. IET Sci. Meas. Technol. 2017, 1, 696–702. [Google Scholar] [CrossRef]
- Shi, Y.; Zhang, C.; Li, R.; Cai, M.; Jia, G. Theory and application of magnetic flux leakage pipeline detection. Sensors 2015, 15, 31036–31055. [Google Scholar] [CrossRef]
- Viswasa Rani, A.A.; Baburaj, E. An analysis of distributed estimation algorithms for wireless sensor networks. IJSER 2014, 5, 906–913. [Google Scholar]
- Henri, M.; Carpenter, P.; Nicholas, R.E. Pipeline Leak Detection Handbook; Elsevier: New York, NY, USA, 2016. [Google Scholar]
- Ismail, M.I.; Dziyauddin, R.A.; Ahmad, N.A. Water Pipeline Monitoring System Using Vibration Sensor. In Proceedings of the IEEE Conference on Wireless Sensors (ICWiSE), Subang Jaya, Malaysia, 26–28 October 2014. [Google Scholar] [CrossRef]
- Okosun, F.; Cahill, P.; Hazra, B.; Pakrashi, V. Vibration-based leak detection and monitoring of water pipes using output-only piezoelectric sensors. Eur. Phys. J. Spec. Top. 2019, 228, 1659–1675. [Google Scholar] [CrossRef]
- Martini, A.; Troncossi, M.; Rivola, A. Automatic leak detection in buried plastic pipes of water supply networks by means of vibration measurements. Shock Vib. 2015, 2015. [Google Scholar] [CrossRef]
- Choi, J.; Shin, J.; Song, C.; Han, S.; Park, D.I. Leak detection and location of water pipes using vibration sensors and modified ML prefilter. Sensors 2017, 17, 2104. [Google Scholar] [CrossRef] [PubMed]
- Kim, H.; Andersen, M.P.; Chen, K.; Kumar, S.; Zhao, W.J.; Ma, K.; Culler, D.E. System Architecture Directions for Post-SoC/32-Bit Networked Sensors. In Proceedings of the 16th ACM Conference on Embedded Networked Sensor Systems (SenSys ’18), Shenzhen, China, 4–7 November 2018. [Google Scholar] [CrossRef]
- Pycom. Pycom Go Invent. Available online: https://pycom.io/ (accessed on 29 July 2020).
- CircuitPython. The Easiest Way to Program Microcontrollers. Available online: https://circuitpython.org/ (accessed on 29 July 2020).
- Baccelli, E.; Hahm, O.; Günes, M.; Wählisch, M.; Schmidt, T.C. RIOT OS: Towards an OS for the Internet of Things. In Proceedings of the IEEE Conference on Computer Communications Workshops (INFOCOM WKSHPS), Turin, Italy, 14–19 April 2013; pp. 79–80. [Google Scholar] [CrossRef]
- Zikria, Y.B.; Kim, S.W.; Hahm, O.; Afzal, M.K.; Aalsalem, M.Y. Internet of Things (IoT) operating systems management: Opportunities, challenges, and solution. Sensors 2019, 19, 1793. [Google Scholar] [CrossRef]
- Maier, A.; Sharp, A.; Vagapov, Y. Comparative Analysis and Practical Implementation of the Esp32 Microcontroller Module for The Internet of Things. In Proceedings of the 2017 Internet Technologies and Applications (ITA), Wrexham, UK, 12–15 September 2017; pp. 143–148. [Google Scholar] [CrossRef]
- Nordic Semiconductor. nRF24L01+ Single Chip 2.4GHz Transceiver Product Specification v1.0. Available online: https://www.sparkfun.com/datasheets/Wireless/Nordic/nRF24L01P_Product_Specification_1.0 (accessed on 15 February 2020).
- Saha, H.; Mandal, S.; Mintra, S.; Banerjee, S.; Saha, U. Comparative performance analysis between NRF24L01+ and XBEE ZB module based wireless ad-hoc networks. Int. J. Comput. Netw. Inf. Secur. 2017, 7, 36–44. [Google Scholar] [CrossRef]
- STMicroelectronics. LSM9DS1 Datasheet, DocID025715 Rev 2. Available online: https://www.st.com/resource/en/datasheet/DM00103319, (accessed on 15 February 2020).
- Karl, H.; Willig, A. Protocols and Architectures Wireless Sensor Networks; John Wiley & Sons: Hoboken, NJ, USA, 2005. [Google Scholar]
- Xu, X.; Karney, B. An overview of transient fault detection techniques. In Modeling and Monitoring of Pipelines and Networks; Springer: Berlin/Heidelberg, Germany, 2017. [Google Scholar]
- Rhudy, M.B.; Salguero, R.A.; Holappa, K. A Kalman filtering tutorial for undergraduate students. IJCSES 2017, 8. [Google Scholar] [CrossRef]
- Karray, F.; Jamal, M.W.; Abid, M. High-Performance Wireless Sensor Node Design for Water Pipeline Monitoring. In Proceedings of the 11th International Conference on Mobile Ubiquitous Computing, Systems, Services and Technologies, Barcelona, Spain, 12–16 November 2017. [Google Scholar]
- Marelli, D.; Zamani, M.; Fu, M.; Ninness, B. Distributed Kalman filter in a network of linear systems. Syst. Control Lett. 2018, 116, 71–77. [Google Scholar] [CrossRef]
- Wu, Z.; Fu, M.; Lu, R. A Distributed Kalman filtering algorithm with fast finite-time convergence for sensor networks. Automatica 2018, 95, 63–72. [Google Scholar] [CrossRef]
- TMRH20. Optimized High Speed Driver for nRF24L01(+) 2.4GHz Wireless Transceiver. Available online: http://tmrh20.github.io/RF24/ (accessed on 18 February 2020).
- TMRH20. Network Layer for RF24 Radios. Available online: https://tmrh20.github.io/RF24Network/ (accessed on 18 February 2020).
- Bounceur, A. CupCarbon: A New Platform for Designing and Simulating Smart-City and Iot Wireless Sensor Networks (SCI-WSN). In Proceedings of the International Conference on Internet of Things and Cloud Computing, Cambridge, UK, 23 February–22 March 2016. [Google Scholar]
- CupCarbon User Guide Version U-One 4.1. Available online: www.cupcarbon.com (accessed on 29 March 2020).
- Ge, R.; Cameron, K.W. Power-aware high-performance computing. In Energy-Efficient Distributed Computing Systems; John Wiley & Sons: Hoboken, NJ, USA, 2012; p. 830. [Google Scholar]
- Giovino, B. Making Sense of Current Sensing: White Paper; Mouser Electronics: Mansfield, TX, USA, 2015; pp. 1–6. [Google Scholar]




















| Criterion | Description |
|---|---|
| Parameter monitored | This is a feature of the pipeline system that is detected by the sensor and used for leak detection after processing. |
| Sensor | Nature of the sensor used in the study to detect leak signals |
| Pipe material | Type of pipe that was used in the study. It can be metallic (e.g., steel) or plastic (e.g., Polyvinyl Chloride (PVC)) |
| Pre-processing (PP) | Technique used for pre-processing (e.g., filtering) the leak signal |
| Leak Detection (LD) | Technique used for processing the leak signal to detect the presence or absence of a leak. |
| Leak Localization (LL) | Technique used for identifying the location of the leak. |
| Location of Processing | Processing can be done at the Base Station (BS), Fusion Center (FC) or at the Sensor Node (SN). |
| Monitoring type | Classifies pipeline monitoring into Centralized, Decentralized, or Distributed based on the location where processing takes place. Centralized: all processing takes place at the BS. Decentralized: part of the processing (PP and/or LD) take place at the SN and/or FC. Distributed: all processing takes place at the SN. |
| Ref | Monitored Parameter | Sensor | Pipe Material | Pre-Processing Technique | Leak Detection Algorithm | Leak Localization Algorithm | Location of Processing | Monitoring Type |
|---|---|---|---|---|---|---|---|---|
| [8] | Pipe’s surface vibration | Vibration Sensor (NEC Tokin) | N.A | Kalman filtering | Compression rates analysis | Graph-based technique | PP: SN LD: SN LL: BS | Decentralized |
| [25] | Pipe’s surface vibration | Accelerometer (MPU6050, ADXL335 and MMA7361) | Plastic (polyethylene) | N.A | Offline analysis | N.A | PP: N.A LD: BS LL: N.A | Centralized |
| [26] | Pressure | Force sensitive resistor | Plastic (polyethylene) | Kalman filtering and compression | Predictive Kalman Filter | Time of arrival difference | PP: SN LD: SN & FC LL: FC | Decentralized |
| [27] | Acoustic signals and pipe’s surface vibration | Hydrophones and accelerometers | Plastic (Polyvinyl Chloride) | Fast Fourier Transform (FFT) and compression | Acoustic leak detection technique | Cross-correlation | PP: SN LD: BS LL: BS | Decentralized |
| [28] | Pressure (Force sensitive resistor) | Temperature and pressure sensors | Plastic (Polyvinyl Chloride) | N.A | Relative pressure change | N.A | PP: N.A LD: BS LL: N.A | Centralized |
| [67] | Acoustic signals | Acoustic sensors | Metallic | N.A | Acoustic emission technique | Cross-correlation method | PP: N.A LD: BS LL: BS | Centralized |
| [68] | Pipe’s surface vibration | Accelerometer (KB12(VD)) | Plastic (polyethylene) | Moving average | Fast Fourier Transform, Wavelet Transform, Power Spectral Density and Cross Spectral Density | N.A | PP: BS LD: BS LL: N.A | Centralized |
| [78] | Pipe’s surface vibration | Piezoelectric transducer | Plastic (Polyvinyl Chloride) | Amplification | Amplitude thresholding and FFT | Localization based on leak index | PP: BS LD: BS LL: BS | Centralized |
| [79] | Pipe’s surface vibration | IEPE accelerometer | Plastic (polyethylene) | Signal filtering and amplification | Standard deviation computation | N.A | PP: SN LD: BS LL: N.A | Centralized |
| [80] | Pipe’s surface vibration | vibration sensor | N.A | N.A | Power Spectral Density and Cross Spectral Density | Modified Maximum Likelihood prefilter | PP: N.A LD: BS LL: BS | Centralized |
| ESP32 Speed (MHz) | State | Current Consumption (mA) | Duration When Node Is at This State (msec) | Energy Consumption (mJ) |
|---|---|---|---|---|
| 80 | CPU idle + radio down | 20 | 50 | 3.3 |
| CPU idle + radio listening | 31.8 | 1000 | 105 | |
| CPU active + radio listening | 36.8 | 900 | 109 | |
| CPU active + radio transmitting | 48.1 | 50 | 7.9 | |
| 240 | CPU idle + radio down | 40 | 50 | 6.6 |
| CPU idle + radio listening | 51.8 | 1000 | 171 | |
| CPU active + radio listening | 79.8 | 900 | 237 | |
| CPU active + radio transmitting | 91.1 | 50 | 15 |
| ESP32 Speed (MHz) | State | Current Consumption (mA) | Duration When Node Is at This State (msec) | Energy Consumption (mJ) |
|---|---|---|---|---|
| 80 | CPU idle + radio down | 23.7 | N.A | N.A |
| CPU idle + radio listening | 31.8 | 1000 | 105 | |
| CPU active + radio listening | 35 | 900 | 104 | |
| CPU active + radio transmitting | 51 | 50 | 8.4 | |
| 240 | CPU idle + radio down | 39 | N.A | N.A |
| CPU idle + radio listening | 50 | 1000 | 165 | |
| CPU active + radio listening | 69.3 | 900 | 206 | |
| CPU active + radio transmitting | 102 | 50 | 16.8 |
© 2020 by the authors. Licensee MDPI, Basel, Switzerland. This article is an open access article distributed under the terms and conditions of the Creative Commons Attribution (CC BY) license (http://creativecommons.org/licenses/by/4.0/).
Share and Cite
Nkemeni, V.; Mieyeville, F.; Tsafack, P. A Distributed Computing Solution Based on Distributed Kalman Filter for Leak Detection in WSN-Based Water Pipeline Monitoring. Sensors 2020, 20, 5204. https://doi.org/10.3390/s20185204
Nkemeni V, Mieyeville F, Tsafack P. A Distributed Computing Solution Based on Distributed Kalman Filter for Leak Detection in WSN-Based Water Pipeline Monitoring. Sensors. 2020; 20(18):5204. https://doi.org/10.3390/s20185204
Chicago/Turabian StyleNkemeni, Valery, Fabien Mieyeville, and Pierre Tsafack. 2020. "A Distributed Computing Solution Based on Distributed Kalman Filter for Leak Detection in WSN-Based Water Pipeline Monitoring" Sensors 20, no. 18: 5204. https://doi.org/10.3390/s20185204
APA StyleNkemeni, V., Mieyeville, F., & Tsafack, P. (2020). A Distributed Computing Solution Based on Distributed Kalman Filter for Leak Detection in WSN-Based Water Pipeline Monitoring. Sensors, 20(18), 5204. https://doi.org/10.3390/s20185204

